SL Paper 2
A student determined the percentage of the active ingredient magnesium hydroxide, Mg(OH)2, in a 1.24 g antacid tablet.
The antacid tablet was added to 50.00 cm3 of 0.100 mol dm−3 sulfuric acid, which was in excess.
Calculate the amount, in mol, of H2SO4.
Formulate the equation for the reaction of H2SO4 with Mg(OH)2.
The excess sulfuric acid required 20.80 cm3 of 0.1133 mol dm−3 NaOH for neutralization.
Calculate the amount of excess acid present.
Calculate the amount of H2SO4 that reacted with Mg(OH)2.
Determine the mass of Mg(OH)2 in the antacid tablet.
Calculate the percentage by mass of magnesium hydroxide in the 1.24 g antacid tablet to three significant figures.
Markscheme
n(H2SO4) «= 0.0500 dm3 × 0.100 mol dm–3» = 0.00500/5.00 × 10–3«mol»
[1 mark]
H2SO4(aq) + Mg(OH)2(s) → MgSO4(aq) + 2H2O(l)
Accept an ionic equation.
[1 mark]
«n(H2SO4) =\(\frac{1}{2}\) × n(NaOH) = \(\frac{1}{2}\) (0.02080 dm3 × 0.1133 mol dm–3)»
0.001178/1.178 × 10–3 «mol»
[1 mark]
n(H2SO4) reacted «= 0.00500 – 0.001178» = 0.00382/3.82 × 10–3 «mol»
[1 mark]
n(Mg(OH)2) «= n(H2SO4) =» = 0.00382/3.82 × 10–3 «mol»
m(Mg(OH)2) «= 0.00382 mol × 58.33 g mol–1» = 0.223 «g»
Award [2] for correct final answer.
[2 marks]
% Mg(OH)2 «= \(\frac{{0.223{\text{ g}}}}{{1.24{\text{ g}}}}\) × 100» = 18.0 «%»
Answer must show three significant figures.
[1 mark]
Examiners report
Consider the following sequence of reactions.
\[{\text{RC}}{{\text{H}}_3}\xrightarrow{{reaction 1}}{\text{RC}}{{\text{H}}_2}{\text{Br}}\xrightarrow{{reaction 2}}{\text{RC}}{{\text{H}}_2}{\text{OH}}\xrightarrow{{reaction 3}}{\text{RCOOH}}\]
\({\text{RC}}{{\text{H}}_{\text{3}}}\) is an unknown alkane in which R represents an alkyl group.
The mechanism in reaction 2 is described as SN2.
Propan-1-ol has two structural isomers.
The alkane contains 81.7% by mass of carbon. Determine its empirical formula, showing your working.
Equal volumes of carbon dioxide and the unknown alkane are found to have the same mass, measured to an accuracy of two significant figures, at the same temperature and pressure. Deduce the molecular formula of the alkane.
(i) State the reagent and conditions needed for reaction 1.
(ii) State the reagent(s) and conditions needed for reaction 3.
Reaction 1 involves a free-radical mechanism. Describe the stepwise mechanism, by giving equations to represent the initiation, propagation and termination steps.
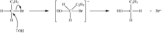
(i) State the meaning of each of the symbols in SN2.
(ii) Explain the mechanism of this reaction using curly arrows to show the movement of electron pairs, and draw the structure of the transition state.
(i) Deduce the structural formula of each isomer.
(ii) Identify the isomer from part (f) (i) which has the higher boiling point and explain your choice. Refer to both isomers in your explanation.
Markscheme
\({{\text{n}}_{\text{C}}} = \frac{{81.7}}{{12.01}} = 6.80\) and \({{\text{n}}_{\text{H}}} = \frac{{18.3}}{{1.01}} = 18.1\);
ratio of 1: 2.67 /1: 2.7;
\({{\text{C}}_3}{{\text{H}}_8}\);
No penalty for using 12 and 1.
\({{\text{C}}_{\text{3}}}{{\text{H}}_{\text{8}}}\);
(i) \({\text{B}}{{\text{r}}_2}\) /bromine;
UV/ultraviolet light;
Accept hf/hv/sunlight.
(ii) \({\text{C}}{{\text{r}}_2}{\text{O}}_7^{2 - }\) / \({\text{MnO}}_4^ - \) and acidified/\({{\text{H}}^ + }\) /\({{\text{H}}_3}{{\text{O}}^ + }\);
Accept names.
heat / reflux;
initiation:
\({\text{B}}{{\text{r}}_2} \to 2{\text{Br}} \bullet \);
propagation:
\({\text{Br}} \bullet + {\text{RC}}{{\text{H}}_3} \to {\text{HBr}} + {\text{RC}}{{\text{H}}_2} \bullet \);
\({\text{RC}}{{\text{H}}_2} \bullet + {\text{B}}{{\text{r}}_2} \to {\text{RC}}{{\text{H}}_2}{\text{Br}} + {\text{Br}} \bullet \);
termination:
\({\text{Br}} \bullet + {\text{Br}} \bullet \to {\text{B}}{{\text{r}}_2}\);
\({\text{RC}}{{\text{H}}_2} \bullet + {\text{Br}} \bullet \to {\text{RC}}{{\text{H}}_2}{\text{Br}}\);
\({\text{RC}}{{\text{H}}_2} \bullet + {\text{RC}}{{\text{H}}_2} \bullet \to {\text{RC}}{{\text{H}}_2}{\text{C}}{{\text{H}}_2}{\text{R}}\);
Award [1] for any termination step.
Accept radical with or without \( \bullet \) throughout.
Do not penalise the use of an incorrect alkane in the mechanism.
(i) substitution and nucleophilic and bimolecular/two species in rate-determining step;
Allow second order in place of bimolecular.
(ii) 
curly arrow going from lone pair/negative charge on O in OH– to C;
Do not allow curly arrow originating on H in OH–.
curly arrow showing Br leaving;
Accept curly arrow either going from bond between C and Br to Br in bromoethane or in the transition state.
representation of transition state showing negative charge, square brackets and partial bonds;
Do not penalize if HO and Br are not at 180o to each other.
Do not award M3 if OH----C bond is represented unless already penalised in M1.
Do not penalise the use of an incorrect alkyl chain in the mechanism.
(i) \({\text{C}}{{\text{H}}_3}{\text{OC}}{{\text{H}}_2}{\text{C}}{{\text{H}}_3}\);
\({\text{C}}{{\text{H}}_3}{\text{CHOHC}}{{\text{H}}_3}\);
Allow more detailed structural formulas.
(ii) \({\text{C}}{{\text{H}}_3}{\text{CHOHC}}{{\text{H}}_3}\) has higher boiling point due to hydrogen bonding;
\({\text{C}}{{\text{H}}_3}{\text{OC}}{{\text{H}}_2}{\text{C}}{{\text{H}}_3}\) has lower boiling point due to Van der Waals’/London/dispersion/dipole-dipole forces;
Hydrogen bonds in \({\text{C}}{{\text{H}}_3}{\text{CHOHC}}{{\text{H}}_3}\) are stronger;
Allow ecf if wrong structures suggested.
Examiners report
This was the least popular question in Section B but there was a generally pleasing level of performance. Most candidates scored at least 2 out of 3 marks for calculating the empirical formula. Several candidates correctly worked out the ratio but then rounded 2.7 to 3 to give an incorrect empirical formula of \({\text{C}}{{\text{H}}_{\text{3}}}\) instead of \({{\text{C}}_{\text{3}}}{{\text{H}}_{\text{8}}}\).
Many did manage to calculate a correct molecular formula even though their empirical formula was incorrect.
Free radical substitution was well known, however, there was some confusion about whether the reagent was supposed to be Br2(g), Br2(aq) or Br2 in CCl4. Most stated that UV was required.
In 5(d) most candidates scored at least 3 marks out of 4. A few used Cl2 instead of Br2.
Most knew the meaning of the symbols SN2, however, a few did not correctly state the meaning of the 2. The mechanism caused some problems and some of the common errors here were drawing the curly arrow from the H; forgetting to include any curly arrow to show Br leaving; writing the partial bond from the nucleophile as OH---C; or missing the negative charge from the transition state. Unfortunately, most candidates had a combination of these errors. Also, in most cases the partial bonds were drawn at angles less than 180 degrees which, although not penalised, is totally incorrect as attack by the nucleophile must be on the opposite side to the halogen leaving.
Part (f) proved to be very confusing for many candidates. The structural isomers of propan-1-ol were commonly drawn as propan-1-ol and propan-2-ol, which then caused enormous difficulties in 5(f)(ii) when they had to identify the isomer with the higher boiling point.
Those who were relying on ECF marks here often predicted the wrong isomer or found it very difficult to explain their prediction. The few candidates who drew the isomers correctly as an ether and an alcohol were generally able to score full marks by predicting and explaining the different boiling points.
Consider the following reactions.

An important environmental consideration is the appropriate disposal of cleaning solvents. An environmental waste treatment company analysed a cleaning solvent, J, and found it to contain the elements carbon, hydrogen and chlorine only. The chemical composition of J was determined using different analytical chemistry techniques.
Combustion Reaction:
Combustion of 1.30 g of J gave 0.872 g \({\text{C}}{{\text{O}}_{\text{2}}}\) and 0.089 g \({{\text{H}}_{\text{2}}}{\text{O}}\).
Precipitation Reaction with AgNO3(aq):
0.535 g of J gave 1.75 g AgCl precipitate.
One example of a homologous series is the alcohols. Describe two features of a homologous series.
The IUPAC name of X is 4-methylpentan-1-ol. State the IUPAC names of Y and Z.
Y:
Z:
State the reagents and reaction conditions used to convert X to Y and X to Z.
X to Y:
X to Z:
Z is an example of a weak acid. State what is meant by the term weak acid.
Discuss the volatility of Y compared to Z.
Determine the percentage by mass of carbon and hydrogen in J, using the combustion data.
Determine the percentage by mass of chlorine in J, using the precipitation data.
The molar mass was determined to be \({\text{131.38 g}}\,{\text{mo}}{{\text{l}}^{ - 1}}\). Deduce the molecular formula of J.
Markscheme
same functional group;
successive/neighbouring members differ by \({\text{C}}{{\text{H}}_{\text{2}}}\);
same general formula;
similar chemical properties;
gradation in physical properties;
Y: 4-methylpentanal;
Z: 4-methylpentanoic acid;
Award [1] if student has correct endings for both molecules but has used incorrect stem.
For both reactions reagents:
named suitable acidified oxidizing agent;
Suitable oxidizing agents are potassium dichromate(VI)/K2Cr2O7 / sodium dichromate(VI)/Na2Cr2O7 / dichromate/Cr2O72– / potassium manganate(VII)/potassium permanganate/KMnO4 / permanganate/manganate(VII)/MnO4–.
Accept H+/H2SO4 instead of sulfuric acid and acidified.
Allow potassium dichromate or sodium dichromate (i.e. without (VI)) or potassium manganate (i.e. without (VII).
Conditions:
distillation for X to Y and reflux for X to Z;
Award [1] if correct reagents and conditions identified for one process only.
acid partially dissociates/ionizes;
Y more volatile than Z;
hydrogen bonding in carboxylic acid/Z;
Accept converse argument.
\(\left( {\left( {\frac{{2 \times 1.01}}{{18.02}}} \right)(0.089) = } \right){\text{ }}1.0 \times {10^{ - 2}}{\text{ g H}}\) and \(\left( {\left( {\frac{{12.01}}{{44.01}}} \right)(0.872) = } \right){\text{ }}2.38 \times {10^{ - 1}}{\text{ g C}}\);
\(\left( {\left( {\frac{{0.238}}{{1.30}}} \right)(100) = } \right){\text{ }}18.3\% {\text{ C}}\);
\(\left( {\frac{{1.0 \times {{10}^{ - 2}}}}{{1.30}}} \right)(100) = 0.77\% {\text{ H}}\);
Award [3] for correct final answer of 18.3% C and 0.77% H without working.
Allow whole numbers for molar masses.
\(\left( {(1.75)\left( {\frac{{35.45}}{{143.32}}} \right) = } \right){\text{ }}0.433{\text{ g (Cl)}}\) and \(\left( {\left( {\frac{{0.433}}{{0.535}}} \right)(100) = } \right){\text{ }}80.9\% {\text{ (Cl)}}\);
Allow whole numbers for molar masses.
\(\left( {\frac{{18.3}}{{12.01}}} \right) = 1.52{\text{ mol C}}\) and \(\left( {\frac{{0.77}}{{1.01}}} \right) = 0.76{\text{ mol H}}\) and \(\left( {\frac{{80.9}}{{35.45}}} \right) = 2.28{\text{ mol Cl}}\);
Allow whole numbers for atomic masses.
Empirical formula \( = {{\text{C}}_2}{\text{HC}}{{\text{l}}_3}\);
Award [2] for correct empirical formula without working.
\({M_{\text{r}}} = (24.02 + 1.01 + 106.35) = 131.38\), so molecular formula is \({{\text{C}}_2}{\text{HC}}{{\text{l}}_3}\);
Award [3] for correct final answer without working.
Allow whole numbers for atomic masses.
Examiners report
Part (a) which asked for a description of a homologous series was generally very well answered.
1 out of 2 marks were commonly awarded, as students had the incorrect prefix or made errors such as 4-methylpentan-1-al instead of 4-methylpentanal.
Most candidates knew the reagents for the conversions of the alcohol but only the best candidates also knew the conditions.
Explanations of a weak acid were well done.
Explanations of volatility were well done.
Part (d) was a moles calculation based on experimental data, and was done very well by some of those that attempted it. However many candidates could not get through it and some left it blank.
Part (d) was a moles calculation based on experimental data, and was done very well by some of those that attempted it. However many candidates could not get through it and some left it blank.
Part (d) was a moles calculation based on experimental data, and was done very well by some of those that attempted it. However many candidates could not get through it and some left it blank.
Vanadium, another transition metal, has a number of different oxidation states.
Determine the oxidation state of vanadium in each of the following species.
Formulate an equation for the reaction between VO2+(aq) and V2+(aq) in acidic solution to form V3+(aq).
Markscheme
V2O5: +5
VO2+: +4
Do not penalize incorrect notation twice.
[2 marks]
VO2+(aq) + V2+(aq) + 2H+(aq) → 2V3+(aq) + H2O(l)
Accept equilibrium sign.
[1 mark]
Examiners report
An acidic sample of a waste solution containing Sn2+(aq) reacted completely with K2Cr2O7 solution to form Sn4+(aq).
State the oxidation half-equation.
Deduce the overall redox equation for the reaction between acidic Sn2+(aq) and Cr2O72–(aq), using section 24 of the data booklet.
Calculate the percentage uncertainty for the mass of K2Cr2O7(s) from the given data.
The sample of K2Cr2O7(s) in (i) was dissolved in distilled water to form 0.100 dm3 solution. Calculate its molar concentration.
10.0 cm3 of the waste sample required 13.24 cm3 of the K2Cr2O7 solution. Calculate the molar concentration of Sn2+(aq) in the waste sample.
Markscheme
Sn2+(aq) → Sn4+(aq) + 2e–
Accept equilibrium sign.
Accept Sn2+(aq) – 2e– → Sn4+(aq).
[1 mark]
Cr2O72–(aq) + 14H+(aq) + 3Sn2+(aq) → 2Cr3+(aq) + 7H2O(l) + 3Sn4+(aq)
Accept equilibrium sign.
[1 mark]
«13.239 g ± 0.002 g so percentage uncertainty» 0.02 «%»
Accept answers given to greater precision, such as 0.0151%.
[1 mark]
« [K2Cr2O7] = \(\frac{{13.239{\text{ g}}}}{{294.20{\text{ g}}\,{\text{mo}}{{\text{l}}^{ - 1}} \times 0.100{\text{ d}}{{\text{m}}^3}}}\) =» 0.450 «mol\(\,\)dm–3»
[1 mark]
n(Sn2+) = «0.450 mol\(\,\)dm–3 x 0.01324 dm3 x \(\frac{{3\,mol}}{{1\,mol}}\) =» 0.0179 «mol»
«[Sn2+] = \(\frac{{0.0179\,mol}}{{0.0100\,mol}}\) =» 1.79 «mol\(\,\)dm–3»
Award [2] for correct final answer.
[2 marks]
Examiners report
An organic compound, X, with a molar mass of approximately \({\text{88 g}}\,{\text{mo}}{{\text{l}}^{ - 1}}\) contains 54.5% carbon, 36.3% oxygen and 9.2% hydrogen by mass.
(i) Distinguish between the terms empirical formula and molecular formula.
Empirical formula:
Molecular formula:
(ii) Determine the empirical formula of X.
(iii) Determine the molecular formula of X.
(iv) X is a straight-chain carboxylic acid. Draw its structural formula.
(v) Draw the structural formula of an isomer of X which is an ester.
(vi) The carboxylic acid contains two different carbon-oxygen bonds. Identify which bond is stronger and which bond is longer.
Stronger bond:
Longer bond:
(i) State and explain which of propan-1-ol, \({\text{C}}{{\text{H}}_{\text{3}}}{\text{C}}{{\text{H}}_{\text{2}}}{\text{C}}{{\text{H}}_{\text{2}}}{\text{OH}}\), and methoxyethane, \({\text{C}}{{\text{H}}_{\text{3}}}{\text{OC}}{{\text{H}}_{\text{2}}}{\text{C}}{{\text{H}}_{\text{3}}}\), is more volatile.
(ii) Propan-1-ol, \({\text{C}}{{\text{H}}_{\text{3}}}{\text{C}}{{\text{H}}_{\text{2}}}{\text{C}}{{\text{H}}_{\text{2}}}{\text{OH}}\), and hexan-l-ol, \({\text{C}}{{\text{H}}_{\text{3}}}{{\text{(C}}{{\text{H}}_{\text{2}}}{\text{)}}_{\text{4}}}{\text{C}}{{\text{H}}_{\text{2}}}{\text{OH}}\), are both alcohols. State and explain which compound is more soluble in water.
Graphite is used as a lubricant and is an electrical conductor. Diamond is hard and does not conduct electricity. Explain these statements in terms of the structure and bonding of these allotropes of carbon.
Graphite:
Diamond:
Markscheme
(i) Empirical formula:
simplest (whole number) ratio of atoms/moles of each element present in a compound/molecule;
Molecular formula:
actual numbers of atoms/moles of each element present in a compound/molecule / whole number multiple of empirical formula;
(ii) \(n{\text{(C)}} = 4.54{\text{ (mol), }}n{\text{(H)}} = 9.11{\text{ (mol)}}\) and \(n{\text{(O)}} = 2.27{\text{ (mol)}}\);
\({{\text{C}}_{\text{2}}}{{\text{H}}_{\text{4}}}{\text{O}}\);
Accept other valid method for calculation.
(iii) \({{\text{C}}_{\text{4}}}{{\text{H}}_{\text{8}}}{{\text{O}}_{\text{2}}}\);
(iv) \({\text{C}}{{\text{H}}_{\text{3}}}{\text{C}}{{\text{H}}_{\text{2}}}{\text{C}}{{\text{H}}_{\text{2}}}{\text{COOH}}\);
Accept full or condensed structural formulas.
(v) \({\text{C}}{{\text{H}}_{\text{3}}}{\text{C}}{{\text{H}}_2}{\text{COOC}}{{\text{H}}_3}/{\text{C}}{{\text{H}}_3}{\text{COOC}}{{\text{H}}_2}{\text{C}}{{\text{H}}_3}/{\text{HCOOC}}{{\text{H}}_2}{\text{C}}{{\text{H}}_2}{\text{C}}{{\text{H}}_3}/{\text{HCOOCH(C}}{{\text{H}}_3}{{\text{)}}_2}\);
Accept full or condensed structural formulas.
(vi) Stronger bond:
C=O/double bond;
Longer bond:
C–O/single bond;
(i) methoxyethane/ \({\text{C}}{{\text{H}}_3}{\text{OC}}{{\text{H}}_2}{\text{C}}{{\text{H}}_3}\) as there are only dipole-dipole forces (and van der Waals’ forces) between molecules;
propan-1-ol has hydrogen bonding between molecules;
hydrogen bonding is stronger than dipole-dipole forces;
(ii) propan-1-ol/ \({\text{C}}{{\text{H}}_3}{\text{C}}{{\text{H}}_2}{\text{C}}{{\text{H}}_2}{\text{OH}}\) as it has a smaller hydrocarbon chain;
the longer (non-polar) carbon chain in hexan-1-ol decreases the attraction between the alcohol and the (polar) water molecules / OWTTE;
graphite:
forms flat hexagonal rings / layers of carbon atoms each (covalently) bonded to 3 other carbon atoms / trigonal planar around C / C has \({\text{s}}{{\text{p}}^{\text{2}}}\) hybridization;
layers are held together by weak intermolecular/van der Waals’ forces;
layers can slide over each other;
delocalization of electrons / free moving electrons;
diamond:
all carbon atoms are (covalently) bonded to 4 other carbon atoms / tetrahedral around C / C has \({\text{s}}{{\text{p}}^{\text{3}}}\) hybridization;
strong covalent bonds;
no delocalized electrons / OWTTE;
Examiners report
There were some vague and convoluted definitions in (a)(i) but thereafter the calculations were well done. Where difficulty was found, was in the formula of an ester in (v), (AS 10.1.11).
The answers to (b)(i) were reasonable, although it was common to state that the intermolecular bonding in methoxyethane is van der Waals‘. Some G2s took issue with the examination of ethers in organic chemistry; it was, in fact, examined under AS 4.3.2. In (ii), some mentioned a “larger molecule” rather than a “longer chain” and few were able to explain the attraction (or lack thereof) between the organic molecule and water.
Part (c) suggested that there is work to be done on understanding the structures of graphite and diamond. One particular mark lost was not to state that the reason diamond is hard is because the covalent bonds are strong.
Urea, (H2N)2CO, is excreted by mammals and can be used as a fertilizer.
Calculate the percentage by mass of nitrogen in urea to two decimal places using section 6 of the data booklet.
Suggest how the percentage of nitrogen affects the cost of transport of fertilizers giving a reason.
The structural formula of urea is shown.

Predict the electron domain and molecular geometries at the nitrogen and carbon atoms, applying the VSEPR theory.

Urea can be made by reacting potassium cyanate, KNCO, with ammonium chloride, NH4Cl.
KNCO(aq) + NH4Cl(aq) → (H2N)2CO(aq) + KCl(aq)
Determine the maximum mass of urea that could be formed from 50.0 cm3 of 0.100 mol dm−3 potassium cyanate solution.
Urea can also be made by the direct combination of ammonia and carbon dioxide gases.
2NH3(g) + CO2(g) \( \rightleftharpoons \) (H2N)2CO(g) + H2O(g) ΔH < 0
Predict, with a reason, the effect on the equilibrium constant, Kc, when the temperature is increased.
Suggest one reason why urea is a solid and ammonia a gas at room temperature.
Sketch two different hydrogen bonding interactions between ammonia and water.
The combustion of urea produces water, carbon dioxide and nitrogen.
Formulate a balanced equation for the reaction.
The mass spectrum of urea is shown below.

Identify the species responsible for the peaks at m/z = 60 and 44.
The IR spectrum of urea is shown below.

Identify the bonds causing the absorptions at 3450 cm−1 and 1700 cm−1 using section 26 of the data booklet.
Predict the number of signals in the 1H NMR spectrum of urea.
Markscheme
molar mass of urea «= 4 × 1.01 + 2 × 14.01 + 12.01 + 16.00» = 60.07 «g mol–1»
«% nitrogen = \(\frac{{2 \times 14.01}}{{60.07}}\) × 100 =» 46.65 «%»
Award [2] for correct final answer.
Award [1 max] for final answer not to two decimal places.
[2 marks]
«cost» increases AND lower N% «means higher cost of transportation per unit of nitrogen»
OR
«cost» increases AND inefficient/too much/about half mass not nitrogen
Accept other reasonable explanations.
Do not accept answers referring to safety/explosions.
[1 mark]

Note: Urea’s structure is more complex than that predicted from VSEPR theory.
[3 marks]
n(KNCO) «= 0.0500 dm3 × 0.100 mol dm–3» = 5.00 × 10–3 «mol»
«mass of urea = 5.00 × 10–3 mol × 60.07 g mol–1» = 0.300 «g»
Award [2] for correct final answer.
[2 marks]
«Kc» decreases AND reaction is exothermic
OR
«Kc» decreases AND ΔH is negative
OR
«Kc» decreases AND reverse/endothermic reaction is favoured
[1 mark]
Any one of:
urea has greater molar mass
urea has greater electron density/greater London/dispersion
urea has more hydrogen bonding
urea is more polar/has greater dipole moment
Accept “urea has larger size/greater van der Waals forces”.
Do not accept “urea has greater intermolecular forces/IMF”.
[1 mark]

Award [1] for each correct interaction.
If lone pairs are shown on N or O, then the lone pair on N or one of the lone pairs on O MUST be involved in the H-bond.
Penalize solid line to represent H-bonding only once.
[2 marks]
2(H2N)2CO(s) + 3O2(g) → 4H2O(l) + 2CO2(g) + 2N2(g)
correct coefficients on LHS
correct coefficients on RHS
Accept (H2N)2CO(s) + \(\frac{3}{2}\)O2(g) → 2H2O(l) + CO2(g) + N2(g).
Accept any correct ratio.
[2 marks]
60: CON2H4+
44: CONH2+
Accept “molecular ion”.
[2 marks]
3450 cm–1: N–H
1700 cm–1: C=O
Do not accept “O–H” for 3450 cm–1.
[2 marks]
1
[1 mark]
Examiners report
There are many oxides of silver with the formula AgxOy. All of them decompose into their elements when heated strongly.
After heating 3.760 g of a silver oxide 3.275 g of silver remained. Determine the empirical formula of AgxOy.
Suggest why the final mass of solid obtained by heating 3.760 g of AgxOy may be greater than 3.275 g giving one design improvement for your proposed suggestion. Ignore any possible errors in the weighing procedure.
Naturally occurring silver is composed of two stable isotopes, 107Ag and 109Ag.
The relative atomic mass of silver is 107.87. Show that isotope 107Ag is more abundant.
Some oxides of period 3, such as Na2O and P4O10, react with water. A spatula measure of each oxide was added to a separate 100 cm3 flask containing distilled water and a few drops of bromothymol blue indicator.
The indicator is listed in section 22 of the data booklet.
Deduce the colour of the resulting solution and the chemical formula of the product formed after reaction with water for each oxide.
Explain the electrical conductivity of molten Na2O and P4O10.
Outline the model of electron configuration deduced from the hydrogen line emission spectrum (Bohr’s model).
Markscheme
n(Ag) = «\(\frac{{3.275{\text{ g}}}}{{107.87{\text{ g}}\,{\text{mol}}}} = \)» 0.03036 «mol»
AND
n(O) = «\(\frac{{3.760{\text{ g}} - 3.275{\text{ g}}}}{{16.00{\text{ g}}\,{\text{mo}}{{\text{l}}^{ - 1}}}} = \frac{{0.485}}{{16.00}} = \)» 0.03031 «mol»
«\(\frac{{0.03036}}{{0.03031}} \approx 1\) / ratio of Ag to O approximately 1 : 1, so»
AgO
Accept other valid methods for M1.
Award [1 max] for correct empirical formula if method not shown.
[2 marks]
temperature too low
OR
heating time too short
OR
oxide not decomposed completely
heat sample to constant mass «for three or more trials»
Accept “not heated strongly enough”.
If M1 as per markscheme, M2 can only be awarded for constant mass technique.
Accept "soot deposition" (M1) and any suitable way to reduce it (for M2).
Accept "absorbs moisture from atmosphere" (M1) and "cool in dessicator" (M2).
Award [1 max] for reference to impurity AND design improvement.
[2 marks]
Ar closer to 107/less than 108 «so more 107Ag»
OR
Ar less than the average of (107 + 109) «so more 107Ag»
Accept calculations that gives greater than 50% 107Ag.
[1 mark]
Do not accept name for the products.
Accept “Na+ + OH–” for NaOH.
Ignore coefficients in front of formula.
[3 marks]
«molten» Na2O has mobile ions/charged particles AND conducts electricity
«molten» P4O10 does not have mobile ions/charged particles AND does not conduct electricity/is poor conductor of electricity
Do not award marks without concept of mobile charges being present.
Award [1 max] if type of bonding or electrical conductivity correctly identified in each compound.
Do not accept answers based on electrons.
Award [1 max] if reference made to solution.
[2 marks]
electrons in discrete/specific/certain/different shells/energy levels
energy levels converge/get closer together at higher energies
OR
energy levels converge with distance from the nucleus
Accept appropriate diagram for M1, M2 or both.
Do not give marks for answers that refer to the lines in the spectrum.
[2 marks]
Examiners report
Brass is a copper containing alloy with many uses. An analysis is carried out to determine the percentage of copper present in three identical samples of brass. The reactions involved in this analysis are shown below.
\[\begin{array}{*{20}{l}} {{\text{Step 1: Cu(s)}} + {\text{2HN}}{{\text{O}}_3}{\text{(aq)}} + {\text{2}}{{\text{H}}^ + }{\text{(aq)}} \to {\text{C}}{{\text{u}}^{2 + }}{\text{(aq)}} + {\text{2N}}{{\text{O}}_2}{\text{(g)}} + {\text{2}}{{\text{H}}_2}{\text{O(l)}}} \\ {{\text{Step 2: 4}}{{\text{I}}^ - }{\text{(aq)}} + {\text{2C}}{{\text{u}}^{2 + }}{\text{(aq)}} \to {\text{2CuI(s)}} + {{\text{I}}_2}{\text{(aq)}}} \\ {{\text{Step 3: }}{{\text{I}}_2}{\text{(aq)}} + {\text{2}}{{\text{S}}_2}{\text{O}}_3^{2 - }{\text{(aq)}} \to {\text{2}}{{\text{I}}^ - }{\text{(aq)}} + {{\text{S}}_4}{\text{O}}_6^{2 - }{\text{(aq)}}} \end{array}\]
(a) (i) Deduce the change in the oxidation numbers of copper and nitrogen in step 1.
Copper:
Nitrogen:
(ii) Identify the oxidizing agent in step 1.
(b) A student carried out this experiment three times, with three identical small brass nails, and obtained the following results.
\[{\text{Mass of brass}} = 0.456{\text{ g}} \pm 0.001{\text{ g}}\]

(i) Calculate the average amount, in mol, of \({{\text{S}}_{\text{2}}}{\text{O}}_3^{2 - }\) added in step 3.
(ii) Calculate the amount, in mol, of copper present in the brass.
(iii) Calculate the mass of copper in the brass.
(iv) Calculate the percentage by mass of copper in the brass.
(v) The manufacturers claim that the sample of brass contains 44.2% copper by mass. Determine the percentage error in the result.
(c) With reference to its metallic structure, describe how brass conducts electricity.
Markscheme
(a) (i) Copper:
0 to +2 / increases by 2 / +2 / 2+;
Allow zero/nought for 0.
Nitrogen:
+5 to +4 / decreases by 1 / –1 / 1–;
Penalize missing + sign or incorrect notation such as 2+, 2+ or II, once only.
(ii) nitric acid/\({\text{HN}}{{\text{O}}_{\text{3}}}\) / \({\text{NO}}_3^ - \)/nitrate;
Allow nitrogen from nitric acid/nitrate but not just nitrogen.
(b) (i) \(0.100 \times 0.0285\);
\(2.85 \times {10^{ - 3}}{\text{ (mol)}}\);
Award [2] for correct final answer.
(ii) \(2.85 \times {10^{ - 3}}{\text{ (mol)}}\);
(iii) \(63.55 \times 2.85 \times {10^{ - 3}} = 0.181{\text{ g}}\);
Allow 63.5.
(iv) \(\left( {\frac{{0.181}}{{0.456}} \times 100 = } \right){\text{ }}39.7\% \);
(v) \(\left( {\frac{{44.2 - 39.7}}{{44.2}} \times 100 = } \right){\text{ }}10.2\% \);
Allow 11.3% i.e. percentage obtained in (iv) is used to divide instead of 44.2%.
(c) Brass has:
delocalized electrons / sea of mobile electrons / sea of electrons free to move;
No mark for just “mobile electrons”.
Examiners report
There were several G2 comments on this question, all of which claimed that the question was difficult for SL candidates especially as a three-step reaction process was involved. Certainly some of the weaker candidates struggled with this question, but with the application of ECF marks, most candidates should have been able to score the majority of marks in the question. What was more worrying was the large number of candidates who scored zero or close to zero marks on Q.1, which meant they had little idea of a titration from their exposure to laboratory work in the programme as a whole.
In (a) (i), most candidates showed a reasonable understanding of oxidation numbers, but relatively few scored full marks as they did not read the question which asked explicitly for the change in oxidation numbers. A number also incorrectly wrote 5+ going to 4+ instead of +5 going to +4 i.e. they mixed up charges with oxidation numbers. In the oxidizing agent question in part (ii), the most common mistake was candidates writing nitrogen, instead of the nitric acid, which is the agent involved. In (b), candidates typically either did very well or scored almost no marks at all. In (i), a number of candidates did not convert to dm3 and some did not use the average volume in their calculations, again failing to read the question carefully. (c) however was well answered, though some candidates made reference to the ions as charge carriers rather than giving a description of delocalized electrons. Other candidates stated just mobile electrons instead of stating sea of mobile electrons which was required for the mark.
Biodiesel makes use of plants’ ability to fix atmospheric carbon by photosynthesis. Many companies and individuals are now using biodiesel as a fuel in order to reduce their carbon footprint. Biodiesel can be synthesized from vegetable oil according to the following reaction.

The reversible arrows in the equation indicate that the production of biodiesel is an equilibrium process.
Identify the organic functional group present in both vegetable oil and biodiesel.
For part of her extended essay investigation into the efficiency of the process, a student reacted a pure sample of a vegetable oil (where \({\text{R}} = {{\text{C}}_{{\text{17}}}}{{\text{H}}_{{\text{33}}}}\)) with methanol. The raw data recorded for the reaction is below.
\[\begin{array}{*{20}{l}} {{\text{Mass of oil}}}&{ = 1013.0{\text{ g}}} \\ {{\text{Mass of methanol}}}&{ = 200.0{\text{ g}}} \\ {{\text{Mass of sodium hydroxide}}}&{ = 3.5{\text{ g}}} \\ {{\text{Mass of biodiesel produced}}}&{ = 811.0{\text{ g}}} \end{array}\]
The relative molecular mass of the oil used by the student is 885.6. Calculate the amount (in moles) of the oil and the methanol used, and hence the amount (in moles) of excess methanol.
State what is meant by the term dynamic equilibrium.
Using the abbreviations [vegetable oil], [methanol], [glycerol] and [biodiesel] deduce the equilibrium constant expression \({\text{(}}{K_{\text{c}}}{\text{)}}\) for this reaction.
Suggest a reason why excess methanol is used in this process.
State and explain the effect that the addition of the sodium hydroxide catalyst will have on the position of equilibrium.
The reactants had to be stirred vigorously because they formed two distinct layers in the reaction vessel. Explain why they form two distinct layers and why stirring increases the rate of reaction.
Calculate the percentage yield of biodiesel obtained in this process.
Markscheme
ester;
amount of oil \( = \frac{{1013.0}}{{885.6}} = 1.144{\text{ mol}}\);
amount of methanol \( = \frac{{200.0}}{{32.05}} = 6.240{\text{ mol}}\);
since three mol of methanol react with one mol of vegetable oil the amount of excess methanol \( = 6.204 - (3 \times 1.144) = 2.808{\text{ mol}}\);
rate of the forward reaction is equal to the rate of the reverse reaction / forward and reverse reactions occur and the concentrations of the reactants and products do not change / OWTTE;
\({K_{\text{c}}} = \frac{{{\text{[glycerol]}} \times {{{\text{[biodiesel]}}}^3}}}{{{\text{[vegetable oil]}} \times {{{\text{[methanol]}}}^3}}}\);
to move the position of equilibrium to the right/product side / increase the yield of biodiesel;
no effect (on position of equilibrium);
increases the rate of the forward and the reverse reactions equally (so equilibrium reached quicker) / it lowers Ea for both the forward and reverse reactions by the same amount / OWTTE;
No ECF for explanation.
vegetable oil is mainly non-polar and methanol is polar / OWTTE;
stirring brings them into more contact with each other / increase the frequency of collisions / OWTTE;
Do not allow simply mixing.
(relative molecular mass of biodiesel, \({{\text{C}}_{19}}{{\text{H}}_{36}}{{\text{O}}_2} = 296.55\))
maximum yield of biodiesel \( = 3.432{\text{ mol}}/1018{\text{ g}}\);
percentage yield \(\frac{{811.0}}{{1018}} \times 100 = 79.67\% \);
Allow 80% for percentage yield.
Examiners report
Part (a) was reasonably well answered with most candidates opting for an ester. Ketone (frequently spelt keytone) and carbonyl were the most common incorrect responses.
In Part (b) most candidates scored 1 or 2 marks, showing that they knew the correct method but the third mark proved to be more difficult to obtain, usually because the factor of 3 was omitted.
In general, equilibrium (Part (c)) seems to be quite well understood. The most common error in (i) was to describe the reaction as constant rather than having opposing reactions with equal rates.
The expression in (ii) was an easy mark for the better candidates. The weaker ones often missed one or both of the powers of three and a small number had + signs in both the numerator and denominator.
In (iii) the most common incorrect answer was ‘to use up all the vegetable oil’.
In (iv) most candidates were aware that a catalyst has no effect on the equilibrium constant but failed to gain the second mark for saying that the catalyst affected both reactions equally, either by increasing the rates equally or lowering the activation energy by the same amount.
Very few candidates scored both marks for Part (d) of the question. The better candidates realised that there was a difference in polarity, though not always identifying which reactant was polar and which was non-polar. The most common answers either simply stated that the two were immiscible or that they had different densities. For the second mark an increase in collisions was often mentioned but not always an increase in the frequency of collisions.
Candidates found Part (e) to be very difficult. This was not helped by the small amount of space available to them on the paper. Many answers expressed the data in terms which would have calculated (100 - %) as though they had been drilled to calculate % impurities.
A student decided to determine the molecular mass of a solid monoprotic acid, HA, by titrating a solution of a known mass of the acid.
The following recordings were made.

Calculate the mass of the acid and determine its absolute and percentage uncertainty.
This known mass of acid, HA, was then dissolved in distilled water to form a \({\text{100.0 c}}{{\text{m}}^{\text{3}}}\) solution in a volumetric flask. A \({\text{25.0 c}}{{\text{m}}^{\text{3}}}\) sample of this solution reacted with \({\text{12.1 c}}{{\text{m}}^{\text{3}}}\) of a \({\text{0.100 mol}}\,{\text{d}}{{\text{m}}^{ - 3}}\) NaOH solution. Calculate the molar mass of the acid.
The percentage composition of HA is 70.56% carbon, 23.50% oxygen and 5.94% hydrogen. Determine its empirical formula.
A solution of HA is a weak acid. Distinguish between a weak acid and a strong acid.
Describe an experiment, other than measuring the pH, to distinguish HA from a strong acid of the same concentration and describe what would be observed.
Markscheme
0.675 (g) ± 0.002 (g);
Percentage uncertainty: 0.3%;
Accept answers correct to one, two or three significant figures for percentage uncertainty.
In 25.0 cm3: \({n_{{\text{HA}}}} = 1.21 \times {10^{ - 3}}{\text{ (mol)}}\);
In 100 cm3: \({n_{{\text{HA}}}} = 4.84 \times {10^{ - 3}}{\text{ (mol)}}\);
\({\text{M }}\left( { = \frac{{0.675}}{{4.84 \times {{10}^{ - 3}}}}} \right) = 139{\text{ (g}}\,{\text{mo}}{{\text{l}}^{ - 1}}{\text{)}}\);
Award [3] for correct final answer.
Accept suitable alternative methods.
\({n_{\text{C}}}:{\text{ }}\left( {\frac{{70.56}}{{12.01}} = } \right){\text{ }}5.88\) and \({n_{\text{O}}}:{\text{ }}\left( {\frac{{23.50}}{{16}} = } \right){\text{ }}1.47\) and \({n_{\text{H}}}:{\text{ }}\left( {\frac{{5.94}}{{1.01}} = } \right){\text{ }}5.88\)
\({{\text{C}}_{\text{4}}}{{\text{H}}_{\text{4}}}{\text{O}}\);
Award [2] for correct final answer.
Accept answers using integer values of molar mass.
weak acids partially dissociated/ionized and strong acids completely dissociated/ionized (in solution/water) / OWTTE;
strong acids have greater electrical conductivity / weak acids have lower electrical conductivity;
OR
adding a reactive metal / carbonate / hydrogen carbonate;
Accept correct example.
stronger effervescence with strong acids / weaker with weak acids / OWTTE;
OR
adding a strong base;
Accept correct example.
strong acid would increase more in temperature / weak acids increase less in temperature;
Examiners report
Many students lost easy marks as they forgot to propagate uncertainties.
Many candidates struggled with the concept of mole and the dilution factor added to the difficulty.
Most students determined the empirical formula correctly.
Weak and strong acids were generally correctly defined, though sometimes they were defined in terms of pH.
The conductivity test appeared frequently and was well described. Many candidates used a strong based, but then went on to describe a titration method.
Explain why the relative atomic mass of argon is greater than the relative atomic mass of potassium, even though the atomic number of potassium is greater than the atomic number of argon.
Deduce the numbers of protons and electrons in the \({{\text{K}}^ + }\) ion.
Markscheme
argon has a greater proportion of heavier isotopes / OWTTE / argon has a greater number of neutrons;
19 protons and 18 electrons;
Examiners report
This question was the best answered on the paper and generally well answered question. In part (a) candidates sometimes incorrectly used the term relative atomic mass instead of relative isotopic mass when referring to the mass of an isotope.
Most candidates correctly deduced the number of protons and electrons in the \({{\text{K}}^ + }\) ion, however some candidates did not read the question carefully and deduced the number of subatomic particles in the K atom.
The concentration of a solution of a weak acid, such as ethanedioic acid, can be determined
by titration with a standard solution of sodium hydroxide, NaOH (aq).
Distinguish between a weak acid and a strong acid.
Weak acid:
Strong acid:
Suggest why it is more convenient to express acidity using the pH scale instead of using the concentration of hydrogen ions.
5.00 g of an impure sample of hydrated ethanedioic acid, (COOH)2•2H2O, was dissolved in water to make 1.00 dm3 of solution. 25.0 cm3 samples of this solution were titrated against a 0.100 mol dm-3 solution of sodium hydroxide using a suitable indicator.
(COOH)2 (aq) + 2NaOH (aq) → (COONa)2 (aq) + 2H2O (l)
The mean value of the titre was 14.0 cm3.
(i) Calculate the amount, in mol, of NaOH in 14.0 cm3 of 0.100 mol dm-3 solution.
(ii) Calculate the amount, in mol, of ethanedioic acid in each 25.0 cm3 sample.
(iii) Determine the percentage purity of the hydrated ethanedioic acid sample.
The Lewis (electron dot) structure of the ethanedioate ion is shown below.
Outline why all the C–O bond lengths in the ethanedioate ion are the same length and suggest a value for them. Use section 10 of the data booklet.
Markscheme
Weak acid: partially dissociated/ionized «in solution/water»
AND
Strong acid: «assumed to be almost» completely/100% dissociated/ionized «in solution/water»
Accept answers relating to pH, conductivity, reactivity if solutions of equal concentrations stated.
«log scale» reduces a wide range of numbers to a small range
OR
simple/easy to use
OR
converts exponential expressions into linear scale/simple numbers
Do not accept “easy for calculations”
i
«n(NaOH) = \(\left( {\frac{{14.0}}{{1000}}} \right)\) dm-3 x 0.100 mol dm-3 =» 1.40 x 10-3 «mol»
ii
«\(\frac{1}{2} \times 1.40 \times {10^{ - 3}} = \) \(7.00 \times {10^{ - 4}}\) «mol»
iii
ALTERNATIVE 1:
«mass of pure hydrated ethanedioic acid in each titration = 7.00 × 10-4 mol × 126.08 g mol-1 =» 0.0883 / 8.83 × 10-2 «g»
mass of sample in each titration = «\(\frac{{25}}{{1000}}\)×5.00g=»0.125«g»
«% purity = \(\frac{{0.0883{\rm{g}}}}{{0.125{\rm{g}}}}\) × 100 =» 70.6 «%»
ALTERNATIVE 2:
«mol of pure hydrated ethanedioic acid in 1 dm3 solution = 7.00 × 10-4 × \(\frac{{1000}}{{25}}\) =» 2.80×10-2 «mol»
«mass of pure hydrated ethanedioic acid in sample = 2.80 × 10-2 mol × 126.08 g mol-1 =» 3.53 «g»
«% purity = \(\frac{{3.53{\rm{g}}}}{{5.00{\rm{g}}}}\) × 100 =» 70.6 «%»
ALTERNATIVE 3:
mol of hydrated ethanedioic acid (assuming sample to be pure) = \(\frac{{5.00{\rm{g}}}}{{126.08{\rm{gmo}}{{\rm{l}}^{ - 1}}}}\) = 0.03966 «mol»
actual amount of hydrated ethanedioic acid = «7.00 × 10-4 × \(\frac{{1000}}{{25}}\) =» 2.80 × 10-2 «mol»
«% purity = \(\frac{{2.80 \times {{10}^{ - 2}}}}{{0.03966}}\) × 100 =» 70.6 «%»
Award suitable part marks for alternative methods.
Award [3] for correct final answer.
Award [2 max] for 50.4 % if anhydrous ethanedioic acid assumed.
electrons delocalized «across the O–C–O system»
OR
resonance occurs
Accept delocalized π-bond(s).
122 «pm» < C–O < 143 «pm»
Accept any answer in the range 123 «pm» to 142 «pm». Accept “bond intermediate between single and double bond” or “bond order 1.5”.
Examiners report
Iron tablets are often prescribed to patients. The iron in the tablets is commonly present as iron(II) sulfate, \({\text{FeS}}{{\text{O}}_{\text{4}}}\).
Two students carried out an experiment to determine the percentage by mass of iron in a brand of tablets marketed in Cyprus.
Experimental Procedure:
• The students took five iron tablets and found that the total mass was 1.65 g.
• The five tablets were ground and dissolved in \({\text{100 c}}{{\text{m}}^{\text{3}}}\) dilute sulfuric acid, \({{\text{H}}_{\text{2}}}{\text{S}}{{\text{O}}_{\text{4}}}{\text{(aq)}}\). The solution and washings were transferred to a \({\text{250 c}}{{\text{m}}^{\text{3}}}\) volumetric flask and made up to the mark with deionized (distilled) water.
• \({\text{25.0 c}}{{\text{m}}^{\text{3}}}\) of this \({\text{F}}{{\text{e}}^{2 + }}{\text{(aq)}}\) solution was transferred using a pipette into a conical flask. Some dilute sulfuric acid was added.
• A titration was then carried out using a \(5.00 \times {10^{ - 3}}{\text{ mol}}\,{\text{d}}{{\text{m}}^{ - 3}}\) standard solution of potassium permanganate, \({\text{KMn}}{{\text{O}}_{\text{4}}}{\text{(aq)}}\). The end-point of the titration was indicated by a slight pink colour.
The following results were recorded.

This experiment involves the following redox reaction.
\[{\text{5F}}{{\text{e}}^{2 + }}{\text{(aq)}} + {\text{MnO}}_4^ - {\text{(aq)}} + {\text{8}}{{\text{H}}^ + }{\text{(aq)}} \to {\text{5F}}{{\text{e}}^{3 + }}{\text{(aq)}} + {\text{M}}{{\text{n}}^{2 + }}{\text{(aq)}} + {\text{4}}{{\text{H}}_2}{\text{O(l)}}\]
When the \({\text{F}}{{\text{e}}^{2 + }}{\text{(aq)}}\) solution was made up in the \({\text{250 c}}{{\text{m}}^{\text{3}}}\) volumetric flask, deionized (distilled) water was added until the bottom of its meniscus corresponded to the graduation mark on the flask. It was noticed that one of the two students measured the volume of the solution from the top of the meniscus instead of from the bottom. State the name of this type of error.
State what is meant by the term precision.
When the students recorded the burette readings, following the titration with KMnO4 (aq),the top of the meniscus was used and not the bottom. Suggest why the students read the top of the meniscus and not the bottom.
Define the term reduction in terms of electrons.
Deduce the oxidation number of manganese in the \({\text{MnO}}_{\text{4}}^ - {\text{(aq)}}\) ion.
Determine the amount, in mol, of \({\text{MnO}}_{\text{4}}^ - {\text{(aq)}}\), used in each accurate titre.
Calculate the amount, in mol, of \({\text{F}}{{\text{e}}^{2 + }}{\text{(aq)}}\) ions in \({\text{250 c}}{{\text{m}}^{\text{3}}}\) of the solution.
Determine the total mass of iron, in g, in the \({\text{250 c}}{{\text{m}}^{\text{3}}}\) solution.
Determine the percentage by mass of iron in the tablets.
One titration was abandoned because a brown precipitate, manganese(IV) oxide, formed. State the chemical formula of this compound.
Markscheme
systematic (error);
Do not accept parallax.
closeness of agreement of a set of measurements to each other / OWTTE;
Allow reproducibility/consistency of measurement / measurements with small random errors/total amount of random errors/standard deviation / a more precise value contains more significant figures / OWTTE.
potassium permanganate has a very dark/deep (purple) colour so cannot read bottom of meniscus / OWTTE;
gain (of electrons);
VII / +7;
Do not accept 7 or 7+.
volume \( = 16.80{\text{ }}({\text{c}}{{\text{m}}^3})/18.00 - 1.20{\text{ }}({\text{c}}{{\text{m}}^3})\);
amount \(\left( { = \frac{{16.80 \times 5.00 \times {{10}^{ - 3}}}}{{1000}}} \right) = 8.40 \times {10^{ - 5}}{\text{ (mol)}}\);
Award [2] for correct final answer.
\((8.40 \times {10^{ - 5}} \times 5 \times 10) = 4.20 \times {10^{ - 3}}{\text{ (mol per 250 c}}{{\text{m}}^{\text{3}}}{\text{)}}\);
\((55.85 \times 4.20 \times {10^{ - 3}}) = 0.235{\text{ (g)}}\);
Do not penalize if 56 g mol–1 is used for atomic mass of iron.
\(\left( {\frac{{{\text{0.235}} \times {\text{100}}}}{{{\text{1.65}}}} = } \right){\text{ 14.2% }}\);
No ECF if answer >100 %.
MnO2;
Examiners report
Question 1 presented difficulties to many candidates. It is felt that the extended nature of the response distracted candidates from rather straight-forward quantitative chemistry calculations. Part (a) required candidates to determine whether an error was systematic or random and part (b) asked for the meaning of precision. Both of these questions are relevant to Topic 11.
Question 1 presented difficulties to many candidates. It is felt that the extended nature of the response distracted candidates from rather straight-forward quantitative chemistry calculations. Part (a) required candidates to determine whether an error was systematic or random and part (b) asked for the meaning of precision. Both of these questions are relevant to Topic 11.
Very few candidates related reading the top of the meniscus in the burette in part (c) to the colour of the KMnO4 solution. While it is acknowledged that few candidates would have performed this experiment themselves, it is reasonable that candidates should know the colour of KMnO4.
Part d) (i) was answered very well with nearly all candidates correctly defining reduction.
In d) (ii) many candidates correctly deduced the oxidation number of Mn in MnO4. Several lost marks, however, for not using acceptable notation. 7 by itself is not correct.
Part (e) involved the calculations. Candidates were guided through the process of calculating number of moles from concentration and volume, finding mole ratios, and determining mass from moles and molar mass. Better candidates performed these calculations well. Weaker candidates often scored follow-through marks when working was shown.
Part (e) involved the calculations. Candidates were guided through the process of calculating number of moles from concentration and volume, finding mole ratios, and determining mass from moles and molar mass. Better candidates performed these calculations well. Weaker candidates often scored follow-through marks when working was shown.
Part (e) involved the calculations. Candidates were guided through the process of calculating number of moles from concentration and volume, finding mole ratios, and determining mass from moles and molar mass. Better candidates performed these calculations well. Weaker candidates often scored follow-through marks when working was shown.
Part (e) involved the calculations. Candidates were guided through the process of calculating number of moles from concentration and volume, finding mole ratios, and determining mass from moles and molar mass. Better candidates performed these calculations well. Weaker candidates often scored follow-through marks when working was shown.
In f) (i) a common error was to write Mn2O4 as the formula for manganese(IV) oxide. Also common was the use of the symbol Mg for manganese.
Reaction kinetics can be investigated using the iodine clock reaction. The equations for two reactions that occur are given below.
Reaction A: \({{\text{H}}_2}{{\text{O}}_2}{\text{(aq)}} + {\text{2}}{{\text{I}}^ - }{\text{(aq)}} + {\text{2}}{{\text{H}}^ + }{\text{(aq)}} \to {{\text{I}}_2}{\text{(aq)}} + {\text{2}}{{\text{H}}_2}{\text{O(l)}}\)
Reaction B: \({{\text{I}}_2}{\text{(aq)}} + {\text{2}}{{\text{S}}_2}{\text{O}}_3^{2 - }{\text{(aq)}} \to {\text{2}}{{\text{I}}^ - }{\text{(aq)}} + {{\text{S}}_4}{\text{O}}_6^{2 - }{\text{(aq)}}\)
Reaction B is much faster than reaction A, so the iodine, \({{\text{I}}_{\text{2}}}\), formed in reaction A immediately reacts with thiosulfate ions, \({{\text{S}}_{\text{2}}}{\text{O}}_3^{2 - }\), in reaction B, before it can react with starch to form the familiar blue-black, starch-iodine complex.
In one experiment the reaction mixture contained:
\(5.0 \pm 0.1{\text{ c}}{{\text{m}}^{\text{3}}}\) of \({\text{2.00 mol}}\,{\text{d}}{{\text{m}}^{ - 3}}\) hydrogen peroxide \({\text{(}}{{\text{H}}_{\text{2}}}{{\text{O}}_{\text{2}}}{\text{)}}\)
\(5.0 \pm 0.1{\text{ c}}{{\text{m}}^{\text{3}}}\) of 1% aqueous starch
\(20.0 \pm 0.1{\text{ c}}{{\text{m}}^{\text{3}}}\) of \({\text{1.00 mol}}\,{\text{d}}{{\text{m}}^{ - 3}}\) sulfuric acid (\({{\text{H}}_{\text{2}}}{\text{S}}{{\text{O}}_{\text{4}}}\))
\(20.0 \pm 0.1{\text{ c}}{{\text{m}}^{\text{3}}}\) of \({\text{0.0100 mol}}\,{\text{d}}{{\text{m}}^{ - 3}}\) sodium thiosulfate (\({\text{N}}{{\text{a}}_{\text{2}}}{{\text{S}}_{\text{2}}}{{\text{O}}_{\text{3}}}\))
\(50.0 \pm 0.1{\text{ c}}{{\text{m}}^{\text{3}}}\) of water with 0.0200 ± 0.0001 g of potassium iodide (KI) dissolved in it.
After 45 seconds this mixture suddenly changed from colourless to blue-black.
Calculate the amount, in mol, of KI in the reaction mixture.
Calculate the amount, in mol, of \({{\text{H}}_{\text{2}}}{{\text{O}}_{\text{2}}}\) in the reaction mixture.
The concentration of iodide ions, \({{\text{I}}^ - }\), is assumed to be constant. Outline why this is a valid assumption.
For this mixture the concentration of hydrogen peroxide, \({{\text{H}}_{\text{2}}}{{\text{O}}_{\text{2}}}\), can also be assumed to be constant. Explain why this is a valid assumption.
Explain why the solution suddenly changes colour.
Apart from the precision uncertainties given, state one source of error that could affect this investigation and identify whether this is a random error or a systematic error.
Calculate the total uncertainty, in \({\text{c}}{{\text{m}}^{\text{3}}}\), of the volume of the reaction mixture.
The colour change occurs when \(1.00 \times {10^{ - 4}}{\text{ mol}}\) of iodine has been formed. Use the total volume of the solution and the time taken, to calculate the rate of the reaction, including appropriate units.
In a second experiment, the concentration of the hydrogen peroxide was decreased to \({\text{1.00 mol}}\,{\text{d}}{{\text{m}}^{ - 3}}\) while all other concentrations and volumes remained unchanged. The colour change now occurred after 100 seconds. Explain why the reaction in this experiment is slower than in the original experiment.
In a third experiment, 0.100 g of a black powder was also added while all other concentrations and volumes remained unchanged. The time taken for the solution to change colour was now 20 seconds. Outline why you think the colour change occurred more rapidly and how you could confirm your hypothesis.
Explain why increasing the temperature also decreases the time required for the colour to change.
Markscheme
\(\left( {\frac{{0.0200}}{{166.00}} = } \right){\text{ }}0.000120/1.20 \times {10^{ - 4}}{\text{ (mol)}}\);
Accept 1.21 \( \times \) 10–4.
\((0.0050 \times 2.00 = ){\text{ }}0.010{\text{ (mol)}}/1.0 \times {10^{ - 2}}\);
KI/\({{\text{I}}^ - }\)/potassium iodide/iodide (ion) (rapidly) reformed (in second stage of reaction);
amount (in mol) of \({{\text{H}}_{\text{2}}}{{\text{O}}_{\text{2}}}\)/hydrogen peroxide \( \gg \) amount (in mol) \({\text{N}}{{\text{a}}_{\text{2}}}{{\text{S}}_{\text{2}}}{{\text{O}}_{\text{3}}}{\text{/}}{{\text{S}}_{\text{2}}}{\text{O}}_3^{2 - }\)/sodium thiosulfate/ thiosulfate (ion);
Accept amount (in mol) of H2O2/hydrogen peroxide \( \gg \) amount (in mol) KI/I–/potassium iodide/iodide (ion).
Accept “[H2O2]/hydrogen peroxide is in (large) excess/high concentration”.
(at end of reaction) [\({{\text{H}}_{\text{2}}}{{\text{O}}_{\text{2}}}\)] is only slightly decreased/virtually unchanged;
all \({\text{N}}{{\text{a}}_{\text{2}}}{{\text{S}}_{\text{2}}}{{\text{O}}_{\text{3}}}\)/sodium thiosulfate/\({{\text{S}}_{\text{2}}}{\text{O}}_3^{2 - }\)/thiosulfate consumed/used up;
Accept “iodine no longer converted to iodide”.
(free) iodine is formed / iodine reacts with starch / forms iodine-starch complex;
Random: synchronizing mixing and starting timing / (reaction) time / uncertainty of concentrations of solutions / temperature of solutions/room temperature;
OR
Systematic: liquid remaining in measuring cylinders / not all solid KI transferred / precision uncertainty of stopwatch / ability of human eye to detect colour change / parallax error;
Accept concentration of stock solution and human reaction time as systematic error.
Award M1 for correctly identifying a source of error and M2 for classifying it.
Accept other valid sources of error.
Do not accept “student making mistakes” / OWTTE.
\((5 \times 0.1) = ( \pm )0.5{\text{ }}({\text{c}}{{\text{m}}^3})\);
total volume \( = 0.100{\text{ }}({\text{d}}{{\text{m}}^3})/100{\text{ }}({\text{c}}{{\text{m}}^3})\);
\(\left( {{\text{change in concentration}} = \frac{{1.00 \times {{10}^{ - 4}}}}{{{\text{0.100}}}} = } \right){\text{ }}1.00 \times {10^{ - 3}}{\text{ (mol}}\,{\text{d}}{{\text{m}}^{ - 3}}{\text{)}}\);
\(\left( {{\text{rate}} = \frac{{1.00 \times {{10}^{ - 3}}}}{{45}} = } \right){\text{ }}2.2 \times {10^{ - 5}}\);
Award [3] for the correct final answer.
\({\text{mol}}\,{\text{d}}{{\text{m}}^{ - 3}}{{\text{s}}^{ - 1}}\);
fewer particles (per unit volume);
lower collision rate/collision frequency / less frequent collisions;
Do not accept “less collisions”.
acting as a catalyst / black powder reacts with thiosulfate ions / solid dissolves to give blue-black solution;
Accept any other valid suggestion which will make colour change more rapid.
For catalyst: amount/mass of black powder remains constant / no new/different products formed / activation energy decreased;
For other suggestions: any appropriate way to test the hypothesis;
Award [1] for valid hypothesis, [1] for appropriate method of testing the stated hypothesis.
particles have greater (average) kinetic energy;
Do not accept energy instead of kinetic energy.
more frequent collisions/collision frequency/number of collisions in a given time increases;
Do not accept “more collisions” unless “less collisions” penalized in (i).
greater proportion of particles have energy \( \ge\) activation energy;
Accept “particles have sufficient energy for collisions to be successful”.
Examiners report
This was a data based question based on quantitative chemistry and proved difficult for many candidates. Majority of candidates were able to gain almost full marks in parts (a) and (b). In part (c), many candidates failing to recognise that KI is rapidly reformed in the second stage of the reaction. In part (d), majority of candidates could not interpret the information correctly and hence lost two marks. Similarly, only 1 mark was obtained in part (e) where candidates recognized that iodine forms the starch-iodine complex. Many candidates managed the systematic and random errors in part (f). Calculation of uncertainty in part (g) was relatively well done by many candidates. In part (h), calculation of rate of reaction occasionally saw the erroneous use of volume in \({\text{c}}{{\text{m}}^{\text{3}}}\). In part (i), the candidates just repeated the stem of the question but obtained credit for the second mark for stating less frequent collisions. Part (j) was quite open ended and elicited a number of interesting responses (instead of acting as catalyst) whereas the suggested tests would not in fact confirm the hypothesis suggested. In part (k), the effect of increasing temperature on the rate of reaction proved easy for majority of candidates.
This was a data based question based on quantitative chemistry and proved difficult for many candidates. Majority of candidates were able to gain almost full marks in parts (a) and (b). In part (c), many candidates failing to recognise that KI is rapidly reformed in the second stage of the reaction. In part (d), majority of candidates could not interpret the information correctly and hence lost two marks. Similarly, only 1 mark was obtained in part (e) where candidates recognized that iodine forms the starch-iodine complex. Many candidates managed the systematic and random errors in part (f). Calculation of uncertainty in part (g) was relatively well done by many candidates. In part (h), calculation of rate of reaction occasionally saw the erroneous use of volume in \({\text{c}}{{\text{m}}^{\text{3}}}\). In part (i), the candidates just repeated the stem of the question but obtained credit for the second mark for stating less frequent collisions. Part (j) was quite open ended and elicited a number of interesting responses (instead of acting as catalyst) whereas the suggested tests would not in fact confirm the hypothesis suggested. In part (k), the effect of increasing temperature on the rate of reaction proved easy for majority of candidates.
This was a data based question based on quantitative chemistry and proved difficult for many candidates. Majority of candidates were able to gain almost full marks in parts (a) and (b). In part (c), many candidates failing to recognise that KI is rapidly reformed in the second stage of the reaction. In part (d), majority of candidates could not interpret the information correctly and hence lost two marks. Similarly, only 1 mark was obtained in part (e) where candidates recognized that iodine forms the starch-iodine complex. Many candidates managed the systematic and random errors in part (f). Calculation of uncertainty in part (g) was relatively well done by many candidates. In part (h), calculation of rate of reaction occasionally saw the erroneous use of volume in \({\text{c}}{{\text{m}}^{\text{3}}}\). In part (i), the candidates just repeated the stem of the question but obtained credit for the second mark for stating less frequent collisions. Part (j) was quite open ended and elicited a number of interesting responses (instead of acting as catalyst) whereas the suggested tests would not in fact confirm the hypothesis suggested. In part (k), the effect of increasing temperature on the rate of reaction proved easy for majority of candidates.
This was a data based question based on quantitative chemistry and proved difficult for many candidates. Majority of candidates were able to gain almost full marks in parts (a) and (b). In part (c), many candidates failing to recognise that KI is rapidly reformed in the second stage of the reaction. In part (d), majority of candidates could not interpret the information correctly and hence lost two marks. Similarly, only 1 mark was obtained in part (e) where candidates recognized that iodine forms the starch-iodine complex. Many candidates managed the systematic and random errors in part (f). Calculation of uncertainty in part (g) was relatively well done by many candidates. In part (h), calculation of rate of reaction occasionally saw the erroneous use of volume in \({\text{c}}{{\text{m}}^{\text{3}}}\). In part (i), the candidates just repeated the stem of the question but obtained credit for the second mark for stating less frequent collisions. Part (j) was quite open ended and elicited a number of interesting responses (instead of acting as catalyst) whereas the suggested tests would not in fact confirm the hypothesis suggested. In part (k), the effect of increasing temperature on the rate of reaction proved easy for majority of candidates.
This was a data based question based on quantitative chemistry and proved difficult for many candidates. Majority of candidates were able to gain almost full marks in parts (a) and (b). In part (c), many candidates failing to recognise that KI is rapidly reformed in the second stage of the reaction. In part (d), majority of candidates could not interpret the information correctly and hence lost two marks. Similarly, only 1 mark was obtained in part (e) where candidates recognized that iodine forms the starch-iodine complex. Many candidates managed the systematic and random errors in part (f). Calculation of uncertainty in part (g) was relatively well done by many candidates. In part (h), calculation of rate of reaction occasionally saw the erroneous use of volume in \({\text{c}}{{\text{m}}^{\text{3}}}\). In part (i), the candidates just repeated the stem of the question but obtained credit for the second mark for stating less frequent collisions. Part (j) was quite open ended and elicited a number of interesting responses (instead of acting as catalyst) whereas the suggested tests would not in fact confirm the hypothesis suggested. In part (k), the effect of increasing temperature on the rate of reaction proved easy for majority of candidates.
This was a data based question based on quantitative chemistry and proved difficult for many candidates. Majority of candidates were able to gain almost full marks in parts (a) and (b). In part (c), many candidates failing to recognise that KI is rapidly reformed in the second stage of the reaction. In part (d), majority of candidates could not interpret the information correctly and hence lost two marks. Similarly, only 1 mark was obtained in part (e) where candidates recognized that iodine forms the starch-iodine complex. Many candidates managed the systematic and random errors in part (f). Calculation of uncertainty in part (g) was relatively well done by many candidates. In part (h), calculation of rate of reaction occasionally saw the erroneous use of volume in \({\text{c}}{{\text{m}}^{\text{3}}}\). In part (i), the candidates just repeated the stem of the question but obtained credit for the second mark for stating less frequent collisions. Part (j) was quite open ended and elicited a number of interesting responses (instead of acting as catalyst) whereas the suggested tests would not in fact confirm the hypothesis suggested. In part (k), the effect of increasing temperature on the rate of reaction proved easy for majority of candidates.
This was a data based question based on quantitative chemistry and proved difficult for many candidates. Majority of candidates were able to gain almost full marks in parts (a) and (b). In part (c), many candidates failing to recognise that KI is rapidly reformed in the second stage of the reaction. In part (d), majority of candidates could not interpret the information correctly and hence lost two marks. Similarly, only 1 mark was obtained in part (e) where candidates recognized that iodine forms the starch-iodine complex. Many candidates managed the systematic and random errors in part (f). Calculation of uncertainty in part (g) was relatively well done by many candidates. In part (h), calculation of rate of reaction occasionally saw the erroneous use of volume in \({\text{c}}{{\text{m}}^{\text{3}}}\). In part (i), the candidates just repeated the stem of the question but obtained credit for the second mark for stating less frequent collisions. Part (j) was quite open ended and elicited a number of interesting responses (instead of acting as catalyst) whereas the suggested tests would not in fact confirm the hypothesis suggested. In part (k), the effect of increasing temperature on the rate of reaction proved easy for majority of candidates.
This was a data based question based on quantitative chemistry and proved difficult for many candidates. Majority of candidates were able to gain almost full marks in parts (a) and (b). In part (c), many candidates failing to recognise that KI is rapidly reformed in the second stage of the reaction. In part (d), majority of candidates could not interpret the information correctly and hence lost two marks. Similarly, only 1 mark was obtained in part (e) where candidates recognized that iodine forms the starch-iodine complex. Many candidates managed the systematic and random errors in part (f). Calculation of uncertainty in part (g) was relatively well done by many candidates. In part (h), calculation of rate of reaction occasionally saw the erroneous use of volume in \({\text{c}}{{\text{m}}^{\text{3}}}\). In part (i), the candidates just repeated the stem of the question but obtained credit for the second mark for stating less frequent collisions. Part (j) was quite open ended and elicited a number of interesting responses (instead of acting as catalyst) whereas the suggested tests would not in fact confirm the hypothesis suggested. In part (k), the effect of increasing temperature on the rate of reaction proved easy for majority of candidates.
This was a data based question based on quantitative chemistry and proved difficult for many candidates. Majority of candidates were able to gain almost full marks in parts (a) and (b). In part (c), many candidates failing to recognise that KI is rapidly reformed in the second stage of the reaction. In part (d), majority of candidates could not interpret the information correctly and hence lost two marks. Similarly, only 1 mark was obtained in part (e) where candidates recognized that iodine forms the starch-iodine complex. Many candidates managed the systematic and random errors in part (f). Calculation of uncertainty in part (g) was relatively well done by many candidates. In part (h), calculation of rate of reaction occasionally saw the erroneous use of volume in \({\text{c}}{{\text{m}}^{\text{3}}}\). In part (i), the candidates just repeated the stem of the question but obtained credit for the second mark for stating less frequent collisions. Part (j) was quite open ended and elicited a number of interesting responses (instead of acting as catalyst) whereas the suggested tests would not in fact confirm the hypothesis suggested. In part (k), the effect of increasing temperature on the rate of reaction proved easy for majority of candidates.
This was a data based question based on quantitative chemistry and proved difficult for many candidates. Majority of candidates were able to gain almost full marks in parts (a) and (b). In part (c), many candidates failing to recognise that KI is rapidly reformed in the second stage of the reaction. In part (d), majority of candidates could not interpret the information correctly and hence lost two marks. Similarly, only 1 mark was obtained in part (e) where candidates recognized that iodine forms the starch-iodine complex. Many candidates managed the systematic and random errors in part (f). Calculation of uncertainty in part (g) was relatively well done by many candidates. In part (h), calculation of rate of reaction occasionally saw the erroneous use of volume in \({\text{c}}{{\text{m}}^{\text{3}}}\). In part (i), the candidates just repeated the stem of the question but obtained credit for the second mark for stating less frequent collisions. Part (j) was quite open ended and elicited a number of interesting responses (instead of acting as catalyst) whereas the suggested tests would not in fact confirm the hypothesis suggested. In part (k), the effect of increasing temperature on the rate of reaction proved easy for majority of candidates.
This was a data based question based on quantitative chemistry and proved difficult for many candidates. Majority of candidates were able to gain almost full marks in parts (a) and (b). In part (c), many candidates failing to recognise that KI is rapidly reformed in the second stage of the reaction. In part (d), majority of candidates could not interpret the information correctly and hence lost two marks. Similarly, only 1 mark was obtained in part (e) where candidates recognized that iodine forms the starch-iodine complex. Many candidates managed the systematic and random errors in part (f). Calculation of uncertainty in part (g) was relatively well done by many candidates. In part (h), calculation of rate of reaction occasionally saw the erroneous use of volume in \({\text{c}}{{\text{m}}^{\text{3}}}\). In part (i), the candidates just repeated the stem of the question but obtained credit for the second mark for stating less frequent collisions. Part (j) was quite open ended and elicited a number of interesting responses (instead of acting as catalyst) whereas the suggested tests would not in fact confirm the hypothesis suggested. In part (k), the effect of increasing temperature on the rate of reaction proved easy for majority of candidates.
The open-chain structure of D-fructose is shown below.

State the names of two functional groups in D-fructose.
Deduce the empirical formula of D-fructose.
Calculate the percentage composition by mass of D-fructose.
State a balanced equation for the complete combustion of D-fructose.
Markscheme
hydroxyl and carbonyl;
Accept alcohol as an alternative to hydroxyl and/or ketone as an alternative to carbonyl.
Allow hydroxy, but not hydroxide as an alternative to hydroxyl.
\({\text{C}}{{\text{H}}_2}{\text{O}}\);
C: \(\left( {\frac{{12.01}}{{30.03}} \times 100 = } \right){\text{ }}39.99/40.0\% \)
H: \(\left( {\frac{{2.02}}{{30.03}} \times 100 = } \right){\text{ }}6.73/6.7\% \)
O: \(\left( {\frac{{16.00}}{{30.03}} \times 100 = } \right){\text{ }}53.28/53.3\% \);
Award [2] if all three are correct, and [1] if two are correct.
Accept if the third value is obtained by subtracting the other two percentages from 100%.
Do not penalize if integer values of relative atomic masses are used.
\({{\text{C}}_6}{{\text{H}}_{12}}{{\text{O}}_6} + {\text{6}}{{\text{O}}_2} \to {\text{6C}}{{\text{O}}_2} + {\text{6}}{{\text{H}}_2}{\text{O}}\)
correct formulas of reactants and products;
correct balancing;
M2 can only be scored if M1 correct.
Examiners report
The functional groups in fructose proved a challenge for only the weakest candidates, with mistaking the carbonyl group for “aldehyde” being the most common error. Please note that to prepare new candidates for the 2016 syllabus, the markscheme was later altered to include the correct naming of functional groups following IUPAC guidelines. Many students could also correctly convert the structural formula into an empirical formula in Part (b) and then went on to correctly determine the percentage by mass of each element in Part (c), though sometimes only with the help of ECF. Writing the correct combustion equation was difficult for only the weaker candidates.
The functional groups in fructose proved a challenge for only the weakest candidates, with mistaking the carbonyl group for “aldehyde” being the most common error. Please note that to prepare new candidates for the 2016 syllabus, the markscheme was later altered to include the correct naming of functional groups following IUPAC guidelines. Many students could also correctly convert the structural formula into an empirical formula in Part (b) and then went on to correctly determine the percentage by mass of each element in Part (c), though sometimes only with the help of ECF. Writing the correct combustion equation was difficult for only the weaker candidates.
The functional groups in fructose proved a challenge for only the weakest candidates, with mistaking the carbonyl group for “aldehyde” being the most common error. Please note that to prepare new candidates for the 2016 syllabus, the markscheme was later altered to include the correct naming of functional groups following IUPAC guidelines. Many students could also correctly convert the structural formula into an empirical formula in Part (b) and then went on to correctly determine the percentage by mass of each element in Part (c), though sometimes only with the help of ECF. Writing the correct combustion equation was difficult for only the weaker candidates.
The functional groups in fructose proved a challenge for only the weakest candidates, with mistaking the carbonyl group for “aldehyde” being the most common error. Please note that to prepare new candidates for the 2016 syllabus, the markscheme was later altered to include the correct naming of functional groups following IUPAC guidelines. Many students could also correctly convert the structural formula into an empirical formula in Part (b) and then went on to correctly determine the percentage by mass of each element in Part (c), though sometimes only with the help of ECF. Writing the correct combustion equation was difficult for only the weaker candidates.
A student added \(7.40 \times {10^{ - 2}}{\text{ g}}\) of magnesium ribbon to \({\text{15.0 c}}{{\text{m}}^{\text{3}}}\) of \({\text{2.00 mol}}\,{\text{d}}{{\text{m}}^{ - 3}}\) hydrochloric acid. The hydrogen gas produced was collected using a gas syringe at 20.0 °C and \(1.01 \times {10^5}{\text{ Pa}}\).
Calculate the theoretical yield of hydrogen gas:
State the equation for the reaction between magnesium and hydrochloric acid.
Determine the limiting reactant.
(i) in mol.
(ii) in \({\text{c}}{{\text{m}}^{\text{3}}}\), under the stated conditions of temperature and pressure.
The actual volume of hydrogen measured was lower than the calculated theoretical volume.
Suggest two reasons why the volume of hydrogen gas obtained was less.
Markscheme
\({\text{Mg(s)}} + {\text{2HCl(aq)}} \to {{\text{H}}_2}{\text{(g)}} + {\text{MgC}}{{\text{l}}_2}{\text{(aq)}}\);
\(n{\text{(Mg)}} = \left( {\frac{{0.0740}}{{24.31}}} \right) = 3.04 \times {10^{ - 3}}{\text{ (mol)}}\);
Accept range 3.04 \( \times \) 10–3 to 3.08 \( \times \) 10–3.
\(n{\text{(HCl)}} = (2.00 \times 15.0 \times {10^{ - 3}}) = 3.00 \times {10^{ - 2}}{\text{ (mol)}}\);
Mg;
(i) \(n{\text{(}}{{\text{H}}_{\text{2}}}{\text{)}} = n{\text{(Mg)}} = 3.04 \times {10^{ - 3}}{\text{ (mol)}}\);
Accept same value as in 2(b).
Answer must be in range 3.04 x 10–3 to 3.08 x 10–3 and must have 2, 3 or 4 significant figures.
(ii) \(V\left( { = \frac{{nRT}}{P}} \right) = \frac{{3.04 \times {{10}^{ - 3}} \times 8.31 \times 293 \times {{10}^6}}}{{1.01 \times {{10}^5}}}\);
\( = 73.4{\text{ (c}}{{\text{m}}^{\text{3}}}{\text{)}}\);
Accept answers in the range 72.3 to 74.3 (cm3).
gas leaks from apparatus / gas escapes;
the syringe stuck;
Mg impure;
Examiners report
Part (a) was scored correctly about 50% of the time but many assumed magnesium chloride to be MgCl.
Many candidates were able to answer (b) correctly with ECF (error carried forward) taken into account as necessary.
In (c)(i), many following through directly from (b) weren’t careful enough with the significant figures of the answer and were penalized here. Part (c)(ii) required a careful calculation; most did not make the correct correction to \({\text{c}}{{\text{m}}^{\text{3}}}\).
In (d), candidates needed to think whether the answer they gave made sense in the context of the experiment and their previous answers. It is important that candidates are exposed to a wide range of practical experiences.
Airbags are an important safety feature in vehicles. Sodium azide, potassium nitrate and silicon dioxide have been used in one design of airbag.

Sodium azide, a toxic compound, undergoes the following decomposition reaction under certain conditions.
\[{\text{2Na}}{{\text{N}}_{\text{3}}}{\text{(s)}} \to {\text{2Na(s)}} + {\text{3}}{{\text{N}}_{\text{2}}}{\text{(g)}}\]
Two students looked at data in a simulated computer-based experiment to determine the volume of nitrogen generated in an airbag.
Using the simulation programme, the students entered the following data into the computer.

The chemistry of the airbag was found to involve three reactions. The first reaction involves the decomposition of sodium azide to form sodium and nitrogen. In the second reaction, potassium nitrate reacts with sodium.
\[{\text{2KN}}{{\text{O}}_3}{\text{(s)}} + {\text{10Na(s)}} \to {{\text{K}}_2}{\text{O(s)}} + {\text{5N}}{{\text{a}}_2}{\text{O(s)}} + {{\text{N}}_2}{\text{(g)}}\]
An airbag inflates very quickly.
Sodium azide involves ionic bonding, and metallic bonding is present in sodium. Describe ionic and metallic bonding.
State the number of significant figures for the temperature, mass and pressure data.
T:
m:
p:
Calculate the amount, in mol, of sodium azide present.
Determine the volume of nitrogen gas, in \({\text{d}}{{\text{m}}^{\text{3}}}\), produced under these conditions based on this reaction.
Suggest why it is necessary for sodium to be removed by this reaction.
The metal oxides from the second reaction then react with silicon dioxide to form a silicate in the third reaction.
\[{{\text{K}}_2}{\text{O(s)}} + {\text{N}}{{\text{a}}_2}{\text{O(s)}} + {\text{Si}}{{\text{O}}_2}{\text{(s)}} \to {\text{N}}{{\text{a}}_2}{{\text{K}}_2}{\text{Si}}{{\text{O}}_4}{\text{(s)}}\]
Draw the structure of silicon dioxide and state the type of bonding present.
Structure:
Bonding:
It takes just 0.0400 seconds to produce nitrogen gas in the simulation. Calculate the average rate of formation of nitrogen in (b) (iii) and state its units.
The students also discovered that a small increase in temperature (e.g. 10 °C) causes a large increase (e.g. doubling) in the rate of this reaction. State one reason for this.
Markscheme
Ionic:
(electrostatic) attraction between oppositely charged ions/cations and anions/positive and negative ions;
Do not accept answers such as compounds containing metal and non-metal are ionic.
Metallic:
(electrostatic attraction between lattice of) positive ions/cations/nuclei and delocalized electrons / (bed of) positive ions/cations/nuclei in sea of electrons / OWTTE;
T: 4 and m: 3 and p: 3;
\(n = (65.0/65.02) = 1.00{\text{ (mol)}}\);
No penalty for using whole number atomic masses.
\(n{\text{(}}{{\text{N}}_{\text{2}}}{\text{)}} = \left( {\frac{3}{2} \times 1.00 = } \right){\text{ }}1.50{\text{ (mol)}}\);
\(T = \left( {(25.00 + 273.15) = } \right){\text{ }}298.15{\text{ K}}/(25.00 + 273) = 298{\text{ K}}\);
\(p = 1.08 \times 1.01 \times {10^5}{\text{ Pa}}/1.08 \times 1.01 \times {10^2}{\text{ kPa}}/1.09 \times {10^5}{\text{ Pa}}/1.09 \times {10^2}{\text{ kPa}}\);
\(V = \frac{{nRT}}{p} = \frac{{({{10}^3})(1.50)(8.31)(298.15/298)}}{{(1.08 \times 1.01 \times {{10}^5})}} = 34.1{\text{ (d}}{{\text{m}}^{\text{3}}}{\text{)}}\);
Award [4] for correct final answer.
Award [3 max] for 0.0341 (dm3) or 22.7 (dm3).
Award [3 max] for 34.4 (dm3).
Award [2 max] for 22.9 (dm3).
Award [2 max] for 0.0227 (dm3).
Award [2 max] for 0.034 (dm3).
sodium could react violently with any moisture present / sodium is (potentially) explosive / sodium (is dangerous since it is flammable when it) forms hydrogen on contact with water / OWTTE;
Do not accept answers such as sodium is dangerous or sodium is too reactive.
Structure:
drawing of giant structure showing tetrahedrally arranged silicon;
Minimum information required for mark is Si and 4 O atoms, in a tetrahedral arrangement (not 90° bond angles) but with each of the 4 O atoms showing an extension bond.

Bonding:
(giant/network/3D) covalent;
\(\left( {\frac{{34.1}}{{0.0400}}} \right) = 853{\text{ d}}{{\text{m}}^{\text{3}}}{{\text{s}}^{ - 1}}/\left( {\frac{{1.50}}{{0.0400}}} \right) = 37.5{\text{ mol}}\,{{\text{s}}^{ - 1}}\);
Accept 851 dm3s–1.
Units required for mark.
more energetic collisions / more species have energy \( \geqslant {E_{\text{a}}}\);
Allow more frequent collisions / species collide more often.
Examiners report
Question 1 tested a number of concepts and very few students were able to gain all the marks available. Part (a) was fairly well done and students could explain ionic and metallic bonding although weak students did not explain the bonding but simply stated that ionic was between metal and non metal etc.
Surprisingly in part (b) (i) a number of students could not state the number of significant figures and many stated that 25.00 was 2 SF instead of 4.
Part (b) (ii) required the calculation of the amount of substance in moles, and was generally well done although some did not realise the value was in kg and so had a value 1000 times too small.
In part (b) (iii) a number of students lost marks for forgetting to convert temperature or pressure and also to multiply the amount by 1.5. Also many forgot to convert the pressure into kPa if they wanted their answer in \({\text{d}}{{\text{m}}^{\text{3}}}\). However, most students could obtain at least one of the marks available.
In part (c) (i) many did not relate the removal of sodium to the potential for it to react with water and instead gave a far too vague of answer that it was reactive. However, the very best students were able to answer this hypothesis type question and stated that sodium reacts with water. This proved a good discriminator at the top end of the candidature.
Part (c)(ii) was very poorly answered and the majority of students believed that \({\text{Si}}{{\text{O}}_{\text{2}}}\) had a similar structure to \({\text{C}}{{\text{O}}_{\text{2}}}\). The very few students that drew a giant structure often did not then show a tetrahedral arrangement of the atoms, however most did realise that the bonding was covalent.
Part (d) was generally well answered and most students calculated a rate from their results although some lost the mark for incorrect or absent units.
Most students could then successfully explain why the rate increased with temperature. However a minority forgot to refer to time (i.e. more frequent) in relation to collisions.
The percentage by mass of calcium carbonate in eggshell was determined by adding excess hydrochloric acid to ensure that all the calcium carbonate had reacted. The excess acid left was then titrated with aqueous sodium hydroxide.
(a) A student added \({\text{27.20 c}}{{\text{m}}^{\text{3}}}\) of \({\text{0.200 mol}}\,{\text{d}}{{\text{m}}^{ - 3}}\) HCl to 0.188 g of eggshell. Calculate the amount, in mol, of HCl added.
(b) The excess acid requires \({\text{23.80 c}}{{\text{m}}^{\text{3}}}\) of \({\text{0.100 mol}}\,{\text{d}}{{\text{m}}^{ - 3}}\) NaOH for neutralization. Calculate the amount, in mol, of acid that is in excess.
(c) Determine the amount, in mol, of HCl that reacted with the calcium carbonate in the eggshell.
(d) State the equation for the reaction of HCl with the calcium carbonate in the eggshell.
(e) Determine the amount, in mol, of calcium carbonate in the sample of the eggshell.
(f) Calculate the mass and the percentage by mass of calcium carbonate in the eggshell sample.
(g) Deduce one assumption made in arriving at the percentage of calcium carbonate in the eggshell sample.
Markscheme
(a) \(n{\text{(HCl) (}} = 0.200{\text{ mol}}\,{\text{d}}{{\text{m}}^{ - 3}} \times {\text{0.02720 d}}{{\text{m}}^{\text{3}}}{\text{)}} = 0.00544/5.44 \times {10^{ - 3}}{\text{ (mol)}}\);
(b) \(n{\text{(HCl) excess (}} = 0.100{\text{ mol}}\,{\text{d}}{{\text{m}}^{ - 3}} \times 0.02380{\text{ d}}{{\text{m}}^{\text{3}}}{\text{)}} = 0.00238/2.38 \times {10^{ - 3}}{\text{ (mol)}}\);
Penalize not dividing by 1000 once only in (a) and (b).
(c) \(n{\text{(HCl) reacted }}( = 0.00544 - 0.00238) = 0.00306/3.06 \times {10^{ - 3}}{\text{ (mol)}}\);
(d) \({\text{2HCl(aq)}} + {\text{CaC}}{{\text{O}}_3}{\text{(s)}} \to {\text{CaC}}{{\text{l}}_2}{\text{(aq)}} + {{\text{H}}_2}{\text{O(l)}} + {\text{C}}{{\text{O}}_2}{\text{(g)}}/\)
\({\text{2}}{{\text{H}}^ + }{\text{(aq)}} + {\text{CaC}}{{\text{O}}_3}{\text{(s)}} \to {\text{C}}{{\text{a}}^{2 + }}{\text{(aq)}} + {{\text{H}}_2}{\text{O(l)}} + {\text{C}}{{\text{O}}_2}{\text{(g)}}\);
Award [1] for correct reactants and products.
Award [1] if this equation correctly balanced.
Award [1 max] for the following equations:
2HCl(aq) + CaCO3(s) \( \to \) CaCl2(aq) + H2CO3(aq)
2H+(aq) + CaCO3(s) \( \to \) Ca2+(aq) + H2CO3(aq)
Ignore state symbols.
(e) \({n{\text{(CaC}}{{\text{O}}_3}{\text{)}} = \left( {\frac{1}{2}n{\text{(HCl)}}} \right) = \frac{1}{2} \times 0.00306}\);
\({ = 0.00153/1.53 \times {{10}^{ - 3}}{\text{ (mol)}}}\);
Award [2] for correct final answer.
(f) \({M_{\text{r}}}{\text{(CaC}}{{\text{O}}_3}{\text{) (}} = 40.08 + 12.01 + 3 \times 16.00) = 100.09/100.1/M = 100.09/100.1{\text{ (g}}\,{\text{mo}}{{\text{l}}^{ - 1}}{\text{)}}\);
Accept 100.
\(m{\text{(CaC}}{{\text{O}}_3}{\text{) }}( = nM) = 0.00153{\text{ (mol)}} \times 100.09{\text{ (g}}\,{\text{mo}}{{\text{l}}^{ - 1}}{\text{)}} = 0.153{\text{ (g)}}\);
\({\text{\% CaC}}{{\text{O}}_3}{\text{ }}\left( { = \frac{{0.153}}{{0.188}} \times 100} \right) = 81.4\% /81.5\% \);
Accept answers in the range 79.8 to 81.5%.
Award [3] for correct final answer.
(g) only \({\text{CaC}}{{\text{O}}_3}\) reacts with acid / impurities are inert/non-basic / impurities do not react with the acid / nothing else in the eggshell reacts with acid / no other carbonates;
Do not accept “all calcium carbonate reacts with acid”.
Examiners report
Responses to this question were mixed. Many candidates were able to calculate the amount of HCl given its volume and concentration; however some failed to convert the volume from \({\text{c}}{{\text{m}}^{\text{3}}}\) to \({\text{d}}{{\text{m}}^{\text{3}}}\). Some calculated the amount of acid which had reacted rather than the excess asked for. A significant number of candidates gave carbonic acid as a product of the reaction and some were not able to write the formula of calcium carbonate. Although candidates correctly determined the amount and percentage of \({\text{CaC}}{{\text{O}}_{\text{3}}}\) in the egg sample; many struggled with the assumption made. Only a small number realising that one had to assume that only the \({\text{CaC}}{{\text{O}}_{\text{3}}}\) reacted with the acid, nothing else in the sample would react. Some of the incorrect answers were: “it contained no contaminants”, “it is 100% calcium carbonate” or “the eggshell was pure”. There were a significant number of candidates however who received 0 marks for the whole question. Clearly, as was pointed out in the most recent November 2009 subject report, it appears that many schools are not covering core laboratory areas such as volumetric chemistry.
Menthol is an organic compound containing carbon, hydrogen and oxygen.
Complete combustion of 0.1595 g of menthol produces 0.4490 g of carbon dioxide and 0.1840 g of water. Determine the empirical formula of the compound showing your working.
0.150 g sample of menthol, when vaporized, had a volume of 0.0337 dm3 at 150 °C and 100.2 kPa. Calculate its molar mass showing your working.
Markscheme
carbon: «\(\frac{{0.4490\,{\text{g}}}}{{44.01\,{\text{g}}\,{\text{mo}}{{\text{l}}^{ - 1}}}}\)» = 0.01020 «mol» / 0.1225 «g»
OR
hydrogen: «\(\frac{{0.1840 \times 2}}{{18.02}}\)» = 0.02042 «mol» / 0.0206 «g»
oxygen: «0.1595 – (0.1225 + 0.0206)» = 0.0164 «g» / 0.001025 «mol»
empirical formula: C10H20O
Award [3] for correct final answer.
temperature = 423 K
OR
«M \( = \frac{{mRT}}{{pV}}\)
«M \( = \frac{{0.150\,{\text{g}} \times 8.31\,{\text{J}} {{\text{ K}}^{ - 1}}\,{\text{mol}}{}^{ - 1} \times 423\,{\text{K}}}}{{100.2\,{\text{kPa}} \times 0.0337\,{\text{d}}{{\text{m}}^3}}} = \)» 156 «g mol–1»
Award [1] for correct answer with no working shown.
Accept “pV = nRT AND n = \(\frac{m}{M}\)” for M1.
Examiners report
\({\text{25.0 c}}{{\text{m}}^{\text{3}}}\) of \({\text{0.200 mol}}\,{\text{d}}{{\text{m}}^{ - 3}}\) ethanoic acid were added to \({\text{30.0 c}}{{\text{m}}^{\text{3}}}\) of a \({\text{0.150 mol}}\,{\text{d}}{{\text{m}}^{ - 3}}\) sodium hydrogencarbonate solution, \({\text{NaHC}}{{\text{O}}_{\text{3}}}{\text{(aq)}}\).
The molar mass of a volatile organic liquid, X, can be determined experimentally by allowing it to vaporize completely at a controlled temperature and pressure. 0.348 g of X was injected into a gas syringe maintained at a temperature of 90 °C and a pressure of \(1.01 \times {10^5}{\text{ Pa}}\). Once it had reached equilibrium, the gas volume was measured as \({\text{95.0 c}}{{\text{m}}^{\text{3}}}\).
Bromoethane, \({\text{C}}{{\text{H}}_{\text{3}}}{\text{C}}{{\text{H}}_{\text{2}}}{\text{Br}}\), undergoes a substitution reaction to form ethanol, \({\text{C}}{{\text{H}}_{\text{3}}}{\text{C}}{{\text{H}}_{\text{2}}}{\text{OH}}\).
Outline how electrical conductivity can be used to distinguish between a \({\text{0.200 mol}}\,{\text{d}}{{\text{m}}^{ - 3}}\) solution of ethanoic acid, \({\text{C}}{{\text{H}}_{\text{3}}}{\text{COOH}}\), and a \({\text{0.200 mol}}\,{\text{d}}{{\text{m}}^{ - 3}}\) solution of hydrochloric acid, HCl.
(i) State an equation for the reaction of ethanoic acid with a solution of sodium hydrogencarbonate.
(ii) Determine which is the limiting reagent. Show your working.
(iii) Calculate the mass, in g, of carbon dioxide produced.
(i) Determine the amount, in mol, of X in the gas syringe.
(ii) Calculate the molar mass of X.
(i) Identify the reagent necessary for this reaction to occur.
(ii) Deduce the mechanism for the reaction using equations and curly arrows to represent the movement of electron pairs.
Determine the enthalpy change, in kJ mol\(^{ - 1}\), for this reaction, using Table 10 of the Data Booklet.
Bromoethene, \({\text{C}}{{\text{H}}_{\text{2}}}{\text{CHBr}}\), can undergo polymerization. Draw a section of this polymer that contains six carbon atoms.
Markscheme
HCl is a strong acid and \({\text{C}}{{\text{H}}_3}{\text{COOH}}\) is a weak acid so HCl has higher conductivity / HCl dissociates completely in water and \({\text{C}}{{\text{H}}_3}{\text{COOH}}\) does not, so HCl has higher conductivity / HCl is stronger acid (than \({\text{C}}{{\text{H}}_{\text{3}}}{\text{COOH}}\)) so has higher \({\text{[}}{{\text{H}}^ + }{\text{]}}\) and higher conductivity;
(i) \({\text{C}}{{\text{H}}_3}{\text{COOH(aq)}} + {\text{HCO}}_3^ - {\text{(aq)}} \to {\text{C}}{{\text{H}}_3}{\text{CO}}{{\text{O}}^ - }{\text{(aq)}} + {{\text{H}}_2}{\text{O(l)}} + {\text{C}}{{\text{O}}_2}{\text{(g)}}\);
Accept NaHCO3(aq) and CH3COONa (aq) instead of ions.
Ignore state symbols.
(ii) \(n{\text{(C}}{{\text{H}}_3}{\text{COOH)}} = 0.00500{\text{ (mol)}}\) and \(n{\text{(NaHC}}{{\text{O}}_3}{\text{)}} = 0.00450{\text{ (mol)}}\);
\({\text{NaHC}}{{\text{O}}_3}\) is limiting;
(iii) \(n{\text{(C}}{{\text{O}}_2}{\text{)}} = n{\text{(NaHC}}{{\text{O}}_3}{\text{)}} = 0.00450{\text{ (mol)}}\);
\(m{\text{(C}}{{\text{O}}_2}{\text{)}} = 0.00450 \times 44.01 = 0.198{\text{ (g)}}\);
Award [2] for correct final answer.
(i) \(T = 363{\text{ K}}\) and \(V = 9.50 \times {10^{ - 5}}{\text{ }}{{\text{m}}^3}\);
Accept V = 9.5 \( \times \) 10–2 dm3 if P is used as 101 kPa in calculation.
\(n = \frac{{PV}}{{RT}} = \frac{{1.01 \times {{10}^5} \times 9.50 \times {{10}^{ - 5}}}}{{8.31 \times 363}}\);
\( = 3.18 \times {10^{ - 3}}{\text{ (mol)}}\);
Award [3] for correct final answer.
(ii) \(M = \left( {\frac{m}{n} = \frac{{0.348}}{{3.18 \times {{10}^{ - 3}}}} = } \right)109{\text{ }}({\text{g}}\,{\text{mo}}{{\text{l}}^{ - 1}})\);
(i) (dilute aqueous) NaOH/sodium hydroxide / KOH/potassium hydroxide;
Do not accept hydroxide/OH–.
(ii) 
curly arrow going from lone pair/negative charge on O in HO– to C;
Do not allow curly arrow originating on H in HO–.
curly arrow showing Br leaving;
Accept curly arrow either going from bond between C and Br to Br in bromoethane or in the transition state.
representation of transition state showing negative charge, square brackets and partial bonds;
Do not penalize if HO and Br are not at 180° to each other.
Do not award M3 if OH—C bond is represented.
bonds broken:
1(C=C) \( + 1\) (H–Br) / \((612 + 366 = )978{\text{ (kJ)}}\);
Accept 2630 (kJ).
bonds formed:
1(C–C) \( + 1\) (C–H) \( + 1\) (C–Br) / \((1 \times 347 + 1 \times 413 + 1 \times 290 = )1050{\text{ (kJ)}}\);
Accept 2702 (kJ).
\(\Delta H = - 72{\text{ }}({\text{kJ}}\,{\text{mo}}{{\text{l}}^{ - 1}})\);
Award [3] for correct final answer.
Award [2 max] for +72 (kJ mol−1).
;
Extension bonds required.
Ignore brackets and n.
Examiners report
Question 7 was answered by relatively few candidates, and those who chose this question were usually not well-prepared. In (a) very few candidates indicated that HCl is a strong acid and \({\text{C}}{{\text{H}}_{\text{3}}}{\text{COOH}}\) a weak one. Many candidates seemed unfamiliar with the distinction between state and outline and simply said that HCl would be a better conductor. In (b)(i) very few candidates could state a correct equation for the reaction between ethanoic acid and sodium hydrogencarbonate, even when the formulas were provided, but most could calculate the limiting reagent in (b)(ii) and the mass of \({\text{C}}{{\text{O}}_{\text{2}}}\) produced in (b)(iii). Part (c) gave details of a volatile organic liquid. Most candidates could calculate the moles of gas present in (c)(i), although the conversion to the correct units for pressure and volume gave many problems. The calculation of the molar mass of the gas, especially with ECF applied, was generally done well by the candidates. Part (d) referred to the substitution reaction of bromoethane to form ethanol. Identifying the reagent in (d)(i) for this reaction caused problems, with many stating \({\text{O}}{{\text{H}}^ - }\) as the reagent instead of NaOH or KOH. Only the best candidates could draw the mechanism for this substitution reaction in (d)(ii). Many candidates seemed to have very little idea of how to represent an \({{\text{S}}_{\text{N}}}{\text{2}}\) mechanism. Although most candidates identified HBr as the reagent which could produce bromoethane from ethene, they often gave UV as the required condition in (e)(i). Teachers should note that assessment statement 10.6.1 indicates that reagents, conditions and equations should be included for all reaction types listed in the syllabus. Calculation of the enthalpy change using bond enthalpies did not give problems to the good candidates in (e)(ii) but many of the weaker candidates failed to identify all the bonds broken and formed, and only scored the final mark through the application of ECF. Drawing a section of a polymer produced from bromoethene in (e)(iii) presented few problems for most candidates.
Question 7 was answered by relatively few candidates, and those who chose this question were usually not well-prepared. In (a) very few candidates indicated that HCl is a strong acid and \({\text{C}}{{\text{H}}_{\text{3}}}{\text{COOH}}\) a weak one. Many candidates seemed unfamiliar with the distinction between state and outline and simply said that HCl would be a better conductor. In (b)(i) very few candidates could state a correct equation for the reaction between ethanoic acid and sodium hydrogencarbonate, even when the formulas were provided, but most could calculate the limiting reagent in (b)(ii) and the mass of \({\text{C}}{{\text{O}}_{\text{2}}}\) produced in (b)(iii). Part (c) gave details of a volatile organic liquid. Most candidates could calculate the moles of gas present in (c)(i), although the conversion to the correct units for pressure and volume gave many problems. The calculation of the molar mass of the gas, especially with ECF applied, was generally done well by the candidates. Part (d) referred to the substitution reaction of bromoethane to form ethanol. Identifying the reagent in (d)(i) for this reaction caused problems, with many stating \({\text{O}}{{\text{H}}^ - }\) as the reagent instead of NaOH or KOH. Only the best candidates could draw the mechanism for this substitution reaction in (d)(ii). Many candidates seemed to have very little idea of how to represent an \({{\text{S}}_{\text{N}}}{\text{2}}\) mechanism. Although most candidates identified HBr as the reagent which could produce bromoethane from ethene, they often gave UV as the required condition in (e)(i). Teachers should note that assessment statement 10.6.1 indicates that reagents, conditions and equations should be included for all reaction types listed in the syllabus. Calculation of the enthalpy change using bond enthalpies did not give problems to the good candidates in (e)(ii) but many of the weaker candidates failed to identify all the bonds broken and formed, and only scored the final mark through the application of ECF. Drawing a section of a polymer produced from bromoethene in (e)(iii) presented few problems for most candidates.
Question 7 was answered by relatively few candidates, and those who chose this question were usually not well-prepared. In (a) very few candidates indicated that HCl is a strong acid and \({\text{C}}{{\text{H}}_{\text{3}}}{\text{COOH}}\) a weak one. Many candidates seemed unfamiliar with the distinction between state and outline and simply said that HCl would be a better conductor. In (b)(i) very few candidates could state a correct equation for the reaction between ethanoic acid and sodium hydrogencarbonate, even when the formulas were provided, but most could calculate the limiting reagent in (b)(ii) and the mass of \({\text{C}}{{\text{O}}_{\text{2}}}\) produced in (b)(iii). Part (c) gave details of a volatile organic liquid. Most candidates could calculate the moles of gas present in (c)(i), although the conversion to the correct units for pressure and volume gave many problems. The calculation of the molar mass of the gas, especially with ECF applied, was generally done well by the candidates. Part (d) referred to the substitution reaction of bromoethane to form ethanol. Identifying the reagent in (d)(i) for this reaction caused problems, with many stating \({\text{O}}{{\text{H}}^ - }\) as the reagent instead of NaOH or KOH. Only the best candidates could draw the mechanism for this substitution reaction in (d)(ii). Many candidates seemed to have very little idea of how to represent an \({{\text{S}}_{\text{N}}}{\text{2}}\) mechanism. Although most candidates identified HBr as the reagent which could produce bromoethane from ethene, they often gave UV as the required condition in (e)(i). Teachers should note that assessment statement 10.6.1 indicates that reagents, conditions and equations should be included for all reaction types listed in the syllabus. Calculation of the enthalpy change using bond enthalpies did not give problems to the good candidates in (e)(ii) but many of the weaker candidates failed to identify all the bonds broken and formed, and only scored the final mark through the application of ECF. Drawing a section of a polymer produced from bromoethene in (e)(iii) presented few problems for most candidates.
Question 7 was answered by relatively few candidates, and those who chose this question were usually not well-prepared. In (a) very few candidates indicated that HCl is a strong acid and \({\text{C}}{{\text{H}}_{\text{3}}}{\text{COOH}}\) a weak one. Many candidates seemed unfamiliar with the distinction between state and outline and simply said that HCl would be a better conductor. In (b)(i) very few candidates could state a correct equation for the reaction between ethanoic acid and sodium hydrogencarbonate, even when the formulas were provided, but most could calculate the limiting reagent in (b)(ii) and the mass of \({\text{C}}{{\text{O}}_{\text{2}}}\) produced in (b)(iii). Part (c) gave details of a volatile organic liquid. Most candidates could calculate the moles of gas present in (c)(i), although the conversion to the correct units for pressure and volume gave many problems. The calculation of the molar mass of the gas, especially with ECF applied, was generally done well by the candidates. Part (d) referred to the substitution reaction of bromoethane to form ethanol. Identifying the reagent in (d)(i) for this reaction caused problems, with many stating \({\text{O}}{{\text{H}}^ - }\) as the reagent instead of NaOH or KOH. Only the best candidates could draw the mechanism for this substitution reaction in (d)(ii). Many candidates seemed to have very little idea of how to represent an \({{\text{S}}_{\text{N}}}{\text{2}}\) mechanism. Although most candidates identified HBr as the reagent which could produce bromoethane from ethene, they often gave UV as the required condition in (e)(i). Teachers should note that assessment statement 10.6.1 indicates that reagents, conditions and equations should be included for all reaction types listed in the syllabus. Calculation of the enthalpy change using bond enthalpies did not give problems to the good candidates in (e)(ii) but many of the weaker candidates failed to identify all the bonds broken and formed, and only scored the final mark through the application of ECF. Drawing a section of a polymer produced from bromoethene in (e)(iii) presented few problems for most candidates.
Question 7 was answered by relatively few candidates, and those who chose this question were usually not well-prepared. In (a) very few candidates indicated that HCl is a strong acid and \({\text{C}}{{\text{H}}_{\text{3}}}{\text{COOH}}\) a weak one. Many candidates seemed unfamiliar with the distinction between state and outline and simply said that HCl would be a better conductor. In (b)(i) very few candidates could state a correct equation for the reaction between ethanoic acid and sodium hydrogencarbonate, even when the formulas were provided, but most could calculate the limiting reagent in (b)(ii) and the mass of \({\text{C}}{{\text{O}}_{\text{2}}}\) produced in (b)(iii). Part (c) gave details of a volatile organic liquid. Most candidates could calculate the moles of gas present in (c)(i), although the conversion to the correct units for pressure and volume gave many problems. The calculation of the molar mass of the gas, especially with ECF applied, was generally done well by the candidates. Part (d) referred to the substitution reaction of bromoethane to form ethanol. Identifying the reagent in (d)(i) for this reaction caused problems, with many stating \({\text{O}}{{\text{H}}^ - }\) as the reagent instead of NaOH or KOH. Only the best candidates could draw the mechanism for this substitution reaction in (d)(ii). Many candidates seemed to have very little idea of how to represent an \({{\text{S}}_{\text{N}}}{\text{2}}\) mechanism. Although most candidates identified HBr as the reagent which could produce bromoethane from ethene, they often gave UV as the required condition in (e)(i). Teachers should note that assessment statement 10.6.1 indicates that reagents, conditions and equations should be included for all reaction types listed in the syllabus. Calculation of the enthalpy change using bond enthalpies did not give problems to the good candidates in (e)(ii) but many of the weaker candidates failed to identify all the bonds broken and formed, and only scored the final mark through the application of ECF. Drawing a section of a polymer produced from bromoethene in (e)(iii) presented few problems for most candidates.
Question 7 was answered by relatively few candidates, and those who chose this question were usually not well-prepared. In (a) very few candidates indicated that HCl is a strong acid and \({\text{C}}{{\text{H}}_{\text{3}}}{\text{COOH}}\) a weak one. Many candidates seemed unfamiliar with the distinction between state and outline and simply said that HCl would be a better conductor. In (b)(i) very few candidates could state a correct equation for the reaction between ethanoic acid and sodium hydrogencarbonate, even when the formulas were provided, but most could calculate the limiting reagent in (b)(ii) and the mass of \({\text{C}}{{\text{O}}_{\text{2}}}\) produced in (b)(iii). Part (c) gave details of a volatile organic liquid. Most candidates could calculate the moles of gas present in (c)(i), although the conversion to the correct units for pressure and volume gave many problems. The calculation of the molar mass of the gas, especially with ECF applied, was generally done well by the candidates. Part (d) referred to the substitution reaction of bromoethane to form ethanol. Identifying the reagent in (d)(i) for this reaction caused problems, with many stating \({\text{O}}{{\text{H}}^ - }\) as the reagent instead of NaOH or KOH. Only the best candidates could draw the mechanism for this substitution reaction in (d)(ii). Many candidates seemed to have very little idea of how to represent an \({{\text{S}}_{\text{N}}}{\text{2}}\) mechanism. Although most candidates identified HBr as the reagent which could produce bromoethane from ethene, they often gave UV as the required condition in (e)(i). Teachers should note that assessment statement 10.6.1 indicates that reagents, conditions and equations should be included for all reaction types listed in the syllabus. Calculation of the enthalpy change using bond enthalpies did not give problems to the good candidates in (e)(ii) but many of the weaker candidates failed to identify all the bonds broken and formed, and only scored the final mark through the application of ECF. Drawing a section of a polymer produced from bromoethene in (e)(iii) presented few problems for most candidates.
A sample of magnesium contains three isotopes: magnesium-24, magnesium-25 and magnesium-26, with abundances of 77.44%, 10.00% and 12.56% respectively.
Phosphorus(V) oxide, \({{\text{P}}_{\text{4}}}{{\text{O}}_{{\text{10}}}}{\text{ }}({M_{\text{r}}} = 283.88)\), reacts vigorously with water \(({M_{\text{r}}} = 18.02)\), according to the equation below.
\[{{\text{P}}_{\text{4}}}{{\text{O}}_{{\text{10}}}}{\text{(s)}} + {\text{6}}{{\text{H}}_{\text{2}}}{\text{O(l)}} \to {\text{4}}{{\text{H}}_{\text{3}}}{\text{P}}{{\text{O}}_{\text{4}}}{\text{(aq)}}\]
Calculate the relative atomic mass of this sample of magnesium correct to two decimal places.
Predict the relative atomic radii of the three magnesium isotopes, giving your reasons.
Describe the bonding in magnesium.
State an equation for the reaction of magnesium oxide with water.
A student added 5.00 g of \({{\text{P}}_{\text{4}}}{{\text{O}}_{{\text{10}}}}\) to 1.50 g of water. Determine the limiting reactant, showing your working.
Calculate the mass of phosphoric(V) acid, \({{\text{H}}_{\text{3}}}{\text{P}}{{\text{O}}_{\text{4}}}\), formed in the reaction.
State a balanced equation for the reaction of aqueous \({{\text{H}}_{\text{3}}}{\text{P}}{{\text{O}}_{\text{4}}}\) with excess aqueous sodium hydroxide, including state symbols.
State the formula of the conjugate base of \({{\text{H}}_{\text{3}}}{\text{P}}{{\text{O}}_{\text{4}}}\).
(i) Deduce the Lewis structure of \({\text{PH}}_4^ + \).
(ii) Predict, giving a reason, the bond angle around the phosphorus atom in \({\text{PH}}_4^ + \).
(iii) Predict whether or not the P–H bond is polar, giving a reason for your choice.
Markscheme
\(\left( {\frac{{(77.44 \times 24) + (10.00 \times 25) + (12.56{\text{ }}26)}}{{100}}} \right)\);
24.35;
Award [2] for correct final answer.
Two decimal places are required for M2.
Do not award any marks for 24.31 without showing method (as the value can be copied from the Data Booklet).
same atomic radii / 160 pm;
isotopes only differ by number of neutrons/size of nucleus / radius
determined by electron shells and number of protons / OWTTE;
Accept neutrons do not affect distance of electrons / OWTTE.
(lattice of) positive ions/cations and mobile/free/delocalized electrons;
Accept “sea of electrons” instead of “delocalized electrons”.
Award M1 for a suitable diagram.
electrostatic attraction (between ions and delocalized electrons);
\({\text{MgO}} + {{\text{H}}_{\text{2}}}{\text{O}} \to {\text{Mg(OH}}{{\text{)}}_{\text{2}}}/{\text{M}}{{\text{g}}^{2 + }} + {\text{2O}}{{\text{H}}^ - }\);
Accept reversible arrow.
\({{\text{P}}_4}{{\text{O}}_{10}}{\text{: }}\left( {\frac{{{\text{5.00}}}}{{{\text{283.88}}}} = } \right){\text{ 0.0176 (mol)}}\) and \({{\text{H}}_2}{\text{O: }}\left( {\frac{{{\text{1.50}}}}{{{\text{18.02}}}} = } \right){\text{ 0.0832 (mol)}}\);
\({{\text{H}}_2}{\text{O}}\) is the limiting reactant and reason related to stoichiometry;
\(\frac{{0.0832 \times 4}}{6}/0.0555{\text{ (mol)}}\);
\((0.0555 \times 98.00 = ){\text{ }}5.44{\text{ g}}\);
The unit is needed for M2.
Award [2] for correct final answer.
Do not penalize slight numerical variations due to premature rounding.
\({{\text{H}}_3}{\text{P}}{{\text{O}}_4}{\text{(aq)}} + {\text{3NaOH(aq)}} \to {\text{N}}{{\text{a}}_3}{\text{P}}{{\text{O}}_4}{\text{(aq)}} + {\text{3}}{{\text{H}}_2}{\text{O(l)}}\)
correct products and balancing;
correct state symbols;
Accept valid ionic equations.
\({{\text{H}}_2}{\text{PO}}_4^ - \);
(i)
;
Accept dots, crosses or lines for pairs of electrons.
No need to distinguish the dative covalent bond from the other bonds.
Charge is required for the mark.
Do not penalize missing square brackets.
(ii) \(109^\circ 27'/109.5^\circ /109^\circ \);
4 electron domains/pairs/(negative) charge centres (around central atom/P);
Accept ion is tetrahedral / electron pairs/domains repel each other.
(iii) non-polar and P and H have the same electronegativity / OWTTE;
Accept slightly polar as precise electronegativities of P and H are not identical / OWTTE.
Examiners report
In Part (a) most candidates gained full marks, with the most common error being a failure to quote the answer to the precision specified, but the explanations of deflection, and more particularly detection, in the mass spectrometer were weak. The prediction of relative atomic radii of the isotopes, something that required the application of reason rather than recall, also proved much more challenging. Part (b) revealed that many candidates have a very weak understanding of the metallic bond with many thinking the bonding was ionic.
Even when they knew about a cation lattice and delocalized electrons, a mark was frequently dropped by failing to specify that the attraction between them was electrostatic. Most candidates wrote the correct equation in Part (c), but it is still disturbing that some students at this level cannot write even the most straightforward chemical equation. In Part (d) many students proved capable of carrying out routine stoichiometric calculations to identify the limiting reactant and use the result to find the mass of the product.
Even if the final result was incorrect quite frequently students gained some credit through the application of ECF. Only the better candidates could write an equation for the neutralisation of phosphoric(V) acid and even the routine derivation of a conjugate base from the formula of the acid proved difficult for many. In Part (e) most students could manage the correct Lewis structure, though some lost the mark through omitting the charge. Many candidates also scored well on the shape of the ion and the polarity of the P-H bond.
In Part (a) most candidates gained full marks, with the most common error being a failure to quote the answer to the precision specified, but the explanations of deflection, and more particularly detection, in the mass spectrometer were weak. The prediction of relative atomic radii of the isotopes, something that required the application of reason rather than recall, also proved much more challenging. Part (b) revealed that many candidates have a very weak understanding of the metallic bond with many thinking the bonding was ionic.
Even when they knew about a cation lattice and delocalized electrons, a mark was frequently dropped by failing to specify that the attraction between them was electrostatic. Most candidates wrote the correct equation in Part (c), but it is still disturbing that some students at this level cannot write even the most straightforward chemical equation. In Part (d) many students proved capable of carrying out routine stoichiometric calculations to identify the limiting reactant and use the result to find the mass of the product.
Even if the final result was incorrect quite frequently students gained some credit through the application of ECF. Only the better candidates could write an equation for the neutralisation of phosphoric(V) acid and even the routine derivation of a conjugate base from the formula of the acid proved difficult for many. In Part (e) most students could manage the correct Lewis structure, though some lost the mark through omitting the charge. Many candidates also scored well on the shape of the ion and the polarity of the P-H bond.
In Part (a) most candidates gained full marks, with the most common error being a failure to quote the answer to the precision specified, but the explanations of deflection, and more particularly detection, in the mass spectrometer were weak. The prediction of relative atomic radii of the isotopes, something that required the application of reason rather than recall, also proved much more challenging. Part (b) revealed that many candidates have a very weak understanding of the metallic bond with many thinking the bonding was ionic.
Even when they knew about a cation lattice and delocalized electrons, a mark was frequently dropped by failing to specify that the attraction between them was electrostatic. Most candidates wrote the correct equation in Part (c), but it is still disturbing that some students at this level cannot write even the most straightforward chemical equation. In Part (d) many students proved capable of carrying out routine stoichiometric calculations to identify the limiting reactant and use the result to find the mass of the product.
Even if the final result was incorrect quite frequently students gained some credit through the application of ECF. Only the better candidates could write an equation for the neutralisation of phosphoric(V) acid and even the routine derivation of a conjugate base from the formula of the acid proved difficult for many. In Part (e) most students could manage the correct Lewis structure, though some lost the mark through omitting the charge. Many candidates also scored well on the shape of the ion and the polarity of the P-H bond.
In Part (a) most candidates gained full marks, with the most common error being a failure to quote the answer to the precision specified, but the explanations of deflection, and more particularly detection, in the mass spectrometer were weak. The prediction of relative atomic radii of the isotopes, something that required the application of reason rather than recall, also proved much more challenging. Part (b) revealed that many candidates have a very weak understanding of the metallic bond with many thinking the bonding was ionic.
Even when they knew about a cation lattice and delocalized electrons, a mark was frequently dropped by failing to specify that the attraction between them was electrostatic. Most candidates wrote the correct equation in Part (c), but it is still disturbing that some students at this level cannot write even the most straightforward chemical equation. In Part (d) many students proved capable of carrying out routine stoichiometric calculations to identify the limiting reactant and use the result to find the mass of the product.
Even if the final result was incorrect quite frequently students gained some credit through the application of ECF. Only the better candidates could write an equation for the neutralisation of phosphoric(V) acid and even the routine derivation of a conjugate base from the formula of the acid proved difficult for many. In Part (e) most students could manage the correct Lewis structure, though some lost the mark through omitting the charge. Many candidates also scored well on the shape of the ion and the polarity of the P-H bond.
In Part (a) most candidates gained full marks, with the most common error being a failure to quote the answer to the precision specified, but the explanations of deflection, and more particularly detection, in the mass spectrometer were weak. The prediction of relative atomic radii of the isotopes, something that required the application of reason rather than recall, also proved much more challenging. Part (b) revealed that many candidates have a very weak understanding of the metallic bond with many thinking the bonding was ionic.
Even when they knew about a cation lattice and delocalized electrons, a mark was frequently dropped by failing to specify that the attraction between them was electrostatic. Most candidates wrote the correct equation in Part (c), but it is still disturbing that some students at this level cannot write even the most straightforward chemical equation. In Part (d) many students proved capable of carrying out routine stoichiometric calculations to identify the limiting reactant and use the result to find the mass of the product.
Even if the final result was incorrect quite frequently students gained some credit through the application of ECF. Only the better candidates could write an equation for the neutralisation of phosphoric(V) acid and even the routine derivation of a conjugate base from the formula of the acid proved difficult for many. In Part (e) most students could manage the correct Lewis structure, though some lost the mark through omitting the charge. Many candidates also scored well on the shape of the ion and the polarity of the P-H bond.
In Part (a) most candidates gained full marks, with the most common error being a failure to quote the answer to the precision specified, but the explanations of deflection, and more particularly detection, in the mass spectrometer were weak. The prediction of relative atomic radii of the isotopes, something that required the application of reason rather than recall, also proved much more challenging. Part (b) revealed that many candidates have a very weak understanding of the metallic bond with many thinking the bonding was ionic.
Even when they knew about a cation lattice and delocalized electrons, a mark was frequently dropped by failing to specify that the attraction between them was electrostatic. Most candidates wrote the correct equation in Part (c), but it is still disturbing that some students at this level cannot write even the most straightforward chemical equation. In Part (d) many students proved capable of carrying out routine stoichiometric calculations to identify the limiting reactant and use the result to find the mass of the product.
Even if the final result was incorrect quite frequently students gained some credit through the application of ECF. Only the better candidates could write an equation for the neutralisation of phosphoric(V) acid and even the routine derivation of a conjugate base from the formula of the acid proved difficult for many. In Part (e) most students could manage the correct Lewis structure, though some lost the mark through omitting the charge. Many candidates also scored well on the shape of the ion and the polarity of the P-H bond.
In Part (a) most candidates gained full marks, with the most common error being a failure to quote the answer to the precision specified, but the explanations of deflection, and more particularly detection, in the mass spectrometer were weak. The prediction of relative atomic radii of the isotopes, something that required the application of reason rather than recall, also proved much more challenging. Part (b) revealed that many candidates have a very weak understanding of the metallic bond with many thinking the bonding was ionic.
Even when they knew about a cation lattice and delocalized electrons, a mark was frequently dropped by failing to specify that the attraction between them was electrostatic. Most candidates wrote the correct equation in Part (c), but it is still disturbing that some students at this level cannot write even the most straightforward chemical equation. In Part (d) many students proved capable of carrying out routine stoichiometric calculations to identify the limiting reactant and use the result to find the mass of the product.
Even if the final result was incorrect quite frequently students gained some credit through the application of ECF. Only the better candidates could write an equation for the neutralisation of phosphoric(V) acid and even the routine derivation of a conjugate base from the formula of the acid proved difficult for many. In Part (e) most students could manage the correct Lewis structure, though some lost the mark through omitting the charge. Many candidates also scored well on the shape of the ion and the polarity of the P-H bond.
In Part (a) most candidates gained full marks, with the most common error being a failure to quote the answer to the precision specified, but the explanations of deflection, and more particularly detection, in the mass spectrometer were weak. The prediction of relative atomic radii of the isotopes, something that required the application of reason rather than recall, also proved much more challenging. Part (b) revealed that many candidates have a very weak understanding of the metallic bond with many thinking the bonding was ionic.
Even when they knew about a cation lattice and delocalized electrons, a mark was frequently dropped by failing to specify that the attraction between them was electrostatic. Most candidates wrote the correct equation in Part (c), but it is still disturbing that some students at this level cannot write even the most straightforward chemical equation. In Part (d) many students proved capable of carrying out routine stoichiometric calculations to identify the limiting reactant and use the result to find the mass of the product.
Even if the final result was incorrect quite frequently students gained some credit through the application of ECF. Only the better candidates could write an equation for the neutralisation of phosphoric(V) acid and even the routine derivation of a conjugate base from the formula of the acid proved difficult for many. In Part (e) most students could manage the correct Lewis structure, though some lost the mark through omitting the charge. Many candidates also scored well on the shape of the ion and the polarity of the P-H bond.
In Part (a) most candidates gained full marks, with the most common error being a failure to quote the answer to the precision specified, but the explanations of deflection, and more particularly detection, in the mass spectrometer were weak. The prediction of relative atomic radii of the isotopes, something that required the application of reason rather than recall, also proved much more challenging. Part (b) revealed that many candidates have a very weak understanding of the metallic bond with many thinking the bonding was ionic.
Even when they knew about a cation lattice and delocalized electrons, a mark was frequently dropped by failing to specify that the attraction between them was electrostatic. Most candidates wrote the correct equation in Part (c), but it is still disturbing that some students at this level cannot write even the most straightforward chemical equation. In Part (d) many students proved capable of carrying out routine stoichiometric calculations to identify the limiting reactant and use the result to find the mass of the product.
Even if the final result was incorrect quite frequently students gained some credit through the application of ECF. Only the better candidates could write an equation for the neutralisation of phosphoric(V) acid and even the routine derivation of a conjugate base from the formula of the acid proved difficult for many. In Part (e) most students could manage the correct Lewis structure, though some lost the mark through omitting the charge. Many candidates also scored well on the shape of the ion and the polarity of the P-H bond.
Ethanol is used as a component in fuel for some vehicles. One fuel mixture contains 10% by mass of ethanol in unleaded petrol (gasoline). This mixture is often referred to as Gasohol E10.
Assume that the other 90% by mass of Gasohol E10 is octane. 1.00 kg of this fuel mixture was burned.
\[\begin{array}{*{20}{l}} {{\text{C}}{{\text{H}}_3}{\text{C}}{{\text{H}}_2}{\text{OH(l)}} + {\text{3}}{{\text{O}}_2}{\text{(g)}} \to {\text{2C}}{{\text{O}}_2}{\text{(g)}} + {\text{3}}{{\text{H}}_2}{\text{O(l)}}}&{\Delta {H^\Theta } = - 1367{\text{ kJ}}\,{\text{mo}}{{\text{l}}^{ - 1}}} \\ {{{\text{C}}_8}{{\text{H}}_{18}}{\text{(l)}} + {\text{12}}\frac{1}{2}{{\text{O}}_2}{\text{(g)}} \to {\text{8C}}{{\text{O}}_2}{\text{(g)}} + {\text{9}}{{\text{H}}_2}{\text{O(l)}}}&{\Delta {H^\Theta } = - 5470{\text{ kJ}}\,{\text{mo}}{{\text{l}}^{ - 1}}} \end{array}\]
Calculate the mass, in g, of ethanol and octane in 1.00 kg of the fuel mixture.
Calculate the amount, in mol, of ethanol and octane in 1.00 kg of the fuel mixture.
Calculate the total amount of energy, in kJ, released when 1.00 kg of the fuel mixture is completely burned.
If the fuel blend was vaporized before combustion, predict whether the amount of energy released would be greater, less or the same. Explain your answer.
Markscheme
(10% 1000 g =) 100 g ethanol and (90% 1000 g =) 900 g octane;
\(n{\text{(ethanol)}} = 2.17{\text{ mol}}\) and \(n{\text{(octane)}} = 7.88{\text{ mol}}\);
\({{\text{E}}_{{\text{released from ethanol}}}} = (2.17 \times 1367) = 2966{\text{ (kJ)}}\);
\({{\text{E}}_{{\text{released from octane}}}} = (7.88 \times 5470) = 43104{\text{ (kJ)}}\);
total energy released \( = (2966 + 43104) = 4.61 \times {10^4}{\text{ (kJ)}}\);
Award [3] for correct final answer.
Accept answers using whole numbers for molar masses and rounding.
greater;
fewer intermolecular bonds/forces to break / vaporization is endothermic / gaseous fuel has greater enthalpy than liquid fuel / OWTTE;
M2 cannot be scored if M1 is incorrect.
Examiners report
Candidates were able to calculate the mass of ethanol and octane in the fuel mixture. The most common error here involved not expressing the answer in the requested units of grams. A number of candidates expressed answers in kg.
Many candidates were able to calculate the number of mole of ethanol and octane in (a) (ii) but errors in the calculation of molar mass were seen regularly. Candidates should also use the relative atomic masses, expressed to two decimal places as in the Periodic Table provided in the Data Table.
In part (a) (iii) some candidates multiplied incorrect numbers together or did not consider the number of moles of each part of the fuel mixture. Some candidates just added the enthalpies of combustion provided in the questions.
Part (b) was found to be very challenging by candidates. Very few candidates had the depth of understanding to answer this question adequately.
The Haber process enables the large-scale production of ammonia needed to make fertilizers.
The equation for the Haber process is given below.
\[{{\text{N}}_2}({\text{g)}} + 3{{\text{H}}_2}({\text{g)}} \rightleftharpoons {\text{2N}}{{\text{H}}_3}({\text{g)}}\]
The percentage of ammonia in the equilibrium mixture varies with temperature.

Fertilizers may cause health problems for babies because nitrates can change into nitrites in water used for drinking.
A student decided to investigate the reactions of the two acids with separate samples of \({\text{0.20 mol}}\,{\text{d}}{{\text{m}}^{ - 3}}\) sodium hydroxide solution.
(i) Use the graph to deduce whether the forward reaction is exothermic or endothermic and explain your choice.
(ii) State and explain the effect of increasing the pressure on the yield of ammonia.
(iii) Explain the effect of increasing the temperature on the rate of reaction.
(i) Define oxidation in terms of oxidation numbers.
(ii) Deduce the oxidation states of nitrogen in the nitrate, \({\text{NO}}_{\text{3}}^ - \), and nitrite, \({\text{NO}}_{\text{2}}^ - \), ions.
The nitrite ion is present in nitrous acid, HNO2, which is a weak acid. The nitrate ion is present in nitric acid, HNO3, which is a strong acid. Distinguish between the terms strong and weak acid and state the equations used to show the dissociation of each acid in aqueous solution.
A small piece of magnesium ribbon is added to solutions of nitric and nitrous acid of the same concentration at the same temperature. Describe two observations that would allow you to distinguish between the two acids.
(i) Calculate the volume of the sodium hydroxide solution required to react exactly with a \({\text{15.0 c}}{{\text{m}}^{\text{3}}}\) solution of \({\text{0.10 mol}}\,{\text{d}}{{\text{m}}^{ - 3}}\) nitric acid.
(ii) The following hypothesis was suggested by the student: “Since nitrous acid is a weak acid it will react with a smaller volume of the \({\text{0.20 mol}}\,{\text{d}}{{\text{m}}^{ - 3}}\) sodium hydroxide solution.” Comment on whether or not this is a valid hypothesis.
The graph below shows how the conductivity of the two acids changes with concentration.

Identify Acid 1 and explain your choice.
Nitric acid reacts with silver in a redox reaction.
__ \({\text{Ag(s)}} + \) __ \({\text{NO}}_3^ - {\text{(aq)}} + \) ___ \( \to \) ___\({\text{A}}{{\text{g}}^ + }{\text{(aq)}} + \) __ \({\text{NO(g)}} + \) ____
Using oxidation numbers, deduce the complete balanced equation for the reaction showing all the reactants and products.
Markscheme
(i) exothermic;
Accept either of the following for the second mark.
increasing temperature favours endothermic/reverse reaction;
as yield decreases with increasing temperature;
(ii) yield increases / equilibrium moves to the right / more ammonia;
increase in pressure favours the reaction which has fewer moles of gaseous products;
(iii) (rate increases because) increase in frequency (of collisions);
increase in energy (of collisions);
more colliding molecules with \(E \geqslant {E_{\text{a}}}\);
(i) increase in the oxidation number;
(ii) (NO3) + 5 and (NO2–) + 3;
Accept V and III.
Do not penalize missing charges on numbers.
strong acid completely dissociated/ionized and weak acid partially dissociated/ionized;
\({\text{HN}}{{\text{O}}_3}{\text{(aq)}} \to {{\text{H}}^ + }{\text{(aq)}} + {\text{NO}}_3^ - {\text{(aq)}}\);
\({\text{HN}}{{\text{O}}_2}{\text{(aq)}} \rightleftharpoons {{\text{H}}^ + }{\text{(aq)}} + {\text{NO}}_2^ - {\text{(aq)}}\);
Allow only arrows as shown.
State symbols not needed.
Accept H2O and H3O+.
With HNO3:
faster rate of bubble/gas/hydrogen production;
faster rate of magnesium dissolving;
higher temperature change;
Accept opposite argument for HNO2.
Award [1] if 2 observations given but acid is not identified.
Reference to specific observations needed.
(i) (nitric acid) \({\text{7.5 c}}{{\text{m}}^{\text{3}}}\);
(ii) not valid as nitrous acid reacts with same volume/ \({\text{7.5 c}}{{\text{m}}^{\text{3}}}\);
HNO3;
(higher conductivity for solutions with same concentration as) there are more ions in solution;
change in oxidation numbers: Ag from 0 to +1 and N from +5 to +2;
Do not penalise missing charges on numbers.
balanced equation: \({\text{3Ag}} + {\text{NO}}_3^ - + {\text{4}}{{\text{H}}^ + } \to {\text{3A}}{{\text{g}}^ + } + {\text{NO}} + {\text{2}}{{\text{H}}_2}{\text{O}}\)
Award [1] for correct reactants and product;
Award [3] for correct balanced equation.
Ignore state symbols
Examiners report
This was the most popular question and it was well answered by the majority of candidates. The reaction was correctly described as exothermic and the reason for this explained correctly in most cases. Most candidates knew that yield would increase with increased pressure, but failed to score a second mark because they did not mention ‘gaseous’ although they did know the answer. The effect of increased temperature on rate was generally well described although some did get confused with yield and how it would affect equilibrium.
Most candidates correctly defined oxidation in 6(b)(i) but ‘hedged their bets’ by stating loss of electrons as well as an increase in oxidation number. In 6(b)(ii) the oxidation states were generally deduced correctly but sometimes written as ionic charges (5+ for instance, instead of +5).
In 6(c) most correctly defined strong and weak acids, and many also wrote correct equations. A few, though, had no idea. In (c), arrows proved to be a minefield for several candidates, especially the equilibrium sign. HA was commonly given, as were CH3COOH and HCl, instead of nitric and nitrous acid.
6(d) presented problems with many candidates unable to describe observations and instead stating there would be ‘more hydrogen produced’ or just that ‘the reaction would be faster’. However, better candidates were able to answer this part correctly and scored full marks.
In 6(e)(i) the calculation was answered well, but 6(e)(ii), that asked for a comment on the hypothesis, was not and few candidates stated that the same volume of acid was needed.
In 6(f), the majority correctly identified the strong acid but often failed to explain its better conductivity in terms of the ions.
Many could give a correct balanced equation and scored the 3 marks, and others scored 1 mark for giving the correct reactants and products. However, not many candidates used oxidation numbers to deduce the balanced equation.
The data below is from an experiment used to determine the percentage of iron present in a sample of iron ore. This sample was dissolved in acid and all of the iron was converted to \({\text{F}}{{\text{e}}^{{\text{2 + }}}}\). The resulting solution was titrated with a standard solution of potassium manganate(VII), \({\text{KMn}}{{\text{O}}_{\text{4}}}\). This procedure was carried out three times. In acidic solution, \({\text{MnO}}_4^ - \) reacts with \({\text{F}}{{\text{e}}^{2 + }}\) ions to form \({\text{M}}{{\text{n}}^{2 + }}\) and \({\text{F}}{{\text{e}}^{3 + }}\) and the end point is indicated by a slight pink colour.


Deduce the balanced redox equation for this reaction in acidic solution.
Identify the reducing agent in the reaction.
Calculate the amount, in moles, of \({\text{MnO}}_4^ - \) used in the titration.
Calculate the amount, in moles, of Fe present in the \(3.682 \times {10^{ - 1}}{\text{ g}}\) sample of iron ore.
Determine the percentage by mass of Fe present in the \(3.682 \times {10^{ - 1}}{\text{ g}}\) sample of iron ore.
Markscheme
\[{\text{MnO}}_4^ - {\text{(aq)}} + {\text{5F}}{{\text{e}}^{2 + }}{\text{(aq)}} + {\text{8}}{{\text{H}}^ + }{\text{(aq)}} \to {\text{M}}{{\text{n}}^{2 + }}{\text{(aq)}} + {\text{5F}}{{\text{e}}^{3 + }}{\text{(aq)}} + {\text{4}}{{\text{H}}_2}{\text{O(l)}}\]
Award [2] if correctly balanced.
Award [1] for correctly placing H+ and H2O.
Award [1 max] for correct balanced equation but with electrons shown.
Ignore state symbols.
\({\text{F}}{{\text{e}}^{2 + }}\) / iron(II);
Do not accept iron.
\({\text{n}} = 2.152 \times {10^{ - 2}} \times 2.250 \times {10^{ - 2}}\);
\(4.842 \times {10^{ - 4}}{\text{ (mol)}}\);
Award [1] for correct volume
Award [1] for correct calculation.
1 mol of \({\text{MnO}}_4^ - \) reacts with 5 mol of \({\text{F}}{{\text{e}}^{2 + }}\);
\(5 \times 4.842 \times {10^{ - 4}} = 2.421 \times {10^{ - 3}}{\text{ (mol)}}\);
(same number of moles of Fe in the iron ore)
Allow ECF from part (a) and (c) provided some mention of mole ratio is stated.
\(2.421 \times {10^{ - 3}} \times 55.85 = 0.1352{\text{ (g)}}\);
\(\frac{{0.1352}}{{0.3682}} \times 100 = 36.72\% \);
Allow ECF from part (d).
Examiners report
Most G2 comments on Section A were about this question. Many commented that titration is not part of the SL syllabus; however it is the expectation that students would cover this and other basic chemical techniques as part of their practical programme. Question 1 in all papers is meant to be data response and students will be expected to be familiar with experimental techniques. Also, there was some confusion caused because there was one sample and three titres. However this unfortunate cause of confusion did not seem to impact on candidate performance as poor performance was found throughout the question even with some very routine questions. Generally this question was poorly answered. In a) not many candidates managed to write the correct balanced equation, however many gave the correct species that were missing, \({{\text{H}}^ + }\) and \({{\text{H}}_{\text{2}}}{\text{O}}\).
Most candidates were able to identify the reducing agent although a few candidates just mentioned “iron” or Fe, but metallic iron was not in the equation.
In (c) candidates were not familiar with the process of selecting the 2 best titres and averaging them. Some chose the first written, some averaged all three and some weaker candidates merely added the 3 titres and used this. Some candidates also forgot to convert cm3 to dm3.
In 1(e), a few candidates scored ECF marks for the % based on n(Fe) calculated in (d). A couple of candidates realised that their answer to (d) did not help and followed on from (c) to find the number of moles of \({\text{F}}{{\text{e}}^{2 + }}\) and hence the % of Fe, scoring ECF marks.
Alkenes, alcohols and esters are three families of organic compounds with many commercial uses.
Esters are often used in perfumes. Analysis of a compound containing the ester functional group only, gives a percentage composition by mass of C: 62.0% and H: 10.4%.
State the meaning of the term structural isomers.
X is an isomer of C4H8 and has the structural formula shown below.

Apply IUPAC rules to name this isomer. Deduce the structural formulas of two other isomers of C4H8.
State the balanced chemical equation for the reaction of X with HBr to form Y.
Y reacts with aqueous sodium hydroxide, NaOH(aq), to form an alcohol, Z. Identify whether Z is a primary, secondary or tertiary alcohol.
Explain one suitable mechanism for the reaction in (v) using curly arrows to represent the movement of electron pairs.
Deduce the structural formula of the organic product formed when Z is oxidized by heating under reflux with acidified potassium dichromate(VI) and state the name of the functional group of this organic product.
Draw the ester functional group.
Determine the empirical formula of the ester, showing your working.
The molar mass of the ester is \({\text{116.18 g}}\,{\text{mo}}{{\text{l}}^{ - 1}}\). Determine its molecular formula.
Markscheme
compounds with the same molecular formula but different arrangement of atoms/structural formula/structures;
Do not allow similar instead of same.
(cis-)but-2-ene / (Z)but-2-ene / but-2-ene;
Accept (cis-)2-butene / Z-2-butene.
Ignore missing hyphens.
CH3CH2CH=CH2;
H2C=C(CH3)2;
Accept either full or condensed structural formulas.
Allow structural formula of trans-but-2-ene.
(CH3)CH=CH(CH3) + HBr \( \to \) CH3CHBrCH2CH3;
Allow C4H8 + HBr \( \to \) C4H9Br.
secondary/ 2°;
Since secondary could be either SN1 or SN2 so allow SN1 or SN2 for M1–M4.
SN1:

curly arrow showing Br leaving;
Do not allow arrow originating from C to C–Br bond.
representation of secondary carbocation;
curly arrow going from lone pair/negative charge on O in HO– to C+;
Do not allow arrow originating on H in HO–.
formation of organic product CH3CH(OH)C2H5/C4H9OH and Br–;
Allow formation of NaBr instead of Br–.
OR
SN2:

curly arrow going from lone pair/negative charge on O in HO– to C;
Do not allow curly arrow originating on H in HO–.
curly arrow showing Br leaving;
Accept curly arrow either going from bond between C and Br to Br in 2-bromobutane or in the transition state.
Do not allow arrow originating from C to C–Br bond.
representation of transition state showing negative charge, square brackets and partial bonds;
Do not penalize if HO and Br are not at 180° to each other.
Do not award M3 if OH ---- C bond is represented.
formation of organic product CH3CH(OH)C2H5/C4H9OH and Br–;
Allow formation of NaBr instead of Br–.
For primary Z from (v), for ECF SN2 required.
For tertiary Z from (v), for ECF SN1 required.
But curly arrow showing Br leaving and formation of C4H9OH and Br– can be scored for either mechanism (even if incorrect type).
For primary Z from (v) with 1-bromobutane stated in (vi), correct SN2 can score full marks.
If (v) is not answered and incorrect starting reagent is given in (vi), M1, M2 and M3 may be scored but not M4 for either correct SN1 or SN2.
CH3COCH2CH3;
Full or condensed structural formula may be given.
For primary Z from (v), accept CH3CH2CH2COOH/C3H7COOH but not CH3CH2CH2CHO.
ketone / alkanone;
drawing of \({\text{RCOOR'}}\) group / 
Allow C instead of R or \(R'\).
Allow 
\((100 - 62.0 - 10.4 = ){\text{ }}27.6\% {\text{ O}}\);
\({n_C}:\left( {\frac{{62.0}}{{12.01}} = } \right){\text{ }}5.162{\text{ (mol)}}\) and \({n_H}:\left( {\frac{{10.4}}{{1.01}} = } \right){\text{ }}10.297{\text{ (mol)}}\)
and \({n_O}:\left( {\frac{{27.6}}{{16.00}} = } \right){\text{ }}1.725{\text{ (mol)}}\);
dividing 5.162 and 10.297 by 1.725 (to get values \({{\text{C}}_{{\text{2.992}}}}{{\text{H}}_{{\text{5.969}}}}{{\text{O}}_{\text{1}}}\));
(empirical formula =) \({{\text{C}}_3}{{\text{H}}_6}{\text{O}}\);
Award [4] for correct final answer if alternative method used.
Allow integer values for atomic masses (i.e. 12, 1 and 16).
C6H12O2;
Examiners report
Meaning of the term structural isomers was well defined with the weaker candidates referring to similar instead of same molecular formula but different arrangement of atoms.
Many candidates stated the IUPAC name of the isomers of C4H8 and deduced correctly the structural formulas of the two other isomers.
Most candidates were able to write the chemical equation for the reaction of the isomer of C4H8 with HBr and identify the alcohol formed by the reaction of that product with NaOH.
In part (a) (v), the mechanisms proved a problem for majority of candidates.
The use of curly arrows in reaction mechanisms continues to be poorly understood, the arrow often pointing in the wrong direction. Candidates must take care to accurately draw the position of the curly arrows illustrating the movement of electrons.
In part (b), the ester functional group was drawn correctly and it was pleasing to see that the majority of candidates handled the calculation of the empirical and molecular formulas extremely well.
In part (b), the ester functional group was drawn correctly and it was pleasing to see that the majority of candidates handled the calculation of the empirical and molecular formulas extremely well.
In part (b), the ester functional group was drawn correctly and it was pleasing to see that the majority of candidates handled the calculation of the empirical and molecular formulas extremely well.
Aspirin, one of the most widely used drugs in the world, can be prepared according to the equation given below.

A student reacted some salicylic acid with excess ethanoic anhydride. Impure solid aspirin was obtained by filtering the reaction mixture. Pure aspirin was obtained by recrystallization. The following table shows the data recorded by the student.

State the names of the three organic functional groups in aspirin.
Determine the amount, in mol, of salicylic acid, \({{\text{C}}_{\text{6}}}{{\text{H}}_{\text{4}}}{\text{(OH)COOH}}\), used.
Calculate the theoretical yield, in g, of aspirin, \({{\text{C}}_{\text{6}}}{{\text{H}}_{\text{4}}}{\text{(OCOC}}{{\text{H}}_{\text{3}}}{\text{)COOH}}\).
Determine the percentage yield of pure aspirin.
State the number of significant figures associated with the mass of pure aspirin obtained, and calculate the percentage uncertainty associated with this mass.
Another student repeated the experiment and obtained an experimental yield of 150%. The teacher checked the calculations and found no errors. Comment on the result.
The following is a three-dimensional computer-generated representation of aspirin.

A third student measured selected bond lengths in aspirin, using this computer program and reported the following data.

The following hypothesis was suggested by the student: “Since all the measured carbon-carbon bond lengths are equal, all the carbon-oxygen bond lengths must also be equal in aspirin. Therefore, the C8–O4 bond length must be 1.4 \( \times \) 10–10 m”. Comment on whether or not this is a valid hypothesis.
The other product of the reaction is ethanoic acid, \({\text{C}}{{\text{H}}_{\text{3}}}{\text{COOH}}\). Define an acid according to the Brønsted-Lowry theory and state the conjugate base of \({\text{C}}{{\text{H}}_{\text{3}}}{\text{COOH}}\).
Brønsted-Lowry definition of an acid:
Conjugate base of \({\text{C}}{{\text{H}}_{\text{3}}}{\text{COOH}}\):
Markscheme
carboxylic acid / carboxyl;
ester;
Do not allow carbonyl / acid / ethanoate / formula(–COOH).
aryl group / benzene ring / phenyl;
\({M_{\text{r}}}{\text{(}}{{\text{C}}_7}{{\text{H}}_6}{{\text{O}}_3}{\text{)}} = {\text{138.13}}\);
\(n = \left( {\frac{{3.15}}{{138.13}} = } \right){\text{ }}2.28 \times {10^{ - 2}}{\text{ (mol)}}\);
Award [2] for the correct final answer.
\({M_{\text{r}}}{\text{(}}{{\text{C}}_9}{{\text{H}}_8}{{\text{O}}_4}{\text{)}} = 180.17\);
\(m = (180.17 \times 2.28 \times {10^{ - 2}} = ){\text{ }}4.11{\text{ (g)}}\);
Accept range 4.10–4.14
Award [2] for the correct final answer.
\({\text{(percentage yield}} = \frac{{2.50}}{{4.11}} \times 100 = ){\text{ }}60.8\% \);
Accept 60–61%.
3;
\({\text{(percentage uncertainty }} = \frac{{0.02}}{{2.50}} \times 100 = {\text{) }}0.80\% \);
Allow 0.8%
sample contaminated with ethanoic acid / aspirin not dry / impure sample;
Accept specific example of a systematic error.
Do not accept error in reading balance/weighing scale.
Do not accept yield greater than 100%.
hypothesis not valid/incorrect;
Accept any of the following for the second mark
C–O and C=O bond lengths will be different;
C2–O3 bond is longer than C8–O4 bond;
C8–O4 bond shorter than C2–O3 bond;
a CO single bond is longer than a CO double bond;
Accept C8–O4 is a double bond hence shorter.
Brønsted-Lowry definition of an acid
proton/H+/hydrogen ion donor;
Conjugate base of CH3COOH
\({\text{C}}{{\text{H}}_3}{\text{CO}}{{\text{O}}^ - }{\text{/C}}{{\text{H}}_3}{\text{CO}}_2^ - \);
Do not accept C2H3O2–/ethanoate.
Examiners report
In (a) Some candidates gave the correct three names of the functional groups; however some candidates gave answers such as alkene, ketone, aldehyde, ether, and carbonyl.
Candidates did not have problems determining the number of moles of salicylic acid used in (b) (i), although a few gave the answer with one significant digit only.
For (ii) the majority of candidates correctly used the value obtained in (i) to calculate the theoretical yield of aspirin.
In (iii) the percentage yield was calculated correctly in most cases.
The calculation of the percentage uncertainty (part (iv) proved to be a little more difficult, but many candidates gave the correct answer of 0.80%.
Part (v) was correctly answered by only a few candidates who stated that aspirin was contaminated or that the aspirin was not dry.
Nearly all the candidates correctly stated that the suggested hypothesis was not valid in (vi), giving the right reasons.
In (vii) most candidates gave the correct definition of an acid according to Brønsted-Lowry theory, although a few defined the acid according to Lewis theory. The conjugate base of the ethanoic acid was not always correct.
Magnesium is a group 2 metal which exists as a number of isotopes and forms many compounds.
State the nuclear symbol notation, \({}_Z^AX\), for magnesium-26.
Mass spectroscopic analysis of a sample of magnesium gave the following results:
Calculate the relative atomic mass, Ar, of this sample of magnesium to two decimal places.
Magnesium burns in air to form a white compound, magnesium oxide. Formulate an equation for the reaction of magnesium oxide with water.
Describe the trend in acid-base properties of the oxides of period 3, sodium to chlorine.
In addition to magnesium oxide, magnesium forms another compound when burned in air. Suggest the formula of this compound
Describe the structure and bonding in solid magnesium oxide.
Magnesium chloride can be electrolysed.
Deduce the half-equations for the reactions at each electrode when molten magnesium chloride is electrolysed, showing the state symbols of the products. The melting points of magnesium and magnesium chloride are 922 K and 987 K respectively.
Anode (positive electrode):
Cathode (negative electrode):
Markscheme
\({}_{12}^{26}{\rm{Mg}}\)
«Ar =»\(\frac{{24 \times 78.60 + 25 \times 10.11 + 26 \times 11.29}}{{100}}\)
«= 24.3269 =» 24.33
Award [2] for correct final answer.
Do not accept data booklet value (24.31).
MgO(s) + H2O(l) → Mg(OH)2(s)
OR
MgO(s) + H2O(l) → Mg2+(aq) + 2OH–(aq)
Accept \( \rightleftharpoons \).
from basic to acidic
through amphoteric
Accept “alkali/alkaline” for “basic”.
Accept “oxides of Na and Mg: basic AND oxide of Al: amphoteric” for M1.
Accept “oxides of non-metals/Si to Cl acidic” for M2.
Do not accept just “become more acidic”
Mg3N2
Accept MgO2, Mg(OH)2, Mg(NOx)2, MgCO3.
«3-D/giant» regularly repeating arrangement «of ions»
OR
lattice «of ions»
Accept “giant” for M1, unless “giant covalent” stated.
electrostatic attraction between oppositely charged ions
OR
electrostatic attraction between Mg2+ and O2– ions
Do not accept “ionic” without description.
Anode (positive electrode):
2Cl– → Cl2(g) + 2e–
Cathode (negative electrode):
Mg2+ + 2e– → Mg(l)
Penalize missing/incorrect state symbols at Cl2 and Mg once only.
Award [1 max] if equations are at wrong electrodes.
Accept Mg (g).
Examiners report
Phosphine (IUPAC name phosphane) is a hydride of phosphorus, with the formula PH3.
(i) Draw a Lewis (electron dot) structure of phosphine.
(ii) Outline whether you expect the bonds in phosphine to be polar or non-polar, giving a brief reason.
(iii) Explain why the phosphine molecule is not planar.
(iv) Phosphine has a much greater molar mass than ammonia. Explain why phosphine has a significantly lower boiling point than ammonia.
Phosphine is usually prepared by heating white phosphorus, one of the allotropes of phosphorus, with concentrated aqueous sodium hydroxide. The equation for the reaction is:
P4 (s) + 3OH− (aq) + 3H2O (l) → PH3 (g) + 3H2PO2− (aq)
(i) Identify one other element that has allotropes and list two of its allotropes.
Element:
Allotrope 1:
Allotrope 2:
(ii) The first reagent is written as P4, not 4P. Describe the difference between P4 and 4P.
(iii) The ion H2PO2− is amphiprotic. Outline what is meant by amphiprotic, giving the formulas of both species it is converted to when it behaves in this manner.
(iv) State the oxidation state of phosphorus in P4 and H2PO2−.
P4:
H2PO2−:
(v) Oxidation is now defined in terms of change of oxidation number. Explore how earlier definitions of oxidation and reduction may have led to conflicting answers for the conversion of P4 to H2PO2− and the way in which the use of oxidation numbers has resolved this.
2.478 g of white phosphorus was used to make phosphine according to the equation:
P4(s) +3OH−(aq)+3H2O(l) → PH3(g)+3H2PO2−(aq)
(i) Calculate the amount, in mol, of white phosphorus used.
(ii) This phosphorus was reacted with 100.0 cm3 of 5.00 mol dm−3 aqueous sodium hydroxide. Deduce, showing your working, which was the limiting reagent.
(iii) Determine the excess amount, in mol, of the other reagent.
(iv) Determine the volume of phosphine, measured in cm3 at standard temperature and pressure, that was produced.
Markscheme
(i)
Accept structures using dots and/or crosses to indicate bonds and/or lone pair.
(ii)
non-polar AND P and H have the same electronegativity
Accept “similar electronegativities”.
Accept “polar” if there is a reference to a small difference in electronegativity and apply ECF in 1 a (iv).
(iii)
4 electron domains/pairs/negative charge centres «around the central atom»
OR
a lone/non-bonding pair «and three bonding pairs around the central atom»
repulsion between electron domains/pairs/negative charge centres «produces non-planar shape»
OR
«repulsion causes» tetrahedral orientation/pyramidal shape
(iv)
PH3 has London «dispersion» forces
NH3 forms H-bonds
H-bonds are stronger
OR
London forces are weaker
Accept van der Waals’ forces, dispersion forces and instantaneous dipole – induced dipole forces.
Accept “dipole-dipole forces” as molecule is polar.
H-bonds in NH3 (only) must be mentioned to score [2].
Do not award M2 or M3 if:
• implies covalent bond is the H-bond
• implies covalent bonds break.
Accept “dipole-dipole forces are weaker”.
(i)
Element
carbon/C
OR
oxygen/O/O2
Allotropes
Award [1] for two of:
diamond
graphite
graphene
C60 / buckminsterfullerene
OR
ozone/O3 AND «diatomic/molecular» oxygen/O2
Accept two correctly named allotropes of any other named element (S, Se, Sn, As, etc.).
Accept fullerene, “buckyballs” etc. instead of buckminsterfullerene.
(ii)
P4 is a molecule «comprising 4P atoms» AND 4P is four/separate «P» atoms
OR
P4 represents «4P» atoms bonded together AND 4P represents «4» separate/non-bonded «P» atoms
(iii)
can act as both a «Brønsted–Lowry» acid and a «Brønsted–Lowry» base
OR
can accept and/or donate a hydrogen ion/proton/H+
HPO22− AND H3PO2
(iv)H2PO2− : +1
OR
negative charge «on product/H2PO2− » /gain of electrons so could be reduction
Do not award M3 for “oxidation number changes”.
(i)
«\(\left\langle {\frac{{2.478}}{{4 \times 30.97}}} \right\rangle \)»= 0.02000«mol»
(ii)
n(NaOH)=«0.1000×5.00=»0.500«mol» AND P4/phosphorus is limiting reagent
Accept n(H2O) =\(\frac{{100}}{{18}}\) = 5.50 AND P4 is limiting reagent.
(iii)
amount in excess «= 0.500 - (3 × 0.02000)» = 0.440 «mol»
(iv)
«22.7 × 1000 × 0.02000» = 454 «cm3»
Accept methods employing pV = nRT, with p as either 100 (454 cm3) or 101.3 kPa (448 cm3).
Do not accept answers in dm3.
Examiners report
The boiling points of the isomers of pentane, \({{\text{C}}_{\text{5}}}{{\text{H}}_{{\text{12}}}}\), shown are 10, 28 and 36 °C, but not necessarily in that order.

Identify the boiling points for each of the isomers A, B and C and state a reason for your answer.

State the IUPAC names of isomers B and C.
B:
C:
Both \({{\text{C}}_{\text{5}}}{{\text{H}}_{{\text{12}}}}\) and \({{\text{C}}_{\text{5}}}{{\text{H}}_{{\text{11}}}}{\text{OH}}\) can be used as fuels. Predict which compound would release a greater amount of heat per gram when it undergoes complete combustion. Suggest two reasons to support your prediction.
In many cities around the world, public transport vehicles use diesel, a liquid hydrocarbon fuel, which often contains sulfur impurities and undergoes incomplete combustion. All public transport vehicles in New Delhi, India, have been converted to use compressed natural gas (CNG) as fuel. Suggest two ways in which this improves air quality, giving a reason for your answer.
Markscheme

Award [1] if correct boiling points are assigned to 3 isomers.
increase in branching / more side chains / more spherical shape / reduced surface contact / less closely packed;
weaker intermolecular force/van der Waals’/London/dispersion forces;
Accept the opposite arguments
B: 2-methylbutane/methylbutane;
C: 2,2-dimethyl propane/dimethyl propane;
Do not penalize missing commas, hyphens or added spaces.
Do not accept 2-dimethylpropane, or 2,2-methylpropane.
\({{\text{C}}_5}{{\text{H}}_{12}}\);
Accept any two of the following explanations.
\({{\text{C}}_5}{{\text{H}}_{11}}{\text{OH}}\) has greater molar mass / produces less grams of \({\text{C}}{{\text{O}}_2}\) and \({{\text{H}}_2}{\text{O}}\) per gram of the compound / suitable calculations to show this;
\({{\text{C}}_5}{{\text{H}}_{11}}{\text{OH}}\) contains an O atom which contributes nothing to the energy released / partially oxidized / OWTTE;
analogous compounds such as butane and butan-1-ol show a lower value for the alcohol per mole in the data book / OWTTE;
the total bond strength in the pentanol molecule is higher than the total bond strength in pentane;
the total amount of energy produced in bond formation of the products per mole is the same;
fewer moles of pentanol in 1 g;
pentanol requires more energy to break intermolecular forces/hydrogen bonding / OWTTE;
Improvements [2]
less/no particulates/C/CO/VOC’s produced with CNG;
less/no SO2/SOx produced;
Reasons [1 max]
CO/SO2 toxic/poisonous;
SO2 causes acid rain;
CNG is likely to undergo complete/more combustion;
CNG has no/less sulfur impurities;
Examiners report
This question also featured on the G2 forms, as some teachers thought that the inclusion of Aim 8 type questions such as this would disadvantage candidates. However performance by the majority was very good. It should be noted that questions of this type will always be asked in future papers. In (a), most candidates correctly identified the boiling points although some reversed the order and a few had B with the highest boiling point. Explanations for this trend were not so well answered. Some candidates referred to breaking bonds in the carbon chain and several answers referred to the length of the carbon chain rather than the degree of branching.
The IUPAC names were generally well known, with the most common errors being the use of “pent” instead of “prop” and the omission of one of the locants, or “di” in “2,2-dimethylpropane”.
Many candidates scored 0 in part b) as they incorrectly suggested that pentan-1-ol would have a larger energy density than pentane. It is clear from the variety of wrong answers and reasons that candidates are not familiar with the ideas tested in this question. Many candidates referred to hydrogen bonds between molecules, as a reason for pentan-1-ol releasing more energy, only a few consulted their Data Booklet and made reference to this.
In c) there were 2 marks for improvements to air quality and 1 mark for a reason. Most candidates included the idea that there would be less carbon monoxide formed and that this was a poisonous gas. There were fewer references to oxides of sulfur, although many said that CNG has fewer S impurities rather than to say that less SO2/SOx is released, in this case as they had already scored their explanation mark they could not score for this and ended up with 2 marks out of 3. Some candidates did not centre their answer on what was being asked. Also, some candidates said that natural gas is a natural fuel while diesel is not, and that natural gas, when it burns does not produce carbon dioxide.
If white anhydrous copper(II) sulfate powder is left in the atmosphere it slowly absorbs water vapour giving the blue pentahydrated solid.

It is difficult to measure the enthalpy change for this reaction directly. However, it is possible to measure the heat changes directly when both anhydrous and pentahydrated copper(II) sulfate are separately dissolved in water, and then use an energy cycle to determine the required enthalpy change value, \(\Delta {H_{\text{x}}}\), indirectly.

To determine \(\Delta {H_1}\) a student placed 50.0 g of water in a cup made of expanded polystyrene and used a data logger to measure the temperature. After two minutes she dissolved 3.99 g of anhydrous copper(II) sulfate in the water and continued to record the temperature while continuously stirring. She obtained the following results.

To determine \(\Delta {H_2}\), 6.24 g of pentahydrated copper(II) sulfate was dissolved in 47.75 g of water. It was observed that the temperature of the solution decreased by 1.10 °C.
The magnitude (the value without the \( + \) or \( - \) sign) found in a data book for \(\Delta {H_{\text{x}}}\) is \({\text{78.0 kJ}}\,{\text{mo}}{{\text{l}}^{ - 1}}\).
Calculate the amount, in mol, of anhydrous copper(II) sulfate dissolved in the 50.0 g of water.
Determine what the temperature rise would have been, in °C, if no heat had been lost to the surroundings.
Calculate the heat change, in kJ, when 3.99 g of anhydrous copper(II) sulfate is dissolved in the water.
Determine the value of \(\Delta {H_1}{\text{ in kJ}}\,{\text{mo}}{{\text{l}}^{ - 1}}\).
Calculate the amount, in mol, of water in 6.24 g of pentahydrated copper(II) sulfate.
Determine the value of \(\Delta {H_2}\) in \({\text{kJ}}\,{\text{mo}}{{\text{l}}^{ - 1}}\).
Using the values obtained for \(\Delta {H_1}\) in (a) (iv) and \(\Delta {H_2}\) in (b) (ii), determine the value for \(\Delta {H_{\text{x}}}\) in \({\text{kJ}}\,{\text{mo}}{{\text{l}}^{ - 1}}\).
Calculate the percentage error obtained in this experiment. (If you did not obtain an answer for the experimental value of \(\Delta {H_{\text{x}}}\) then use the value \({\text{70.0 kJ}}\,{\text{mo}}{{\text{l}}^{ - 1}}\), but this is not the true value.)
The student recorded in her qualitative data that the anhydrous copper(II) sulfate she used was pale blue rather than completely white. Suggest a reason why it might have had this pale blue colour and deduce how this would have affected the value she obtained for \(\Delta {H_{\text{x}}}\).
Markscheme
\({\text{amount}} = \frac{{3.99}}{{159.61}} = 0.0250{\text{ (mol)}}\);
26.1 (°C);
Accept answers between 26.0 and 26.2 ( °C).
temperature rise \( = 26.1 - 19.1 = 7.0\) (°C);
Accept answers between 6.9 °C and (7.1 °C) .
Award [2] for the correct final answer.
No ECF if both initial and final temperatures incorrect.

heat change \( = \frac{{50.0}}{{1000}} \times 4.18 \times 7.0/50.0 \times 4.18 \times 7.0\);
Accept 53.99 instead of 50.0 for mass.
\( = 1.5{\text{ (kJ)}}\);
Allow 1.6 (kJ) if mass of 53.99 is used.
Ignore sign.
\(\Delta {H_1} = \frac{{1.5}}{{0.0250}} = - 60{\text{ (kJ}}\,{\text{mo}}{{\text{l}}^{ - 1}}{\text{)}}\);
Value must be negative to award mark.
Accept answers in range –58.0 to –60.0.
Allow –63 (kJ\(\,\)mol–1) if 53.99 g is used in (iii).
\({\text{(amount of CuS}}{{\text{O}}_4} \bullet {\text{5}}{{\text{H}}_{\text{2}}}{\text{O}} = \frac{{6.24}}{{249.71}} = {\text{) 0.0250 (mol)}}\);
\({\text{(amount of }}{{\text{H}}_{\text{2}}}{\text{O in 0.0250 mol of CuS}}{{\text{O}}_{\text{4}}} \bullet {\text{5}}{{\text{H}}_{\text{2}}}{\text{O}} = 5 \times 0.0250 = {\text{) 0.125 (mol)}}\).
\((50.0 \times 4.18 \times 1.10 = ){\text{ }}230{\text{ (J)}}\);
\(\left( {\frac{{229.9}}{{(1000{\text{ }}0.0250)}} = } \right){\text{ }} + 9.20{\text{ (kJ)}}\);
Accept mass of 47.75 or 53.99 instead of 50.00 giving answers of +.8.78 or +9.9.
Do not penalize missing + sign but penalize – sign unless charge already penalized in (a) (iv).
\(\left( {\Delta {H_{\text{x}}} = \Delta {H_2} - \Delta {H_2} = - 58.4 - ( + 9.20) = } \right){\text{ }} - 67.6{\text{ (kJ}}\,{\text{mo}}{{\text{l}}^{ - 1}}{\text{)}}\)
\(\frac{{[ - 78.0 - ( - 67.6)]}}{{ - 78.0}} \times 100 = 13.3\% \);
If 70.0 kJ\(\,\)mol−1 is used accept 10.3%.
the anhydrous copper(II) sulfate had already absorbed some water from the air / OWTTE;
the value would be less exothermic/less negative than expected as the temperature increase would be lower / less heat will be evolved when the anhydrous salt is dissolved in water / OWTTE;
Do not accept less without a reason.
Examiners report
Question 1 was a generally difficult question for candidates, but most students did pick up marks thanks to the application of error carried forward (ecf). In part (a) students could usually calculate the moles of anhydrous copper sulphate.
Very few candidates could correctly extrapolate the graph to calculate a temperature rise of 7.0 ºC.
Calculating using \({\text{q}} = {\text{mc}}\Delta {\text{T}}\) also caused problems as many students used the mass of the copper sulphate instead of the mass of water, and some also added 273 to the temperature change. Many candidates also forgot to convert to kJ.
The last part of this question required the calculation of \(\Delta H\), here many students forgot the – symbol to indicate it was exothermic and so did not gain the mark.
In part (b) the problems were similar as students used incorrect values in their calculation but were able to obtain some marks by error carried forward.
In part (b) the problems were similar as students used incorrect values in their calculation but were able to obtain some marks by error carried forward.
In part (b) the problems were similar as students used incorrect values in their calculation but were able to obtain some marks by error carried forward.
In part (c) many could calculate the % error and apply Hess’s law to calculate \(\Delta H\). Throughout this question there were numerous instances of students using an incorrect number of significant figures and this led to another mark being lost.
Two groups of students (Group A and Group B) carried out a project* on the chemistry of some group 7 elements (the halogens) and their compounds.
* Adapted from J Derek Woollins, (2009), Inorganic Experiments and Open University, (2008), Exploring the Molecular World.
In the first part of the project, the two groups had a sample of iodine monochloride (a corrosive brown liquid) prepared for them by their teacher using the following reaction.
\[{{\text{I}}_{\text{2}}}{\text{(s)}} + {\text{C}}{{\text{l}}_{\text{2}}}{\text{(g)}} \to {\text{2ICl(l)}}\]
The following data were recorded.

The students reacted ICl(l) with CsBr(s) to form a yellow solid, \({\text{CsIC}}{{\text{l}}_{\text{2}}}{\text{(s)}}\), as one of the products. \({\text{CsIC}}{{\text{l}}_{\text{2}}}{\text{(s)}}\) has been found to produce very pure CsCl(s) which is used in cancer treatment.
To confirm the composition of the yellow solid, Group A determined the amount of iodine in 0.2015 g of \({\text{CsIC}}{{\text{l}}_{\text{2}}}{\text{(s)}}\) by titrating it with \({\text{0.0500 mol}}\,{\text{d}}{{\text{m}}^{ - 3}}{\text{ N}}{{\text{a}}_{\text{2}}}{{\text{S}}_{\text{2}}}{{\text{O}}_{\text{3}}}{\text{(aq)}}\). The following data were recorded for the titration.

(i) State the number of significant figures for the masses of \({{\text{I}}_{\text{2}}}{\text{(s)}}\) and ICl(l).
\({{\text{I}}_{\text{2}}}{\text{(s)}}\):
ICl (l):
(ii) The iodine used in the reaction was in excess. Determine the theoretical yield, in g, of ICl(l).
(iii) Calculate the percentage yield of ICl(l).
(iv) Using a digital thermometer, the students discovered that the reaction was exothermic. State the sign of the enthalpy change of the reaction, \(\Delta H\).
Although the molar masses of ICl and \({\rm{B}}{{\rm{r}}_2}\) are very similar, the boiling point of ICl is 97.4 °C and that of \({\rm{B}}{{\rm{r}}_2}\) is 58.8 °C. Explain the difference in these boiling points in terms of the intermolecular forces present in each liquid.
(i) Calculate the percentage of iodine by mass in \({\text{CsIC}}{{\text{l}}_{\text{2}}}{\text{(s)}}\), correct to three significant figures.
(ii) State the volume, in \({\text{c}}{{\text{m}}^{\text{3}}}\), of \({\text{0.0500 mol}}\,{\text{d}}{{\text{m}}^{ - 3}}{\text{ N}}{{\text{a}}_{\text{2}}}{{\text{S}}_{\text{2}}}{{\text{O}}_{\text{3}}}{\text{(aq)}}\) used in the titration.
(iii) Determine the amount, in mol, of \({\text{0.0500 mol}}\,{\text{d}}{{\text{m}}^{ - 3}}{\text{ N}}{{\text{a}}_{\text{2}}}{{\text{S}}_{\text{2}}}{{\text{O}}_{\text{3}}}{\text{(aq)}}\) added in the titration.
(iv) The overall reaction taking place during the titration is:
\[{\text{CsICl(s)}} + {\text{2N}}{{\text{a}}_2}{{\text{S}}_2}{{\text{O}}_3}{\text{(aq)}} \to {\text{NaCl(aq)}} + {\text{N}}{{\text{a}}_2}{{\text{S}}_4}{{\text{O}}_6}{\text{(aq)}} + {\text{CsCl(aq)}} + {\text{NaI(aq)}}\]
Calculate the amount, in mol, of iodine atoms, I, present in the sample of \({\text{CsIC}}{{\text{l}}_{\text{2}}}{\text{(s)}}\).
(v) Calculate the mass of iodine, in g, present in the sample of \({\text{CsIC}}{{\text{l}}_{\text{2}}}\)
(vi) Determine the percentage by mass of iodine in the sample of \({\text{CsIC}}{{\text{l}}_{\text{2}}}{\text{(s)}}\), correct to three significant figures, using your answer from (v).
Markscheme
(i) I2(s): four/4 and ICl(l): three/3;
(ii) \(n{\text{(C}}{{\text{l}}_2}{\text{)}} = {\text{ }}\left( {\frac{{2.24}}{{2 \times 35.45}} = } \right){\text{ }}0.0316/3.16 \times {10^{ - 2}}{\text{ (mol)}}\);
Allow answers such as 3.2 \( \times \) 10–2/0.032/3.15 \( \times \) 10–2/0.0315 (mol).
\(n{\text{(ICl)}} = 2 \times 0.0316/0.0632/6.32 \times {10^{ - 2}}{\text{ (mol)}}\);
Allow answers such as 6.4 \( \times \) 10–2/0.064/6.3 \( \times \) 10–2/0.063 (mol).
\(m{\text{(ICl)}} = (0.0632 \times 162.35 = ){\text{ }}10.3{\text{ (g)}}\);
Allow answers in range 10.2 to 10.4 (g).
Award [3] for correct final answer.
(iii) \(\left( {\frac{{8.60}}{{10.3}} \times 100 = } \right){\text{ }}83.5\% \);
Allow answers in the range of 82.5 to 84.5%.
(iv) negative/–/minus/ < 0;
Br2 has London/dispersion/van der Waals’ forces/vdW and ICl has (London/dispersion/van der Waals’ forces/vdW and) dipole–dipole forces;
dipole–dipole forces are stronger than London/dispersion/van der Waals’/vdW forces;
Allow induced dipole-induced dipole forces for London forces.
Allow interactions instead of forces.
Do not allow ICl polar and Br2 non-polar for M1.
Name of IMF in both molecules is required for M1 and idea of dipole-dipole stronger than vdW is required for M2.
(i) \(\left( {\frac{{126.90}}{{330.71}} \times 100} \right) = 38.4\% \);
(ii) \((25.25 - 1.05) = 24.20{\text{ (c}}{{\text{m}}^{\text{3}}}{\text{)}}\);
Accept 24.2 (cm3) but not 24 (cm3).
(iii) \(\left( {\frac{{24.20 \times 5.00 \times {{10}^{ - 2}}}}{{1000}}} \right) = 1.21 \times {10^{ - 3}}/0.00121{\text{ (mol)}}\);
(iv) \((0.5 \times 1.21 \times {10^{ - 3}}) = 6.05 \times {10^{ - 4}}/0.000605{\text{ (mol)}}\);
Accept alternate method e.g. (0.384/126.9 \( \times \) 0.2015) = 6.10 \( \times \) 10–4/0.000610 (mol).
(v) \((126.90 \times 6.05 \times {10^{ - 4}}) = 7.68 \times {10^{ - 2}}/0.0768{\text{ (g)}}\);
Accept alternate method e.g. (6.10 \( \times \) 10–4 \( \times \) 126.9) or (0.2015 \( \times \) 0.384) = 7.74 \( \times \) 10–2/0.00774 (g).
(vi) \(\left( {\frac{{7.68 \times {{10}^{ - 2}}}}{{0.2015}} \times 100} \right) = 38.1\% \);
Answer must be given to three significant figures.
Examiners report
This was a data based question based on quantitative chemistry. Majority of candidates were able to gain almost full marks with some candidates failing to recognise that chlorine is the limiting reagent in part (a) (ii). Some candidates calculated percentage experimental error instead of percentage yield whereas some other candidates did not pay attention to significant digits.
In part (b), explaining the difference in the boiling points of Br2 and ICl in terms of the intermolecular forces presented a challenge to many candidates. Explanations were vague or unclear and in some cases incorrect in terms of the intermolecular forces present.
In part (c), calculations of moles of iodine occasionally saw the erroneous use of Avogadro’s constant.
Ethene belongs to the homologous series of the alkenes.
A bromoalkane, \({{\text{C}}_{\text{4}}}{{\text{H}}_{\text{9}}}{\text{Br}}\), reacts with a warm, aqueous sodium hydroxide solution, NaOH.
The time taken to produce a certain amount of product using different initial concentrations of \({{\text{C}}_{\text{4}}}{{\text{H}}_{\text{9}}}{\text{Br}}\) and NaOH is measured. The results are shown in the following table.

Outline three features of a homologous series.
Describe a test to distinguish ethene from ethane, including what is observed in each case.
Bromoethane can be produced either from ethene or from ethane. State an equation for each reaction.
State the equation for the reaction of \({{\text{C}}_{\text{4}}}{{\text{H}}_{\text{9}}}{\text{Br}}\) with NaOH.
Suggest what would happen to the pH of the solution as the reaction proceeds.
Deduce the effect of the concentration of \({{\text{C}}_{\text{4}}}{{\text{H}}_{\text{9}}}{\text{Br}}\) and NaOH on the rate of reaction.
C4H9Br:
NaOH:
Suggest why warm sodium hydroxide solution is used.
Deduce whether C4H9Br is a primary or tertiary halogenoalkane.
Determine the structural formula of C4H9Br.
Describe, using an equation, how \({{\text{C}}_{\text{4}}}{{\text{H}}_{\text{9}}}{\text{Br}}\) can be converted into \({{\text{C}}_{\text{4}}}{{\text{H}}_{\text{8}}}{\text{B}}{{\text{r}}_{\text{2}}}\).
Explain the mechanism for the reaction in (c) of \({{\text{C}}_{\text{4}}}{{\text{H}}_{\text{9}}}{\text{Br}}\) with NaOH, using curly arrows to represent the movement of electron pairs.
Markscheme
same functional group / same general formula;
difference between successive members is \({\text{C}}{{\text{H}}_{\text{2}}}\);
similar chemical properties;
Do not accept “same” chemical properties.
gradually changing physical properties;
adding bromine (water);
ethene: brown/orange to colourless / decolourizes bromine water and
ethane: does not change colour;
OR
adding acidified potassium permanganate solution/\({\text{KMn}}{{\text{O}}_{\text{4}}}{\text{(aq)}}\);
ethene: purple to colourless/brown and
ethane: does not change colour;
OR
adding Baeyer’s reagent;
ethene: purple/pink to brown and
ethane: does not change colour;
Do not accept “clear” or “transparent” for “colourless”.
\({{\text{C}}_{\text{2}}}{{\text{H}}_{\text{4}}} + {\text{HBr}} \to {{\text{C}}_{\text{2}}}{{\text{H}}_{\text{5}}}{\text{Br}}\);
\({{\text{C}}_2}{{\text{H}}_6} + {\text{B}}{{\text{r}}_2} \to {{\text{C}}_2}{{\text{H}}_5}{\text{Br}} + {\text{HBr}}\);
Accept structural formulas.
Penalise missing H atoms or incorrect bonds (such as C–HO, C–H2C) in structural formulas only once in the paper.
\({{\text{C}}_4}{{\text{H}}_9}{\text{Br}} + {\text{O}}{{\text{H}}^ - } \to {{\text{C}}_4}{{\text{H}}_9}{\text{OH}} + {\text{B}}{{\text{r}}^ - }\);
Accept NaOH in the equation.
decreases;
C4H9Br:
[C4H9Br] doubles and time halves/rate doubles / rate proportional to [C4H9Br];
Do not accept rate increases when [C4H9Br] increases.
NaOH:
[NaOH] doubles and time/rate does not change / rate independent of [NaOH];
increases rate;
Accept increases number of collisions.
rate depends on \({\text{[}}{{\text{C}}_{\text{4}}}{{\text{H}}_{\text{9}}}{\text{Br]}}\) only / rate does not depend on \({\text{[O}}{{\text{H}}^ - }{\text{]}}\) / \({{\text{S}}_{\text{N}}}{\text{1}}\) reaction /
first order reaction / if it was primary, reaction would be \({{\text{S}}_{\text{N}}}{\text{2}}\);
tertiary;
Accept ECF.
\({{\text{(C}}{{\text{H}}_{\text{3}}}{\text{)}}_{\text{3}}}{\text{CBr}}\);
Allow both condensed and full structural formula.
Accept ECF.
\({{\text{C}}_{\text{4}}}{{\text{H}}_{\text{9}}}{\text{Br}} + {\text{B}}{{\text{r}}_{\text{2}}} \to {{\text{C}}_{\text{4}}}{{\text{H}}_{\text{8}}}{\text{B}}{{\text{r}}_{\text{2}}} + {\text{HBr}}\);

curly arrow showing \({\text{B}}{{\text{r}}^ - }\) leaving;
representation of tertiary carbocation;
curly arrow going from lone pair/negative charge on O in \(^ - {\text{OH}}\) to \({{\text{C}}^ + }\);
Do not allow arrow originating on H in –OH.
formation of \({{\text{(C}}{{\text{H}}_{\text{3}}}{\text{)}}_{\text{3}}}{\text{COH}}\) and \({\text{B}}{{\text{r}}^ - }\);
Accept Br– anywhere on product side in the reaction scheme.
If primary halogenoalkane has been answered in (c)(iii) apply ECF for the mechanism:

curly arrow going from lone pair/negative charge on O in \(^ - {\text{OH}}\) to C;
Do not allow curly arrow originating on H in –OH.
curly arrow showing \({\text{B}}{{\text{r}}^ - }\) leaving;
Accept curly arrow either going from bond between C and Br to Br in bromobutane or in the transition state.
representation of transition state showing negative charge, square brackets and partial bond;
Do not penalize if HO and Br are not at 180° to each other.
Do not award M3 if OH—C bond is represented.
formation of organic product \({{\text{C}}_{\text{4}}}{{\text{H}}_{\text{9}}}{\text{OH}}\) and \({\text{B}}{{\text{r}}^ - }\);
Accept Br– anywhere on product side in the reaction scheme.
Examiners report
Students had surprisingly difficulties to name the features of a homologous series. Common mistakes were to say SAME chemical or physical properties or same empirical/molecular/structural formula.
Most candidates did well describing the test to distinguish alkanes and alkenes.
The formation of dibromobutane was a common error.
The equation for the reaction of the \({{\text{C}}_{\text{4}}}{{\text{H}}_{\text{9}}}{\text{Br}}\) with NaOH presented no problem.
Some did not realize that pH decreases as NaOH is reacting, often referring as the pH would become more neutral.
Candidates could deduce that the concentration of NaOH does not affect the rate, but could not accurately explain and quantify the relationship between the concentration of C4H9Br and the rate of reaction. Time and rate were often confused.
This was well answered.
Very few candidates could relate rate information to deduce that \({{\text{C}}_{\text{4}}}{{\text{H}}_{\text{9}}}{\text{Br}}\) was tertiary.
The structural formula was generally gained by ECF.
Students did not have problems with the equation.
Mechanism with curly arrows was done very poorly, students confused \({{\text{S}}_{\text{N}}}{\text{1}}\) and \({{\text{S}}_{\text{N}}}{\text{2}}\) mechanisms, drew arrows that did not show clearly origin and end or did not draw any arrow at all.
Magnesium has three stable isotopes, \(^{{\text{24}}}{\text{Mg}}\), \(^{{\text{25}}}{\text{Mg}}\) and \(^{{\text{26}}}{\text{Mg}}\). The relative abundance of each isotope is 78.99%, 10.00% and 11.01% respectively, and can be determined using a mass spectrometer.

(i) Define the term relative atomic mass.
(ii) Calculate, showing your working, the relative atomic mass, \({A_{\text{r}}}\), of magnesium, giving your answer to two decimal places.
Markscheme
(i) ratio of average/mean mass of atom to \(\frac{{\text{1}}}{{{\text{12}}}}\) of mass of C–12 (isotope) / average/mean mass of atom on scale where one atom of C–12 has mass of 12 / weighted average/mean mass of isotopes of element compared to \(\frac{{\text{1}}}{{{\text{12}}}}\) of mass of C–12 / OWTTE;
Award no mark if “element” is used instead of “atom” in first two alternatives.
Allow “mass of an atom relative to the mass of \(\frac{1}{{12}}\) of C–12”.
(ii) \(({A_{\text{r}}} = ){\text{ }}0.7899 \times 24 + 0.1000 \times 25 + 0.1101 \times 26\);
24.32;
Award [2] for correct final answer.
Award [1 max] for 24.31 with correct working.
Award [0] for 24.31 (Data Booklet value) if working is incorrect or no working is shown.
Final answer must be to 2 decimal places to score [2].
Examiners report
In 2(a) the processes in the spectrometer were generally well described although many candidates did not mention that positive ions are formed. Relative atomic mass was defined poorly in (b)(i) but the atomic mass was generally calculated correctly. Most candidates gave their answers to the required two decimal places. Even though relative atomic mass was asked for, most candidates stated units for \({A_{\text{r}}}\).
Both sodium and sodium chloride can conduct electricity.
Compare how electric current passes through sodium and sodium chloride by completing the table below.

Sodium can be obtained by electrolysis from molten sodium chloride. Describe, using a diagram, the essential components of this electrolytic cell.
Markscheme

Award [1] for each feature that is correct for both sodium and sodium chloride.
Accept equation or half-equations for the reaction of sodium chloride in “reaction occurring”.

clear diagram containing all elements (power supply, connecting wires, electrodes, container and electrolyte);
labelled positive electrode/anode and negative electrode/cathode;
Accept positive and negative by correct symbols near power supply.
Accept power supply if shown as conventional long/short lines (as in diagram above) or clearly labelled DC power supply.
labelled electrolyte/NaCl(l);
State of NaCl not needed.
Examiners report
Very poorly answered. The state of matter received most marks, conducting particles seldom correct and reaction occurring generally misunderstood by candidates.
Diagrams were very poorly drawn, many without power supplies and the wires within the electrolyte. The electrodes were often mis-signed as Na and/or Cl. Many candidates seem to confuse voltaic cells with electrolytic cells.
Methanol is made in large quantities as it is used in the production of polymers and in fuels. The enthalpy of combustion of methanol can be determined theoretically or experimentally.
\[{\text{C}}{{\text{H}}_3}{\text{OH(l)}} + {\text{1}}\frac{1}{2}{{\text{O}}_2}{\text{(g)}} \to {\text{C}}{{\text{O}}_2}{\text{(g)}} + {\text{2}}{{\text{H}}_2}{\text{O(g)}}\]
The enthalpy of combustion of methanol can also be determined experimentally in a school laboratory. A burner containing methanol was weighed and used to heat water in a test tube as illustrated below.

The following data were collected.

The Data Booklet value for the enthalpy of combustion of methanol is \( - {\text{726 kJ}}\,{\text{mo}}{{\text{l}}^{ - 1}}\). Suggest why this value differs from the values calculated in parts (a) and (b).
Using the information from Table 10 of the Data Booklet, determine the theoretical enthalpy of combustion of methanol.
Calculate the amount, in mol, of methanol burned.
Calculate the heat absorbed, in kJ, by the water.
Determine the enthalpy change, in \({\text{kJ}}\,{\text{mo}}{{\text{l}}^{ - 1}}\), for the combustion of 1 mole of methanol.
Part (a)
Part (b)
Markscheme
amount of energy required to break bonds of reactants
\(3 \times 413 + 358 + 464 + 1.5 \times 498{\text{ (kJ}}\,{\text{mo}}{{\text{l}}^{ - 1}}{\text{)}}/2808{\text{ (kJ}}\,{\text{mo}}{{\text{l}}^{ - 1}}{\text{)}}\);
amount of energy released during bond formation of products
\(4 \times 464 + 2 \times 746{\text{ (kJ}}\,{\text{mo}}{{\text{l}}^{ - 1}}{\text{)}}/3348{\text{ (kJ}}\,{\text{mo}}{{\text{l}}^{ - 1}}{\text{)}}\);
\(\Delta H = - 540{\text{ (kJ}}\,{\text{mo}}{{\text{l}}^{ - 1}}{\text{)}}\);
Award [3] for correct final answer.
Award [2] for (+)540.
If old Data Booklet is used accept answer: –535 (kJ\(\,\)mol–1) or award [2] for (+)535.
\(m{\text{(methanol)}} = (80.557 - 80.034) = 0.523{\text{ (g)}}\);
\(n{\text{(methanol)}} = \left( {\frac{{0.523{\text{ g}}}}{{32.05{\text{ g}}\,{\text{mo}}{{\text{l}}^{ - 1}}}}} \right) = 0.0163{\text{ (mol)}}\);
Award [2] for correct final answer.
\(\Delta T = (26.4 - 21.5) = 4.9{\text{ (K)}}\);
\(q = (mc\Delta T = ){\text{ }}20.000 \times 4.18 \times 4.9{\text{ (J)}}/20.000 \times 4.18 \times 4.9 \times {10^{ - 3}}{\text{ (kJ)}}\);
0.41 (kJ);
Award [3] for correct final answer.
\(\Delta H_{\text{c}}^\Theta = - \frac{{0.41{\text{ (kJ)}}}}{{0.0163{\text{ (mol)}}}}/ - 25153{\text{ (J}}\,{\text{mo}}{{\text{l}}^{ - 1}}{\text{)}}\);
\( = - 25{\text{ (kJ}}\,{\text{mo}}{{\text{l}}^{ - 1}}{\text{)}}\);
Award [2] for correct final answer.
Award [1] for (+)25 (kJ\(\,\)mol–1).
bond enthalpies are average values/differ (slightly) from one compound to another (depending on the neighbouring atoms) / methanol is liquid not gas in the reaction;
not all heat produced transferred to water / heat lost to surroundings/environment / OWTTE / incomplete combustion (of methanol) / water forms as \({\text{ }}{{\text{H}}_2}{\text{O(l)}}\) instead of \({{\text{H}}_2}{\text{O(g)}}\);
Do not allow just “heat lost”.
Examiners report
Many errors were seen in part (a). Candidates used the wrong values from the Data Booklet, wrong coefficients were used and not all the correct bonds were selected. Some candidates also reversed the final calculation to get an endothermic enthalpy rather than an exothermic enthalpy or made careless arithmetic errors.
Candidates were proficient at correctly calculating the number of mole methanol burnt.
Candidates did not use the expression \(q = mc\Delta T\) well.
Again numerous errors were seen here with candidates using the mass of methanol rather than water, adding 273 to the temperature change calculated and not converting J to kJ. Some candidates did not recognise that the combustion of methanol is exothermic and hence did not include the negative sign for the enthalpy change.
Part (c) was generally well done, however candidates often just stated that ‘heat was lost’ in part (ii). A more detail response was expected, e.g. heat was lost to surroundings.
Part (c) was generally well done, however candidates often just stated that ‘heat was lost’ in part (ii). A more detail response was expected, e.g. heat was lost to surroundings.
The graph below shows pressure and volume data collected for a sample of carbon dioxide gas at 330 K.

Draw a best-fit curve for the data on the graph.
Deduce the relationship between the pressure and volume of the sample of carbon dioxide gas.
Use the data point labelled X to determine the amount, in mol, of carbon dioxide gas in the sample.
Markscheme
smooth curve through the data;
Do not accept a curve that passes through all of the points or an answer that joins the points using lines.
inversely proportional / \({\text{V}}\alpha \frac{{\text{1}}}{{\text{p}}}\) / \({\text{P}}\alpha \frac{{\text{1}}}{{\text{V}}}\) ;
Accept inverse/negative correlation/relationship.
Do not accept \({\text{V}} = \frac{{\text{1}}}{{\text{p}}}\) / \({\text{P}} = \frac{{\text{1}}}{{\text{V}}}\) or descriptions like “one goes up as other goes down” / OWTTE.
\(p = 21 \times {10^5}/2.1 \times {10^6}{\text{ (Pa)}}/2.1 \times {10^3}{\text{ (kPa)}}\) and
\(V = 50 \times {10^{ - 6}}/5.0 \times {10^{ - 5}}{\text{ }}({{\text{m}}^3})/5.0 \times {10^{ - 2}}{\text{ }}({\text{d}}{{\text{m}}^3})\);
\(\left( {n = \frac{{pV}}{{RT}} = } \right){\text{ }}\frac{{2.1 \times {{10}^6} \times 5.0 \times {{10}^{ - 5}}}}{{8.31 \times 330}}\);
\(n = 0.038{\text{ (mol)}}\);
Award [3] for correct final answer.
For M3 apply ECF for correct computation of the equation the student has written, unless more than one mistake is made prior this point.
Examiners report
Almost all candidates gained the mark for drawing a best-fit curve through the data points on the graph, though some insisted in trying to put a straight line through obviously non-linear data. Many students identified the inverse proportionality of pressure and volume in Part (b), though the terminology often lacked precision. Most students could identify the correct equation to use in Part (c) in order to calculate the amount of gas from the specified data point, though quite often they had problems with units, either as a result of incorrectly reading the axis on the graph or as a result of conversion.
Almost all candidates gained the mark for drawing a best-fit curve through the data points on the graph, though some insisted in trying to put a straight line through obviously non-linear data. Many students identified the inverse proportionality of pressure and volume in Part (b), though the terminology often lacked precision. Most students could identify the correct equation to use in Part (c) in order to calculate the amount of gas from the specified data point, though quite often they had problems with units, either as a result of incorrectly reading the axis on the graph or as a result of conversion.
Almost all candidates gained the mark for drawing a best-fit curve through the data points on the graph, though some insisted in trying to put a straight line through obviously non-linear data. Many students identified the inverse proportionality of pressure and volume in Part (b), though the terminology often lacked precision. Most students could identify the correct equation to use in Part (c) in order to calculate the amount of gas from the specified data point, though quite often they had problems with units, either as a result of incorrectly reading the axis on the graph or as a result of conversion.
The element antimony, Sb, is usually found in nature as its sulfide ore, stibnite, \({\text{S}}{{\text{b}}_{\text{2}}}{{\text{S}}_{\text{3}}}\). This ore was used two thousand years ago by ancient Egyptian women as a cosmetic to darken their eyes and eyelashes.
One method of extracting antimony from its sulfide ore is to roast the stibnite in air. This forms antimony oxide and sulfur dioxide. The antimony oxide is then reduced by carbon to form the free element.
Deduce the oxidation number of antimony in stibnite.
Deduce one other common oxidation number exhibited by antimony in some of its compounds.
Deduce the chemical equations for these two reactions.
Markscheme
+3;
Do not accept 3, 3+ or the use of Roman numerals.
+5 / –3;
Penalize incorrect format only if not penalized in (a)(i).
\({\text{S}}{{\text{b}}_2}{{\text{S}}_3} + {\text{4}}\frac{1}{2}{{\text{O}}_2} \to {\text{S}}{{\text{b}}_2}{{\text{O}}_3} + {\text{3S}}{{\text{O}}_2}/{\text{2S}}{{\text{b}}_2}{{\text{S}}_3} + {\text{9}}{{\text{O}}_2} \to {\text{2S}}{{\text{b}}_2}{{\text{O}}_3} + {\text{6S}}{{\text{O}}_2}\);
\({\text{2S}}{{\text{b}}_2}{{\text{O}}_3} + {\text{3C}} \to {\text{4Sb}} + {\text{3C}}{{\text{O}}_2}/{\text{S}}{{\text{b}}_2}{{\text{O}}_3} + {\text{3C}} \to {\text{2Sb}} + {\text{3CO}}\);
Ignore state symbols.
Examiners report
This question proved difficult to candidates as the antimony was unfamiliar to them. However they were expected to just apply what they already knew about other members of the group such as nitrogen and phosphorous. Those that could calculate the oxidation state of antinomy in stibnite often forgot to add the + charge.
Writing the chemical equations proved difficult for candidates but again many picked up 1 out of 2 marks as ecf was applied.
Ethanol has many industrial uses.
(i) State an equation for the formation of ethanol from ethene and the necessary reaction conditions.
Equation:
Conditions:
(ii) Deduce the volume of ethanol, in dm3, produced from \({\text{1.5 d}}{{\text{m}}^{\text{3}}}\) of ethene, assuming both are gaseous and at the same temperature and pressure.
Define the term average bond enthalpy.
Ethanol can be used as a fuel. Determine the enthalpy of combustion of ethanol at 298 K, in \({\text{kJ}}\,{\text{mo}}{{\text{l}}^{ - 1}}\), using the values in table 10 of the data booklet, assuming all reactants and products are gaseous.
Suggest why the value of the enthalpy of combustion of ethanol quoted in table 12 of the data booklet is different to that calculated using bond enthalpies.
Explain why the reaction is exothermic in terms of the bonds involved.
Identify the homologous series to which ethanol belongs and state two features of a homologous series.
Markscheme
(i) Equation:
\({\text{C}}{{\text{H}}_{\text{2}}}{\text{C}}{{\text{H}}_{\text{2}}} + {{\text{H}}_{\text{2}}}{\text{O}} \to {\text{C}}{{\text{H}}_{\text{3}}}{\text{C}}{{\text{H}}_{\text{2}}}{\text{OH}}/{{\text{C}}_2}{{\text{H}}_4} + {{\text{H}}_2}{\text{O}} \to {{\text{C}}_2}{{\text{H}}_5}{\text{OH}}\);
Conditions:
(concentrated) sulfuric acid/\({{\text{H}}_2}{\text{S}}{{\text{O}}_{\text{4}}}\);
Do not accept dilute sulfuric acid.
Accept phosphoric acid/H3PO4 (on pellets of silicon dioxide) (for industrial preparation).
heat / high temperature;
Do not accept warm.
Accept high pressure (for industrial preparation) for M3 only if H3PO4 is given for M2.
(ii) \({\text{1.5 (d}}{{\text{m}}^{\text{3}}}{\text{)}}\);
energy needed to break (1 mol of) a bond in the gaseous state/phase;
(averaged over) similar compounds;
Do not accept “similar bonds” instead of “similar compounds”.
Concept of “similar” is important for M2.
\({\text{C}}{{\text{H}}_3}{\text{C}}{{\text{H}}_2}{\text{OH}} + {\text{3}}{{\text{O}}_2} \to {\text{2C}}{{\text{O}}_2} + {\text{3}}{{\text{H}}_2}{\text{O}}\);
Bonds broken:
\({\text{347}} + {\text{(5}} \times {\text{413)}} + {\text{358}} + {\text{464}} + {\text{(3}} \times {\text{498)}}/{\text{4728 (kJ)}}/\)
C–C + 5C–H + C–O + O–H + 3O=O;
Bonds made:
\((4 \times 746) + (6 \times 464)/5768{\text{ (kJ)}}/\) 4C=O + 6O—H;
\(\Delta H = (4728 - 5768 = ) - 1040{\text{ (kJ}}\,{\text{mo}}{{\text{l}}^{ - 1}}{\text{)}}\) / bonds broken − bonds formed;
Award [4] for correct final answer.
Award [3] for (+)1040 (kJ mol–1).
ethanol and water are liquids / not all molecules are gaseous / in enthalpy of combustion molecules are in their standard states / bond enthalpies are average values;
Do not accept answer “ethanol/water is a liquid” alone.
less energy required to break bonds in reactants than is released when the bonds in products form / bonds stronger (overall) in products/weaker (overall) in reactants;
alcohols / alkanols;
Any two of the following for [2 max]:
differ by CH2/methylene (unit);
similar chemical properties;
gradually changing physical properties;
same general formula;
same functional group;
Do not accept “same” instead of “similar”, or vice-versa.
Examiners report
This was not a popular question with few candidates choosing it. Some who chose it did very well but most scored poorly. Students needed to write an equation for the hydration of ethene which was generally answered well and then state the conditions, which were less well known. Applying Avogadro's law to work out the volume of ethanol was only correctly answered by a few. The definition for bond enthalpy was not well known, however many candidates could calculate the energy change using bond enthalpies with some success although there were few completely correct answers as bonds were forgotten or incorrectly multiplied.
This was not a popular question with few candidates choosing it. Some who chose it did very well but most scored poorly. Students needed to write an equation for the hydration of ethene which was generally answered well and then state the conditions, which were less well known. Applying Avogadro's law to work out the volume of ethanol was only correctly answered by a few. The definition for bond enthalpy was not well known, however many candidates could calculate the energy change using bond enthalpies with some success, although there were few completely correct answers as bonds were forgotten or incorrectly multiplied.
This was not a popular question with few candidates choosing it. Some who chose it did very well but most scored poorly. Students needed to write an equation for the hydration of ethene which was generally answered well and then state the conditions, which were less well known. Applying Avogadro's law to work out the volume of ethanol was only correctly answered by a few. The definition for bond enthalpy was not well known, however many candidates could calculate the energy change using bond enthalpies with some success, although there were few completely correct answers as bonds were forgotten or incorrectly multiplied.
This was not a popular question with few candidates choosing it. Some who chose it did very well but most scored poorly. Students needed to write an equation for the hydration of ethene which was generally answered well and then state the conditions, which were less well known. Applying Avogadro's law to work out the volume of ethanol was only correctly answered by a few. The definition for bond enthalpy was not well known, however many candidates could calculate the energy change using bond enthalpies with some success, although there were few completely correct answers as bonds were forgotten or incorrectly multiplied.
This was not a popular question with few candidates choosing it. Some who chose it did very well but most scored poorly. Students needed to write an equation for the hydration of ethene which was generally answered well and then state the conditions, which were less well known. Applying Avogadro's law to work out the volume of ethanol was only correctly answered by a few. The definition for bond enthalpy was not well known, however many candidates could calculate the energy change using bond enthalpies with some success, although there were few completely correct answers as bonds were forgotten or incorrectly multiplied.
This was not a popular question with few candidates choosing it. Some who chose it did very well but most scored poorly. Students needed to write an equation for the hydration of ethene which was generally answered well and then state the conditions, which were less well known. Applying Avogadro's law to work out the volume of ethanol was only correctly answered by a few. The definition for bond enthalpy was not well known, however many candidates could calculate the energy change using bond enthalpies with some success, although there were few completely correct answers as bonds were forgotten or incorrectly multiplied.
Cortisone is a therapeutic drug whose three-dimensional structure is represented below.


P
Menthol can be used in cough medicines. The compound contains 76.84% C, 12.92% H and 10.24% O by mass.
Identify the names of two functional groups present in cortisone.
1.
2.
Draw a circle around each of these two functional groups in the structure above and label them 1 and 2 as identified in (a) (i).
Describe what is meant by the term structural isomers.
Apply IUPAC rules to state the name of P.
X is a straight-chain structural isomer of P. Draw the structure of X.

Identify a suitable catalyst used in the reaction to form R.
P, CH3CH=CHCH3, reacts with HBr to form CH3CHBrCH2CH3. Suggest one suitable mechanism for the reaction of CH3CHBrCH2CH3 with aqueous sodium hydroxide, using curly arrows to represent the movement of electron pairs.
State the structural formula of the organic product formed, S, when Q is heated under reflux with acidified potassium dichromate(VI).
Apply IUPAC rules to state the name of this product, S.
P can undergo a polymerization reaction. Draw two repeating units of the resulting polymer.
Determine its empirical formula.
Determine its molecular formula given that its molar mass is \(M = 156.30{\text{ g}}\,{\text{mo}}{{\text{l}}^{ - 1}}\).
Markscheme
alkene;
alcohol;
Allow hydroxyl (group) but not hydroxide.
ketone;
Accept carbonyl.
correctly drawn circle around each of the two functional groups and labelled
1 and 2;
Mark can be scored for (ii) without labels (1 and 2) only if no answer is given in (i).
Apply ECF from (incorrect) functional groups in (i).
compounds with same molecular formula but different arrangements of atoms;
Allow compounds with same molecular formula but different structural formulas.
but-2-ene;
Allow 2-butene.
;
Q: CH3CH(OH)CH2CH ;
R: CH3CH2CH2CH3;
Condensed or full structural formulas may be given.
platinum / palladium / nickel;
Allow Pt / Pd / Ni.
Since secondary bromoalkane could be either SN1 and SN2 so allow SN1 or SN2 for M1 –M4.
SN1:

curly arrow showing Br leaving;
Do not allow arrow originating from C to C–Br bond.
representation of secondary carbocation;
curly arrow going from lone pair/negative charge on O in HO– to C+;
Do not allow arrow originating on H in OH–.
formation of CH3CH(OH)CH2CH3 and Br–;
Allow formation of NaBr instead of Br–.
OR
SN2:

curly arrow going from lone pair/negative charge on O in HO– to C;
Do not allow curly arrow originating on H in OH–.
curly arrow showing Br leaving;
Accept curly arrow either going from bond between C and Br to Br in 2-bromobutane or in the transition state.
Do not allow arrow originating from C to C – Br bond.
representation of transition state showing negative charge, square brackets and partial bonds;
Do not penalize if HO and Br are not at 180° to each other.
Do not award M3 if OH—C bond is represented.
formation of CH3CH(OH)CH2CH3 and Br–;
Allow formation of NaBr instead of Br–.
H3CCOCH2CH3;
Condensed or full structural formula may be given.
Apply ECF from (c)(iii).
butan-2-one;
Allow 2-butanone or butanone.
representation of polymer showing two repeating units;

Brackets not necessary but continuation bonds must be given.
No penalty if methyl groups given on same side.
\({n_C}:\left( {\frac{{76.84}}{{12.01}}} \right) = 6.398{\text{ mol}}\) and \({n_H}:\left( {\frac{{12.92}}{{1.01}}} \right) = 12.79{\text{ mol}}\) and
\({n_O}:\left( {\frac{{10.24}}{{16.00}}} \right) = 0.6400{\text{ mol}}\);
Allow integer values for atomic masses.
dividing across by lowest number to give integer values;
\({{\text{C}}_{10}}{{\text{H}}_{20}}{\text{O}}\);
Award [3] for correct final answer.
(\(M{\text{(}}{{\text{C}}_{10}}{{\text{H}}_{20}}{\text{O)}} = {\text{156.30 (g}}\,{\text{mo}}{{\text{l}}^{ - 1}}{\text{)}}\), therefore empirical formula = molecular
formula =) \({{\text{C}}_{10}}{{\text{H}}_{20}}{\text{O}}\);
Examiners report
Question 7 was answered by relatively few candidates, but those who chose this question were usually well-prepared. In a) (i) and (ii) most candidates correctly identified two functional groups in cortisone, but some incorrectly named the ketone group as an aldehyde.
Question 7 was answered by relatively few candidates, but those who chose this question were usually well-prepared. In a) (i) and (ii) most candidates correctly identified two functional groups in cortisone, but some incorrectly named the ketone group as an aldehyde.
In b) the definition of isomers was reasonably well answered.
Most correctly named but-2-ene in c) (i). Some mistakenly said butene which was insufficient.
In c) (ii) most candidates drew the structure of but-1-ene although some drew the original compound.
In c) (iii) several candidates identified the product as butan-1-ol rather than butan-2-ol.
Nearly all identified butane as the second compound and correctly identified a suitable catalyst for this reaction in (c) (iv).
The mechanism required in c) (v) was either SN1 or SN2. Several candidates produced very clear, correct mechanisms. A few lost marks for incorrectly having a curly arrow from H instead of O in the nucleophile, or for neglecting to show the curly arrow showing Br leaving, or for omitting the negative charge on the transition state in SN2.
In c) (vi) some candidates thought that an aldehyde formed from oxidation of an alcohol under reflux. Error carried forward was applied if candidates had given butan-1-ol as the product in c) (iii) and then drew and named butanoic acid here.
Drawing two repeating units of the polymer made from but-2-ene caused many problems in c) (viii).
Parts d) (i) and (ii) were extremely well answered with most candidates determining the empirical and molecular formulas correctly.
Parts d) (i) and (ii) were extremely well answered with most candidates determining the empirical and molecular formulas correctly.
0.100 g of magnesium ribbon is added to \({\text{50.0 c}}{{\text{m}}^{\text{3}}}\) of \({\text{1.00 mol}}\,{\text{d}}{{\text{m}}^{ - 3}}\) sulfuric acid to produce hydrogen gas and magnesium sulfate.
\[{\text{Mg(s)}} + {{\text{H}}_2}{\text{S}}{{\text{O}}_4}{\text{(aq)}} \to {{\text{H}}_2}{\text{(g)}} + {\text{MgS}}{{\text{O}}_4}{\text{(aq)}}\]
Magnesium sulfate can exist in either the hydrated form or in the anhydrous form. Two students wished to determine the enthalpy of hydration of anhydrous magnesium sulfate. They measured the initial and the highest temperature reached when anhydrous magnesium sulfate, \({\text{MgS}}{{\text{O}}_{\text{4}}}{\text{(s)}}\), was dissolved in water. They presented their results in the following table.

The students repeated the experiment using 6.16 g of solid hydrated magnesium sulfate, \({\text{MgS}}{{\text{O}}_{\text{4}}} \bullet {\text{7}}{{\text{H}}_{\text{2}}}{\text{O(s)}}\), and \({\text{50.0 c}}{{\text{m}}^{\text{3}}}\) of water. They found the enthalpy change, \(\Delta {H_2}\), to be \( + 18{\text{ kJ}}\,{\text{mo}}{{\text{l}}^{ - 1}}\).
The enthalpy of hydration of solid anhydrous magnesium sulfate is difficult to determine experimentally, but can be determined using the diagram below.

Magnesium sulfate is one of the products formed when acid rain reacts with dolomitic limestone. This limestone is a mixture of magnesium carbonate and calcium carbonate.
(i) The graph shows the volume of hydrogen produced against time under these experimental conditions.

Sketch two curves, labelled I and II, to show how the volume of hydrogen produced (under the same temperature and pressure) changes with time when:
I. using the same mass of magnesium powder instead of a piece of magnesium ribbon;
II. 0.100 g of magnesium ribbon is added to \({\text{50 c}}{{\text{m}}^{\text{3}}}\) of \({\text{0.500 mol}}\,{\text{d}}{{\text{m}}^{ - 3}}\) sulfuric acid.
(ii) Outline why it is better to measure the volume of hydrogen produced against time rather than the loss of mass of reactants against time.
(i) Calculate the amount, in mol, of anhydrous magnesium sulfate.
(ii) Calculate the enthalpy change, \(\Delta {H_1}\), for anhydrous magnesium sulfate dissolving in water, in \({\text{kJ}}\,{\text{mo}}{{\text{l}}^{ - 1}}\). State your answer to the correct number of significant figures.
(i) Determine the enthalpy change, \(\Delta H\), in \({\text{kJ}}\,{\text{mo}}{{\text{l}}^{ - 1}}\), for the hydration of solid anhydrous magnesium sulfate, \({\text{MgS}}{{\text{O}}_{\text{4}}}\).
(ii) The literature value for the enthalpy of hydration of anhydrous magnesium sulfate is \( - 103{\text{ kJ}}\,{\text{mo}}{{\text{l}}^{ - 1}}\). Calculate the percentage difference between the literature value and the value determined from experimental results, giving your answer to one decimal place. (If you did not obtain an answer for the experimental value in (c)(i) then use the value of \( - 100{\text{ kJ}}\,{\text{mo}}{{\text{l}}^{ - 1}}\), but this is not the correct value.)
Another group of students experimentally determined an enthalpy of hydration of \( - 95{\text{ kJ}}\,{\text{mo}}{{\text{l}}^{ - 1}}\). Outline two reasons which may explain the variation between the experimental and literature values.
(i) State the equation for the reaction of sulfuric acid with magnesium carbonate.
(ii) Deduce the Lewis (electron dot) structure of the carbonate ion, giving the shape and the oxygen-carbon-oxygen bond angle.
Lewis (electron dot) structure:
Shape:
Bond angle:
Markscheme
(i) 
I: line which is steeper/increases faster and finishes at the same height;
II: line which is less steep/increases more slowly and finishes at the same height;
(ii) mass of hydrogen produced is very small (so not accurate) / decrease in mass is very small (so not accurate);
(i) \(n({\text{MgS}}{{\text{O}}_4}) = \left( {\frac{{3.01}}{{120.37}} = } \right){\text{ }}0.0250{\text{ (mol)}}\);
(ii) energy released \( = 50.0 \times 4.18 \times 9.7 \times 2027{\text{ (J)}}/2.027{\text{ (kJ)}}\);
\(\Delta {H_1} = - 81{\text{ (kJ}}\,{\text{mo}}{{\text{l}}^{ - 1}}{\text{)}}\);
Award [2] for correct answer.
Award [2] if 53.01 is used giving an answer of –86 (kJ mol–1).
Award [1 max] for +81/81/+86/86 (kJ mol−1).
Award [1 max] for –81000/–86000 if units are stated as J mol−1.
Allow answers to 3 significant figures.
(i) \(\Delta H{\text{ }}( = \Delta {H_1} - \Delta {H_2}) = - 99{\text{ (kJ}}\,{\text{mo}}{{\text{l}}^{ - 1}})\);
Award [1] if –86 is used giving an answer of –104 (kJ mol−1).
(ii) \(\frac{{(103 - 99)}}{{103}} \times 100 = 3.9\% \);
Accept answer of 2.9 % if –100 used but only if a value for (b)(i) is not
present.
Award [1] if –104 is used giving an answer of 1.0% .
Accept correct answers which are not to 1 decimal place.
\({\text{MgS}}{{\text{O}}_{\text{4}}}\) not completely anhydrous / OWTTE;
\({\text{MgS}}{{\text{O}}_{\text{4}}}\) is impure;
heat loss to the atmosphere/surroundings;
specific heat capacity of solution is taken as that of pure water;
experiment was done once only so it is not scientific;
density of solution is taken to be \(1{\text{ g}}\,{\text{c}}{{\text{m}}^{ - 3}}\);
mass of \(7{{\text{H}}_2}{\text{O}}\) ignored in calculation;
uncertainty of thermometer is high so temperature change is unreliable;
literature values determined under standard conditions but this experiment is not;
all solid not dissolved;
(i) \({{\text{H}}_2}{\text{S}}{{\text{O}}_4}{\text{(aq)}} + {\text{MgC}}{{\text{O}}_3}{\text{(s)}} \to {\text{MgS}}{{\text{O}}_4}{\text{(aq)}} + {\text{C}}{{\text{O}}_2}{\text{(g)}} + {{\text{H}}_2}{\text{O(l)}}\);
Ignore state symbols.
Do not accept H2CO3.
(ii)
;
Accept crosses, lines or dots as electron pairs.
Accept any correct resonance structure.
Award [0] if structure is drawn without brackets and charge.
Award [0] if lone pairs not shown on O atoms.
shape: trigonal/triangular planar;
bond angle: 120°;
Accept answers trigonal/triangular planar and 120° if M1 incorrect, but no other answer should be given credit.
Examiners report
Many candidates could sketch correct curves in (a)(i), though many did not realize that the same final volume of hydrogen is formed. Lines were generally poorly drawn with several lines for one curve, and curve I often did not join smoothly with the given curve, but dropped near the end or overshot the final volume and then fell back down. Candidates are advised to draw graphs in pencil first. In (a)(ii), very few students indicated that because the mass of hydrogen is very small it is better to measure reaction rate using gas volume; most indicated that it is not precise because the mass of a mixture is measured. It seems that very few candidates are aware that measuring loss of mass per unit time is a valid tool for determining the rate of a reaction when \({\text{C}}{{\text{O}}_{\text{2}}}\) is produced. The moles of magnesium sulfate were mostly calculated correctly in (b)(i), but in (b)(ii) most candidates had problems calculating the enthalpy change, working with the mass of magnesium sulfate instead of water or solution and not giving the enthalpy change a negative sign. Several candidates only found the temperature change and called this the enthalpy change, or found the energy change and ignored the number of moles. Few candidates correctly applied Hess’s law in (c)(i). Some respondents felt that this was not on the SL course, but it is clearly stated in 5.3.1. Some candidates had no idea how to calculate the percentage difference in (c)(ii) and several left this blank despite a value being given for the experimental results for candidates to use if they had not found a value themselves. Quite a few others determined the percentage difference correctly. In (d) most candidates stated heat loss to the surroundings as an error, mentioning further irrelevant errors. Only the better candidates also referred to the partial hydration of the anhydrous salt. The equation for the reaction between sulfuric acid and magnesium carbonate was generally done well in (e)(i) but \({{\text{H}}_{\text{2}}}{\text{C}}{{\text{O}}_{\text{3}}}\) was frequently (incorrectly) given as a product. A few candidates did not know the formulas for sulfuric acid and magnesium carbonate. Very few candidates could give a correct Lewis structure for the carbonate ion in (ii). Some almost scored but failed to include brackets and charge. Some decided that the carbonate ion was a synonym for carbon dioxide and drew that. The formula for the carbonate ion should be known (assessment statement 4.1.7) and only one Lewis structure was required so students did not need to know about resonance structures. Shape and bond angle were also done poorly but there were a few candidates who knew the shape and bond angle of the carbonate ion even though they couldn’t draw the Lewis structure.
Many candidates could sketch correct curves in (a)(i), though many did not realize that the same final volume of hydrogen is formed. Lines were generally poorly drawn with several lines for one curve, and curve I often did not join smoothly with the given curve, but dropped near the end or overshot the final volume and then fell back down. Candidates are advised to draw graphs in pencil first. In (a)(ii), very few students indicated that because the mass of hydrogen is very small it is better to measure reaction rate using gas volume; most indicated that it is not precise because the mass of a mixture is measured. It seems that very few candidates are aware that measuring loss of mass per unit time is a valid tool for determining the rate of a reaction when \({\text{C}}{{\text{O}}_{\text{2}}}\) is produced. The moles of magnesium sulfate were mostly calculated correctly in (b)(i), but in (b)(ii) most candidates had problems calculating the enthalpy change, working with the mass of magnesium sulfate instead of water or solution and not giving the enthalpy change a negative sign. Several candidates only found the temperature change and called this the enthalpy change, or found the energy change and ignored the number of moles. Few candidates correctly applied Hess’s law in (c)(i). Some respondents felt that this was not on the SL course, but it is clearly stated in 5.3.1. Some candidates had no idea how to calculate the percentage difference in (c)(ii) and several left this blank despite a value being given for the experimental results for candidates to use if they had not found a value themselves. Quite a few others determined the percentage difference correctly. In (d) most candidates stated heat loss to the surroundings as an error, mentioning further irrelevant errors. Only the better candidates also referred to the partial hydration of the anhydrous salt. The equation for the reaction between sulfuric acid and magnesium carbonate was generally done well in (e)(i) but \({{\text{H}}_{\text{2}}}{\text{C}}{{\text{O}}_{\text{3}}}\) was frequently (incorrectly) given as a product. A few candidates did not know the formulas for sulfuric acid and magnesium carbonate. Very few candidates could give a correct Lewis structure for the carbonate ion in (ii). Some almost scored but failed to include brackets and charge. Some decided that the carbonate ion was a synonym for carbon dioxide and drew that. The formula for the carbonate ion should be known (assessment statement 4.1.7) and only one Lewis structure was required so students did not need to know about resonance structures. Shape and bond angle were also done poorly but there were a few candidates who knew the shape and bond angle of the carbonate ion even though they couldn’t draw the Lewis structure.
Many candidates could sketch correct curves in (a)(i), though many did not realize that the same final volume of hydrogen is formed. Lines were generally poorly drawn with several lines for one curve, and curve I often did not join smoothly with the given curve, but dropped near the end or overshot the final volume and then fell back down. Candidates are advised to draw graphs in pencil first. In (a)(ii), very few students indicated that because the mass of hydrogen is very small it is better to measure reaction rate using gas volume; most indicated that it is not precise because the mass of a mixture is measured. It seems that very few candidates are aware that measuring loss of mass per unit time is a valid tool for determining the rate of a reaction when \({\text{C}}{{\text{O}}_{\text{2}}}\) is produced. The moles of magnesium sulfate were mostly calculated correctly in (b)(i), but in (b)(ii) most candidates had problems calculating the enthalpy change, working with the mass of magnesium sulfate instead of water or solution and not giving the enthalpy change a negative sign. Several candidates only found the temperature change and called this the enthalpy change, or found the energy change and ignored the number of moles. Few candidates correctly applied Hess’s law in (c)(i). Some respondents felt that this was not on the SL course, but it is clearly stated in 5.3.1. Some candidates had no idea how to calculate the percentage difference in (c)(ii) and several left this blank despite a value being given for the experimental results for candidates to use if they had not found a value themselves. Quite a few others determined the percentage difference correctly. In (d) most candidates stated heat loss to the surroundings as an error, mentioning further irrelevant errors. Only the better candidates also referred to the partial hydration of the anhydrous salt. The equation for the reaction between sulfuric acid and magnesium carbonate was generally done well in (e)(i) but \({{\text{H}}_{\text{2}}}{\text{C}}{{\text{O}}_{\text{3}}}\) was frequently (incorrectly) given as a product. A few candidates did not know the formulas for sulfuric acid and magnesium carbonate. Very few candidates could give a correct Lewis structure for the carbonate ion in (ii). Some almost scored but failed to include brackets and charge. Some decided that the carbonate ion was a synonym for carbon dioxide and drew that. The formula for the carbonate ion should be known (assessment statement 4.1.7) and only one Lewis structure was required so students did not need to know about resonance structures. Shape and bond angle were also done poorly but there were a few candidates who knew the shape and bond angle of the carbonate ion even though they couldn’t draw the Lewis structure.
Many candidates could sketch correct curves in (a)(i), though many did not realize that the same final volume of hydrogen is formed. Lines were generally poorly drawn with several lines for one curve, and curve I often did not join smoothly with the given curve, but dropped near the end or overshot the final volume and then fell back down. Candidates are advised to draw graphs in pencil first. In (a)(ii), very few students indicated that because the mass of hydrogen is very small it is better to measure reaction rate using gas volume; most indicated that it is not precise because the mass of a mixture is measured. It seems that very few candidates are aware that measuring loss of mass per unit time is a valid tool for determining the rate of a reaction when \({\text{C}}{{\text{O}}_{\text{2}}}\) is produced. The moles of magnesium sulfate were mostly calculated correctly in (b)(i), but in (b)(ii) most candidates had problems calculating the enthalpy change, working with the mass of magnesium sulfate instead of water or solution and not giving the enthalpy change a negative sign. Several candidates only found the temperature change and called this the enthalpy change, or found the energy change and ignored the number of moles. Few candidates correctly applied Hess’s law in (c)(i). Some respondents felt that this was not on the SL course, but it is clearly stated in 5.3.1. Some candidates had no idea how to calculate the percentage difference in (c)(ii) and several left this blank despite a value being given for the experimental results for candidates to use if they had not found a value themselves. Quite a few others determined the percentage difference correctly. In (d) most candidates stated heat loss to the surroundings as an error, mentioning further irrelevant errors. Only the better candidates also referred to the partial hydration of the anhydrous salt. The equation for the reaction between sulfuric acid and magnesium carbonate was generally done well in (e)(i) but \({{\text{H}}_{\text{2}}}{\text{C}}{{\text{O}}_{\text{3}}}\) was frequently (incorrectly) given as a product. A few candidates did not know the formulas for sulfuric acid and magnesium carbonate. Very few candidates could give a correct Lewis structure for the carbonate ion in (ii). Some almost scored but failed to include brackets and charge. Some decided that the carbonate ion was a synonym for carbon dioxide and drew that. The formula for the carbonate ion should be known (assessment statement 4.1.7) and only one Lewis structure was required so students did not need to know about resonance structures. Shape and bond angle were also done poorly but there were a few candidates who knew the shape and bond angle of the carbonate ion even though they couldn’t draw the Lewis structure.
Many candidates could sketch correct curves in (a)(i), though many did not realize that the same final volume of hydrogen is formed. Lines were generally poorly drawn with several lines for one curve, and curve I often did not join smoothly with the given curve, but dropped near the end or overshot the final volume and then fell back down. Candidates are advised to draw graphs in pencil first. In (a)(ii), very few students indicated that because the mass of hydrogen is very small it is better to measure reaction rate using gas volume; most indicated that it is not precise because the mass of a mixture is measured. It seems that very few candidates are aware that measuring loss of mass per unit time is a valid tool for determining the rate of a reaction when \({\text{C}}{{\text{O}}_{\text{2}}}\) is produced. The moles of magnesium sulfate were mostly calculated correctly in (b)(i), but in (b)(ii) most candidates had problems calculating the enthalpy change, working with the mass of magnesium sulfate instead of water or solution and not giving the enthalpy change a negative sign. Several candidates only found the temperature change and called this the enthalpy change, or found the energy change and ignored the number of moles. Few candidates correctly applied Hess’s law in (c)(i). Some respondents felt that this was not on the SL course, but it is clearly stated in 5.3.1. Some candidates had no idea how to calculate the percentage difference in (c)(ii) and several left this blank despite a value being given for the experimental results for candidates to use if they had not found a value themselves. Quite a few others determined the percentage difference correctly. In (d) most candidates stated heat loss to the surroundings as an error, mentioning further irrelevant errors. Only the better candidates also referred to the partial hydration of the anhydrous salt. The equation for the reaction between sulfuric acid and magnesium carbonate was generally done well in (e)(i) but \({{\text{H}}_{\text{2}}}{\text{C}}{{\text{O}}_{\text{3}}}\) was frequently (incorrectly) given as a product. A few candidates did not know the formulas for sulfuric acid and magnesium carbonate. Very few candidates could give a correct Lewis structure for the carbonate ion in (ii). Some almost scored but failed to include brackets and charge. Some decided that the carbonate ion was a synonym for carbon dioxide and drew that. The formula for the carbonate ion should be known (assessment statement 4.1.7) and only one Lewis structure was required so students did not need to know about resonance structures. Shape and bond angle were also done poorly but there were a few candidates who knew the shape and bond angle of the carbonate ion even though they couldn’t draw the Lewis structure.
Smog is common in cities throughout the world. One component of smog is PAN (peroxyacylnitrate) which consists of 20.2% C, 11.4% N, 65.9% O and 2.50% H by mass. Determine the empirical formula of PAN, showing your working.
Markscheme

\({{\text{C}}_{\text{2}}}{\text{N}}{{\text{O}}_{\text{5}}}{{\text{H}}_{\text{3}}}\);
No penalty for use of 12, 1 and/or 14.
Award [1 max] if the empirical formula is correct, but no working shown.
Examiners report
It was pleasing to see the majority of candidates determine the correct empirical formula of PAN. Also, candidates showed the proper working with all the appropriate steps.
Impurities cause phosphine to ignite spontaneously in air to form an oxide of phosphorus and water.
(i) 200.0 g of air was heated by the energy from the complete combustion of 1.00 mol phosphine. Calculate the temperature rise using section 1 of the data booklet and the data below.
Standard enthalpy of combustion of phosphine,
Specific heat capacity of air = 1.00Jg−1K−1 = 1.00 kJkg−1K−1
(ii) The oxide formed in the reaction with air contains 43.6 % phosphorus by mass. Determine the empirical formula of the oxide, showing your method.
(iii) The molar mass of the oxide is approximately 285gmol−1. Determine the molecular formula of the oxide.
(i) State the equation for the reaction of this oxide of phosphorus with water.
(ii) Predict how dissolving an oxide of phosphorus would affect the pH and electrical conductivity of water.
pH:
Electrical conductivity:
(iii) Suggest why oxides of phosphorus are not major contributors to acid deposition.
(iv) The levels of sulfur dioxide, a major contributor to acid deposition, can be minimized by either pre-combustion and post-combustion methods. Outline one technique of each method.
Pre-combustion:
Post-combustion:
Markscheme
(i)
temperature rise «\(\frac{{750 \times 1.00}}{{0.2000 \times 1.00}}\)= 3750 «°C/K»
Do not accept −3750.
(ii)
n(P)«=\(\frac{{43.6}}{{30.97}}\)»=1.41«mol»
n(O)«=\(\frac{{100 - 43.6}}{{16.00}}\)»= 3.53«mol»
\(\frac{{n\left( {\rm{O}} \right)}}{{n\left( {\rm{P}} \right)}} = \frac{{3.53}}{{1.41}} = 2.50\) so empirical formula is» P2O5
Accept other methods where the working is shown.
(iii)
\(\frac{{285}}{{141.9}}\)=2.00, so molecular formula=2×P2O5=»P4O10
(i)
P4O10 (s) + 6H2O (l) → 4H3PO4 (aq)
Accept P4O10 (s) + 2H2O (l) → 4HPO3 (aq) (initial reaction)
Accept P2O5 (s) + 3H2O (l) → 2H3PO4 (aq)
Accept equations for P4O6 /P2O3 if given in a (iii).
Accept any ionized form of the acids as the products.
pH: decreases AND electrical conductivity: increases.
(iii)
phosphorus not commonly found in fuels
OR
no common pathways for phosphorus oxides to enter the air
OR
amount of phosphorus-containing organic matter undergoing anaerobic decomposition is small
Accept “phosphorus oxides are solids so are not easily distributed in the atmosphere”.
Accept “low levels of phosphorus oxide in the air”. Do not accept “H3PO4 is a weak acid”.
(iv)
Pre-combustion:
remove sulfur/S/sulfur containing compounds
Post-combustion:
remove it/SO2 by neutralization/reaction with alkali/base
Accept “lime injection fluidised bed combustion” for either, but not both.
Examiners report
A group of students investigated the rate of the reaction between aqueous sodium thiosulfate and hydrochloric acid according to the equation below.
\[{\text{N}}{{\text{a}}_2}{{\text{S}}_2}{{\text{O}}_3}{\text{(aq)}} + {\text{2HCl(aq)}} \to {\text{2NaCl(aq)}} + {\text{S}}{{\text{O}}_2}{\text{(g)}} + {\text{S(s)}} + {{\text{H}}_2}{\text{O(l)}}\]
The two reagents were rapidly mixed together in a beaker and placed over a mark on a piece of paper. The time taken for the precipitate of sulfur to obscure the mark when viewed through the reaction mixture was recorded.

Initially they measured out \({\text{10.0 c}}{{\text{m}}^{\text{3}}}\) of \({\text{0.500 mol}}\,{\text{d}}{{\text{m}}^{ - 3}}\) hydrochloric acid and then added \({\text{40.0 c}}{{\text{m}}^{\text{3}}}\) of \({\text{0.0200 mol}}\,{\text{d}}{{\text{m}}^{ - 3}}\) aqueous sodium thiosulfate. The mark on the paper was obscured 47 seconds after the solutions were mixed.
The teacher asked the students to measure the effect of halving the concentration of sodium thiosulfate on the rate of reaction.
The teacher asked the students to devise another technique to measure the rate of this reaction.
Another group suggested collecting the sulfur dioxide and drawing a graph of the volume of gas against time.
The teacher made up \({\text{2.50 d}}{{\text{m}}^{\text{3}}}\) of the sodium thiosulfate solution using sodium thiosulfate pentahydrate crystals, \({\text{N}}{{\text{a}}_2}{{\text{S}}_{\text{2}}}{{\text{O}}_{\text{3}}} \bullet {\text{5}}{{\text{H}}_{\text{2}}}{\text{O}}\). Calculate the required mass of these crystals.
(i) State the volumes of the liquids that should be mixed.

(ii) State why it is important that the students use a similar beaker for both reactions.
(iii) Explain, in terms of the collision theory, how decreasing the concentration of sodium thiosulfate would affect the time taken for the mark to be obscured.
(i) Sketch and label, indicating an approximate activation energy, the Maxwell–Boltzmann energy distribution curves for two temperatures, \({T_1}\) and \({T_2}{\text{ }}({T_2} > {T_1})\), at which the rate of reaction would be significantly different.

(ii) Explain why increasing the temperature of the reaction mixture would significantly increase the rate of the reaction.
(i) One group suggested recording how long it takes for the pH of the solution to change by one unit. Calculate the initial pH of the original reaction mixture.
(ii) Deduce the percentage of hydrochloric acid that would have to be used up for the pH to change by one unit.
(i) Calculate the volume of sulfur dioxide, in \({\text{c}}{{\text{m}}^{\text{3}}}\), that the original reaction mixture would produce if it were collected at \(1.00 \times {10^5}{\text{ Pa}}\) and 300 K.
(ii) Suggest why it is better to use a gas syringe rather than collecting the gas in a measuring cylinder over water.
Markscheme
\({\text{mol N}}{{\text{a}}_{\text{2}}}{{\text{S}}_{\text{2}}}{{\text{O}}_{\text{3}}}( = 2.50 \times 0.0200) = 0.0500\);
\({{\text{M}}_{\text{r}}}{\text{N}}{{\text{a}}_2}{{\text{S}}_2}{{\text{O}}_3} \bullet {\text{5}}{{\text{H}}_2}{\text{O}}\left( { = (2 \times 22.99) + (2 \times 32.06) + (3 \times 16.00) + (5 \times 18.02)} \right) = 248.20\);
Allow 248.
\({\text{mass N}}{{\text{a}}_2}{{\text{S}}_2}{{\text{O}}_3} \bullet {\text{5}}{{\text{H}}_2}{\text{O}} = (0.0500 \times 248.20) = 12.4{\text{ g}}\);
Award [3] for correct final answer.
Award [2] for 7.91g (water of crystallization omitted in \({M_r}\) calculation).
(i)
;
Accept other volumes in a 1:2:2 ratio.
(ii) depth of liquid in the beaker must remain constant / OWTTE;
Accept “same thickness of glass” and any other valid point, such as answers framed around minimizing uncontrolled variables / making it a “fair test”.
(iii) increases the time;
decrease in collision frequency/number of collisions per unit time;
Do not award mark for decrease in number of collisions.
(i) 
labelled y-axis: number of particles / probability of particles (with that kinetic energy) and labelled x-axis: (kinetic) energy;
Allow fraction/proportion/amount of particles (with kinetic energy) for y-axis label.
Allow speed/velocity for x-axis label.
T2 curve broader and with maximum lower and to right of T1 curve;
Do not award this mark if both curves not asymmetric.
Curves must pass through the origin and be asymptotic to x axis.
Do not award this mark if curves not labelled.
\({E_{\text{a}}}\) marked on graph;
(ii) kinetic energy of molecules increases;
This may be answered implicitly in the final marking point.
frequency of collision/number of collisions per unit time increases;
Only penalize use of “number of collisions” if not penalized in (b)(iii).
greater proportion of molecules have energy greater than/equal to activation energy / rate related to temperature by the Arrhenius equation;
Award [1 max] for statements such as “there will be more successful collisions” if neither of last two marking points awarded.
(i) \({\text{[}}{{\text{H}}^ + }{\text{]}} = 0.5 \times \frac{{10}}{{{\text{50}}}} = 0.1{\text{ (mol}}\,{\text{d}}{{\text{m}}^{ - 3}}{\text{)}}\);
\({\text{pH }}\left( { = - \log {\text{[}}{{\text{H}}^ + }{\text{]}} = - \log (0.10)} \right) = 1\);
(ii) 90%;
(i) \({\text{mol N}}{{\text{a}}_2}{{\text{S}}_2}{{\text{O}}_3} = {\text{mol S}}{{\text{O}}_2} = 0.0400 \times 0.0200 = 0.000800\);
\(V = \frac{{n \times R \times T}}{P}/\frac{{0.000800 \times 8.31 \times 300}}{{{{10}^5}}}\);
\((1.99 \times {10^{ - 5}}{\text{ }}{{\text{m}}^3}) = 19.9{\text{ }}({\text{c}}{{\text{m}}^3})\);
Award [3] for correct final answer.
Accept 20.0 cm3 if R = 8.314 is used.
Award [2] for 17.9 cm3 or 19.2 cm3 (result from using molar volume at standard temperature and pressure or at room temperature and pressure).
OR
\({\text{mol N}}{{\text{a}}_2}{{\text{S}}_2}{{\text{O}}_3} = {\text{mol S}}{{\text{O}}_2} = 0.0400 \times 0.0200 = 0.000800\);
\(V = 0.00080 \times 2.24 \times {10^{ - 2}} \times \left[ {\frac{{1.00 \times {{10}^5}}}{{1.01 \times {{10}^5}}}} \right] \times \frac{{300}}{{273}}\);
\((1.95 \times {10^{ - 5}}{\text{ }}{{\text{m}}^3}) = 19.5{\text{ }}({\text{c}}{{\text{m}}^3})\);
Award [3] for correct final answer.
Deduct [1] for answers based on amount of HCl, so correct calculation would score [2 max].
(ii) sulfur dioxide is soluble in water;
Accept other reasonable responses based on sound chemistry.
Accept “syringe more accurate/precise” or “less gas escapes”.
Examiners report
This was quite a popular question, but responses were mixed. As in question 1, students struggled to answer questions with a strong practical context, with very few able to devise a mixture that would halve the concentration of thiosulfate, whilst keeping other concentrations constant, and responses for the need for similar beakers to be used were often too vague. Explanations of changes of rates in terms of the collision theory were generally successful but a significant number referred to the “number” rather than “frequency” of collisions. Many candidates were able to sketch Maxwell–Boltzmann distribution curves for the two temperatures, \({T_1}\) and \({T_2}\), but marks were lost due to careless omissions; the graphs did not start at the origin, were not labelled or the activation energy was missing. Many struggled to calculate the pH and many teachers have commented that this question was beyond what is expected at Standard Level and it is acknowledged that the question would have been more accessible if candidates had been asked to calculate the concentration of \({{\text{H}}^ + }\) ions and state the pH. In part (e) many students could quote and substitute into the ideal gas equation, correctly converting the temperature to Kelvin, but converting from \({{\text{m}}^{\text{3}}}\) to \({\text{c}}{{\text{m}}^{\text{3}}}\) posed a problem for most candidates. Although not necessary for the mark, as answers which referred to improved accuracy and precision were accepted, most candidates did not refer to the solubility of sulfur dioxide as a problem when using measuring cylinders to measure its volume.
This was quite a popular question, but responses were mixed. As in question 1, students struggled to answer questions with a strong practical context, with very few able to devise a mixture that would halve the concentration of thiosulfate, whilst keeping other concentrations constant, and responses for the need for similar beakers to be used were often too vague. Explanations of changes of rates in terms of the collision theory were generally successful but a significant number referred to the “number” rather than “frequency” of collisions. Many candidates were able to sketch Maxwell–Boltzmann distribution curves for the two temperatures, \({T_1}\) and \({T_2}\), but marks were lost due to careless omissions; the graphs did not start at the origin, were not labelled or the activation energy was missing. Many struggled to calculate the pH and many teachers have commented that this question was beyond what is expected at Standard Level and it is acknowledged that the question would have been more accessible if candidates had been asked to calculate the concentration of \({{\text{H}}^ + }\) ions and state the pH. In part (e) many students could quote and substitute into the ideal gas equation, correctly converting the temperature to Kelvin, but converting from \({{\text{m}}^{\text{3}}}\) to \({\text{c}}{{\text{m}}^{\text{3}}}\) posed a problem for most candidates. Although not necessary for the mark, as answers which referred to improved accuracy and precision were accepted, most candidates did not refer to the solubility of sulfur dioxide as a problem when using measuring cylinders to measure its volume.
This was quite a popular question, but responses were mixed. As in question 1, students struggled to answer questions with a strong practical context, with very few able to devise a mixture that would halve the concentration of thiosulfate, whilst keeping other concentrations constant, and responses for the need for similar beakers to be used were often too vague. Explanations of changes of rates in terms of the collision theory were generally successful but a significant number referred to the “number” rather than “frequency” of collisions. Many candidates were able to sketch Maxwell–Boltzmann distribution curves for the two temperatures, \({T_1}\) and \({T_2}\), but marks were lost due to careless omissions; the graphs did not start at the origin, were not labelled or the activation energy was missing. Many struggled to calculate the pH and many teachers have commented that this question was beyond what is expected at Standard Level and it is acknowledged that the question would have been more accessible if candidates had been asked to calculate the concentration of \({{\text{H}}^ + }\) ions and state the pH. In part (e) many students could quote and substitute into the ideal gas equation, correctly converting the temperature to Kelvin, but converting from \({{\text{m}}^{\text{3}}}\) to \({\text{c}}{{\text{m}}^{\text{3}}}\) posed a problem for most candidates. Although not necessary for the mark, as answers which referred to improved accuracy and precision were accepted, most candidates did not refer to the solubility of sulfur dioxide as a problem when using measuring cylinders to measure its volume.
This was quite a popular question, but responses were mixed. As in question 1, students struggled to answer questions with a strong practical context, with very few able to devise a mixture that would halve the concentration of thiosulfate, whilst keeping other concentrations constant, and responses for the need for similar beakers to be used were often too vague. Explanations of changes of rates in terms of the collision theory were generally successful but a significant number referred to the “number” rather than “frequency” of collisions. Many candidates were able to sketch Maxwell–Boltzmann distribution curves for the two temperatures, \({T_1}\) and \({T_2}\), but marks were lost due to careless omissions; the graphs did not start at the origin, were not labelled or the activation energy was missing. Many struggled to calculate the pH and many teachers have commented that this question was beyond what is expected at Standard Level and it is acknowledged that the question would have been more accessible if candidates had been asked to calculate the concentration of \({{\text{H}}^ + }\) ions and state the pH. In part (e) many students could quote and substitute into the ideal gas equation, correctly converting the temperature to Kelvin, but converting from \({{\text{m}}^{\text{3}}}\) to \({\text{c}}{{\text{m}}^{\text{3}}}\) posed a problem for most candidates. Although not necessary for the mark, as answers which referred to improved accuracy and precision were accepted, most candidates did not refer to the solubility of sulfur dioxide as a problem when using measuring cylinders to measure its volume.
This was quite a popular question, but responses were mixed. As in question 1, students struggled to answer questions with a strong practical context, with very few able to devise a mixture that would halve the concentration of thiosulfate, whilst keeping other concentrations constant, and responses for the need for similar beakers to be used were often too vague. Explanations of changes of rates in terms of the collision theory were generally successful but a significant number referred to the “number” rather than “frequency” of collisions. Many candidates were able to sketch Maxwell–Boltzmann distribution curves for the two temperatures, \({T_1}\) and \({T_2}\), but marks were lost due to careless omissions; the graphs did not start at the origin, were not labelled or the activation energy was missing. Many struggled to calculate the pH and many teachers have commented that this question was beyond what is expected at Standard Level and it is acknowledged that the question would have been more accessible if candidates had been asked to calculate the concentration of \({{\text{H}}^ + }\) ions and state the pH. In part (e) many students could quote and substitute into the ideal gas equation, correctly converting the temperature to Kelvin, but converting from \({{\text{m}}^{\text{3}}}\) to \({\text{c}}{{\text{m}}^{\text{3}}}\) posed a problem for most candidates. Although not necessary for the mark, as answers which referred to improved accuracy and precision were accepted, most candidates did not refer to the solubility of sulfur dioxide as a problem when using measuring cylinders to measure its volume.
Draw the Lewis (electron dot) structure of chloromethane.
Predict the shape of the chloromethane molecule and the H–C–H bond angle.
Shape:
Bond angle:
Explain why chloromethane is a polar molecule.
Methanol has a lower molar mass than chloromethane. Explain why the boiling point of methanol is higher than that of chloromethane.
State the equation for the reaction between potassium and chlorine.
Outline the nature of the metallic bonding present in potassium.
Describe the covalent bond present in the chlorine molecule and how it is formed.
Describe the ionic bonding present in potassium chloride and how the ions are formed.
Potassium also reacts with water to form hydrogen gas. Determine the volume, in \({\text{c}}{{\text{m}}^{\text{3}}}\), of hydrogen gas that could theoretically be produced at 273 K and \(1.01 \times {10^5}{\text{ Pa}}\) when 0.0587 g of potassium reacts with excess water.
Identify the acid-base character of the oxides of each of the elements from sodium to chlorine in period 3.
State the equations for the separate reactions of sodium oxide and phosphorus(V) oxide with water.
Markscheme
;
Accept any combination of lines, dots or crosses to represent electron pairs.
Shape: tetrahedral;
Bond angle: accept any value in the range: 108° to 111°;
(Literature value is 108.2°).
Cl is more electronegative than C / C–Cl bond polar;
bond dipoles do not cancel / asymmetric distribution of electron cloud / (resultant) net dipole moment (from vectorial addition of bond dipoles) going in direction of C–Cl axis / OWTTE;
hydrogen bonding in methanol;
stronger than dipole-dipole/van der Waals’ attractions/forces in chloromethane;
Accept converse argument.
\({\text{2K(s)}} + {\text{C}}{{\text{l}}_2}{\text{(g)}} \to {\text{2KCl(s)}}\);
Ignore state symbols.
(electrostatic) attraction between lattice of cations/positive ions and delocalized electrons;
(electrostatic) attraction between positively charged nuclei and a pair of electrons;
formed as a result of electron sharing;
(electrostatic) attraction between positive and negative ions/oppositely charged ions/cations and anions;
formed as a result of transfer of an electron from a K atom to a Cl atom / OWTTE;
amount of potassium \( = \left( {\frac{{0.0587}}{{39.10}} = } \right){\text{ }}1.5 \times {10^{ - 3}}{\text{ (mol)}}\);
\({\text{2K}} + {\text{2}}{{\text{H}}_2}{\text{O}} \to {\text{2KO}} + {{\text{H}}_2}\) / amount of hydrogen \( = 7.50 \times {10^{ - 4}}{\text{ (mol)}}\);
volume of hydrogen \( = (7.50 \times {10^{ - 4}} \times 22.4 \times 1000 = ){\text{ }}16.8{\text{ (c}}{{\text{m}}^3}{\text{)}}\);
Accept calculation of volume of hydrogen using PV = nRT (answer is 16.9 cm3).
Award [3] for correct final answer.
Na, Mg (oxides): basic
Al (oxide): amphoteric
Do not accept amphiprotic.
Si to Cl (oxides): acidic
Award [2] for all three listed sets correct.
Award [1] for one or two listed sets correct.
Award [1] for stating oxides become more acidic towards right/Cl or more basic towards left/Na.
Do not penalize if reference is to Ar instead of Cl.
Do not penalize for incorrect formulas of oxides.
\({\text{N}}{{\text{a}}_2}{\text{O(s)}} + {{\text{H}}_2}{\text{O(l)}} \to {\text{2NaOH(aq)}}\);
\({{\text{P}}_4}{{\text{O}}_{10}}{\text{(s)}} + {\text{6}}{{\text{H}}_2}{\text{O(l)}} \to {\text{4}}{{\text{H}}_3}{\text{P}}{{\text{O}}_4}{\text{(aq)}}\);
Ignore state symbols.
Accept P2O5(s) + 3H2O(l) \( \to \) 2H3PO4(aq).
Do not award marks if incorrect formulas of the oxides are used.
Examiners report
Probably the least popular option. The drawing of the diagram of chloromethane was generally excellent, as was the prediction/recall of the shape and bond angle. With the reasons for polarity, the concept of bond polarity was well understood, but the idea of asymmetry resulting in a dipole was less clearly appreciated. The construction of the chemical equation was disappointing, as was the description of the three types of bonding, very often missing the important point, in that they are attractions. With the calculation of volume of hydrogen, it was quite rare to get a fully correct answer. The biggest error was to use an incorrect value for the number of moles of hydrogen in the equation \(pV = nRT\), by failing to halve the moles of hydrogen. The use of \(pV = nRT\) also caused problems with units. The acid base nature of oxides of a period were generally well known. In contrast, the construction or recall of correct chemical equations for the reaction with water was a weakness.
Probably the least popular option. The drawing of the diagram of chloromethane was generally excellent, as was the prediction/recall of the shape and bond angle. With the reasons for polarity, the concept of bond polarity was well understood, but the idea of asymmetry resulting in a dipole was less clearly appreciated. The construction of the chemical equation was disappointing, as was the description of the three types of bonding, very often missing the important point, in that they are attractions. With the calculation of volume of hydrogen, it was quite rare to get a fully correct answer. The biggest error was to use an incorrect value for the number of moles of hydrogen in the equation \(pV = nRT\), by failing to halve the moles of hydrogen. The use of \(pV = nRT\) also caused problems with units. The acid base nature of oxides of a period were generally well known. In contrast, the construction or recall of correct chemical equations for the reaction with water was a weakness.
Probably the least popular option. The drawing of the diagram of chloromethane was generally excellent, as was the prediction/recall of the shape and bond angle. With the reasons for polarity, the concept of bond polarity was well understood, but the idea of asymmetry resulting in a dipole was less clearly appreciated. The construction of the chemical equation was disappointing, as was the description of the three types of bonding, very often missing the important point, in that they are attractions. With the calculation of volume of hydrogen, it was quite rare to get a fully correct answer. The biggest error was to use an incorrect value for the number of moles of hydrogen in the equation \(pV = nRT\), by failing to halve the moles of hydrogen. The use of \(pV = nRT\) also caused problems with units. The acid base nature of oxides of a period were generally well known. In contrast, the construction or recall of correct chemical equations for the reaction with water was a weakness.
Probably the least popular option. The drawing of the diagram of chloromethane was generally excellent, as was the prediction/recall of the shape and bond angle. With the reasons for polarity, the concept of bond polarity was well understood, but the idea of asymmetry resulting in a dipole was less clearly appreciated. The construction of the chemical equation was disappointing, as was the description of the three types of bonding, very often missing the important point, in that they are attractions. With the calculation of volume of hydrogen, it was quite rare to get a fully correct answer. The biggest error was to use an incorrect value for the number of moles of hydrogen in the equation \(pV = nRT\), by failing to halve the moles of hydrogen. The use of \(pV = nRT\) also caused problems with units. The acid base nature of oxides of a period were generally well known. In contrast, the construction or recall of correct chemical equations for the reaction with water was a weakness.
Probably the least popular option. The drawing of the diagram of chloromethane was generally excellent, as was the prediction/recall of the shape and bond angle. With the reasons for polarity, the concept of bond polarity was well understood, but the idea of asymmetry resulting in a dipole was less clearly appreciated. The construction of the chemical equation was disappointing, as was the description of the three types of bonding, very often missing the important point, in that they are attractions. With the calculation of volume of hydrogen, it was quite rare to get a fully correct answer. The biggest error was to use an incorrect value for the number of moles of hydrogen in the equation \(pV = nRT\), by failing to halve the moles of hydrogen. The use of \(pV = nRT\) also caused problems with units. The acid base nature of oxides of a period were generally well known. In contrast, the construction or recall of correct chemical equations for the reaction with water was a weakness.
Probably the least popular option. The drawing of the diagram of chloromethane was generally excellent, as was the prediction/recall of the shape and bond angle. With the reasons for polarity, the concept of bond polarity was well understood, but the idea of asymmetry resulting in a dipole was less clearly appreciated. The construction of the chemical equation was disappointing, as was the description of the three types of bonding, very often missing the important point, in that they are attractions. With the calculation of volume of hydrogen, it was quite rare to get a fully correct answer. The biggest error was to use an incorrect value for the number of moles of hydrogen in the equation \(pV = nRT\), by failing to halve the moles of hydrogen. The use of \(pV = nRT\) also caused problems with units. The acid base nature of oxides of a period were generally well known. In contrast, the construction or recall of correct chemical equations for the reaction with water was a weakness.
Probably the least popular option. The drawing of the diagram of chloromethane was generally excellent, as was the prediction/recall of the shape and bond angle. With the reasons for polarity, the concept of bond polarity was well understood, but the idea of asymmetry resulting in a dipole was less clearly appreciated. The construction of the chemical equation was disappointing, as was the description of the three types of bonding, very often missing the important point, in that they are attractions. With the calculation of volume of hydrogen, it was quite rare to get a fully correct answer. The biggest error was to use an incorrect value for the number of moles of hydrogen in the equation \(pV = nRT\), by failing to halve the moles of hydrogen. The use of \(pV = nRT\) also caused problems with units. The acid base nature of oxides of a period were generally well known. In contrast, the construction or recall of correct chemical equations for the reaction with water was a weakness.
Probably the least popular option. The drawing of the diagram of chloromethane was generally excellent, as was the prediction/recall of the shape and bond angle. With the reasons for polarity, the concept of bond polarity was well understood, but the idea of asymmetry resulting in a dipole was less clearly appreciated. The construction of the chemical equation was disappointing, as was the description of the three types of bonding, very often missing the important point, in that they are attractions. With the calculation of volume of hydrogen, it was quite rare to get a fully correct answer. The biggest error was to use an incorrect value for the number of moles of hydrogen in the equation \(pV = nRT\), by failing to halve the moles of hydrogen. The use of \(pV = nRT\) also caused problems with units. The acid base nature of oxides of a period were generally well known. In contrast, the construction or recall of correct chemical equations for the reaction with water was a weakness.
Probably the least popular option. The drawing of the diagram of chloromethane was generally excellent, as was the prediction/recall of the shape and bond angle. With the reasons for polarity, the concept of bond polarity was well understood, but the idea of asymmetry resulting in a dipole was less clearly appreciated. The construction of the chemical equation was disappointing, as was the description of the three types of bonding, very often missing the important point, in that they are attractions. With the calculation of volume of hydrogen, it was quite rare to get a fully correct answer. The biggest error was to use an incorrect value for the number of moles of hydrogen in the equation \(pV = nRT\), by failing to halve the moles of hydrogen. The use of \(pV = nRT\) also caused problems with units. The acid base nature of oxides of a period were generally well known. In contrast, the construction or recall of correct chemical equations for the reaction with water was a weakness.
Probably the least popular option. The drawing of the diagram of chloromethane was generally excellent, as was the prediction/recall of the shape and bond angle. With the reasons for polarity, the concept of bond polarity was well understood, but the idea of asymmetry resulting in a dipole was less clearly appreciated. The construction of the chemical equation was disappointing, as was the description of the three types of bonding, very often missing the important point, in that they are attractions. With the calculation of volume of hydrogen, it was quite rare to get a fully correct answer. The biggest error was to use an incorrect value for the number of moles of hydrogen in the equation \(pV = nRT\), by failing to halve the moles of hydrogen. The use of \(pV = nRT\) also caused problems with units. The acid base nature of oxides of a period were generally well known. In contrast, the construction or recall of correct chemical equations for the reaction with water was a weakness.
Probably the least popular option. The drawing of the diagram of chloromethane was generally excellent, as was the prediction/recall of the shape and bond angle. With the reasons for polarity, the concept of bond polarity was well understood, but the idea of asymmetry resulting in a dipole was less clearly appreciated. The construction of the chemical equation was disappointing, as was the description of the three types of bonding, very often missing the important point, in that they are attractions. With the calculation of volume of hydrogen, it was quite rare to get a fully correct answer. The biggest error was to use an incorrect value for the number of moles of hydrogen in the equation \(pV = nRT\), by failing to halve the moles of hydrogen. The use of \(pV = nRT\) also caused problems with units. The acid base nature of oxides of a period were generally well known. In contrast, the construction or recall of correct chemical equations for the reaction with water was a weakness.
A hydrocarbon has the empirical formula \({{\text{C}}_{\text{3}}}{{\text{H}}_{\text{7}}}\). When 1.17 g of the compound is heated to 85 °C at a pressure of 101 kPa it occupies a volume of \({\text{400 c}}{{\text{m}}^{\text{3}}}\).
(i) Calculate the molar mass of the compound, showing your working.
(ii) Deduce the molecular formula of the compound.
\({{\text{C}}_{\text{5}}}{{\text{H}}_{{\text{12}}}}\) exists as three isomers. Identify the structure of the isomer with the lowest boiling point and explain your choice.
Ethanol is a primary alcohol that can be oxidized by acidified potassium dichromate(VI). Distinguish between the reaction conditions needed to produce ethanal and ethanoic acid.
Ethanal:
Ethanoic acid:
Determine the oxidation number of carbon in ethanol and ethanal.
Ethanol:
Ethanal:
Deduce the half-equation for the oxidation of ethanol to ethanal.
Deduce the overall redox equation for the reaction of ethanol to ethanal with acidified potassium dichromate(VI) by combining your answer to part (c) (iii) with the following half-equation:
\[{\text{C}}{{\text{r}}_{\text{2}}}{\text{O}}_{\text{7}}^{2 - }{\text{(aq)}} + {\text{14}}{{\text{H}}^ + }{\text{(aq)}} + {\text{6}}{{\text{e}}^ - } \to {\text{2C}}{{\text{r}}^{3 + }}{\text{(aq)}} + {\text{7}}{{\text{H}}_{\text{2}}}{\text{O(l)}}\]
Describe two characteristics of a reaction at equilibrium.
Describe how a catalyst increases the rate of a reaction.
State and explain the effect of a catalyst on the position of equilibrium.
Ethanoic acid reacts with ethanol to form the ester ethyl ethanoate.
\[{\text{C}}{{\text{H}}_{\text{3}}}{\text{COOH(l)}} + {\text{C}}{{\text{H}}_{\text{3}}}{\text{C}}{{\text{H}}_{\text{2}}}{\text{OH(l)?????C}}{{\text{H}}_{\text{3}}}{\text{COOC}}{{\text{H}}_{\text{2}}}{\text{C}}{{\text{H}}_{\text{3}}}{\text{(l)}} + {{\text{H}}_{\text{2}}}{\text{O(l)}}\]
The esterification reaction is exothermic. State the effect of increasing temperature on the value of the equilibrium constant (\({K_{\text{c}}}\)) for this reaction.
Markscheme
(i) \({\text{temperature}} = 358{\text{ K}}\);
\(M = \frac{{mRT}}{{pV}}/1.17 \times 8.31 \times \frac{{358}}{{(0.40 \times 101)}}\);
\({\text{(}}M = {\text{) }}86.2{\text{ (gmo}}{{\text{l}}^{ - 1}}{\text{)}}\);
Award [1 max] for correct final answer without working.
(ii) \({{\text{C}}_6}{{\text{H}}_{14}}\);
\({\text{C(C}}{{\text{H}}_3}{{\text{)}}_4}\);
Accept correct name 2,2-dimethylpropane.
Do not penalize missing H atoms.
weakest London/dispersion/van der Waals’/vdW/instantaneous induced dipoleinduced dipole forces because of smallest surface area/contact
OR
weakest London/dispersion/van der Waals’/vdW/ instantaneous induced dipoleinduced dipole forces because of least distortion of the electron cloud
OR
weakest London/dispersion/van der Waals’/vdW/ instantaneous induced dipoleinduced dipole forces because polarizability of electrons (in electron cloud) is less;
Accept other words to that effect but student must mention a correct IMF and a correct reason.
Ethanal: distill off product as it forms;
Accept distillation.
Ethanoic acid: (heat under) reflux / use excess oxidizing agent;
Ethanol: –2/–II;
Ethanal: –1/–I;
Do not accept 2– or 1–, but penalize only once.
\({\text{C}}{{\text{H}}_3}{\text{C}}{{\text{H}}_2}{\text{OH}} \to {\text{C}}{{\text{H}}_3}{\text{CHO}} + {\text{2}}{{\text{H}}^ + } + {\text{2}}{{\text{e}}^ - }\);
Half-equation required. Do not accept \({C_2}{H_5}OH + 2[O] \to C{H_3}CHO + {H_2}O\).
Accept e for \({e^ - }\).
\({\text{3C}}{{\text{H}}_3}{\text{C}}{{\text{H}}_2}{\text{OH(aq)}} + {\text{C}}{{\text{r}}_2}{\text{O}}_7^{2 - }{\text{(aq)}} + {\text{8}}{{\text{H}}^ + }{\text{(aq)}} \to {\text{2C}}{{\text{r}}^{{\text{3}} + }}{\text{(aq)}} + {\text{3C}}{{\text{H}}_3}{\text{CHO(l)}} + {\text{7}}{{\text{H}}_2}{\text{O(l)}}\)
correct reactants and products;
correct balancing;
M2 can only be scored if M1 correct.
Ignore state symbols.
rate of forward process/reaction = rate of backward/reverse process/reaction;
concentrations of reactants and products remain constant;
no change in macroscopic properties;
closed/isolated system / constant matter/energy;
provides alternative pathway (of lower energy);
lowers activation energy (of the reaction) / more particles with \(E \geqslant {E_{\text{a}}}\);
no effect (on position of equilibrium);
increases rate of forward and reverse reactions (equally);
decreases;
Examiners report
This was the least popular question however many who chose it were successful in parts. Part (a) that required a calculation of \({M_{\text{r}}}\) was quite well done. However (b) that asked for the isomer of \({{\text{C}}_{\text{5}}}{{\text{H}}_{{\text{12}}}}\) with the lowest boiling point was not well answered. Identification of the methods to produce ethanal or ethanoic acid was done well by the strong candidates and others just guessed. Deduction of oxidation numbers and then writing of redox equations was not well answered. However (d) and (e) about equilibrium were answered well by many candidates although there were again some very poor answers.
This was the least popular question however many who chose it were successful in parts. Part (a) that required a calculation of \({M_{\text{r}}}\) was quite well done. However (b) that asked for the isomer of \({{\text{C}}_{\text{5}}}{{\text{H}}_{{\text{12}}}}\) with the lowest boiling point was not well answered. Identification of the methods to produce ethanal or ethanoic acid was done well by the strong candidates and others just guessed. Deduction of oxidation numbers and then writing of redox equations was not well answered. However (d) and (e) about equilibrium were answered well by many candidates, although there were again some very poor answers.
This was the least popular question however many who chose it were successful in parts. Part (a) that required a calculation of \({M_{\text{r}}}\) was quite well done. However (b) that asked for the isomer of \({{\text{C}}_{\text{5}}}{{\text{H}}_{{\text{12}}}}\) with the lowest boiling point was not well answered. Identification of the methods to produce ethanal or ethanoic acid was done well by the strong candidates and others just guessed. Deduction of oxidation numbers and then writing of redox equations was not well answered. However (d) and (e) about equilibrium were answered well by many candidates, although there were again some very poor answers.
This was the least popular question however many who chose it were successful in parts. Part (a) that required a calculation of \({M_{\text{r}}}\) was quite well done. However (b) that asked for the isomer of \({{\text{C}}_{\text{5}}}{{\text{H}}_{{\text{12}}}}\) with the lowest boiling point was not well answered. Identification of the methods to produce ethanal or ethanoic acid was done well by the strong candidates and others just guessed. Deduction of oxidation numbers and then writing of redox equations was not well answered. However (d) and (e) about equilibrium were answered well by many candidates, although there were again some very poor answers.
This was the least popular question however many who chose it were successful in parts. Part (a) that required a calculation of \({M_{\text{r}}}\) was quite well done. However (b) that asked for the isomer of \({{\text{C}}_{\text{5}}}{{\text{H}}_{{\text{12}}}}\) with the lowest boiling point was not well answered. Identification of the methods to produce ethanal or ethanoic acid was done well by the strong candidates and others just guessed. Deduction of oxidation numbers and then writing of redox equations was not well answered. However (d) and (e) about equilibrium were answered well by many candidates, although there were again some very poor answers.
This was the least popular question however many who chose it were successful in parts. Part (a) that required a calculation of \({M_{\text{r}}}\) was quite well done. However (b) that asked for the isomer of \({{\text{C}}_{\text{5}}}{{\text{H}}_{{\text{12}}}}\) with the lowest boiling point was not well answered. Identification of the methods to produce ethanal or ethanoic acid was done well by the strong candidates and others just guessed. Deduction of oxidation numbers and then writing of redox equations was not well answered. However (d) and (e) about equilibrium were answered well by many candidates, although there were again some very poor answers.
This was the least popular question however many who chose it were successful in parts. Part (a) that required a calculation of \({M_{\text{r}}}\) was quite well done. However (b) that asked for the isomer of \({{\text{C}}_{\text{5}}}{{\text{H}}_{{\text{12}}}}\) with the lowest boiling point was not well answered. Identification of the methods to produce ethanal or ethanoic acid was done well by the strong candidates and others just guessed. Deduction of oxidation numbers and then writing of redox equations was not well answered. However (d) and (e) about equilibrium were answered well by many candidates, although there were again some very poor answers.
This was the least popular question however many who chose it were successful in parts. Part (a) that required a calculation of \({M_{\text{r}}}\) was quite well done. However (b) that asked for the isomer of \({{\text{C}}_{\text{5}}}{{\text{H}}_{{\text{12}}}}\) with the lowest boiling point was not well answered. Identification of the methods to produce ethanal or ethanoic acid was done well by the strong candidates and others just guessed. Deduction of oxidation numbers and then writing of redox equations was not well answered. However (d) and (e) about equilibrium were answered well by many candidates, although there were again some very poor answers.
This was the least popular question however many who chose it were successful in parts. Part (a) that required a calculation of \({M_{\text{r}}}\) was quite well done. However (b) that asked for the isomer of \({{\text{C}}_{\text{5}}}{{\text{H}}_{{\text{12}}}}\) with the lowest boiling point was not well answered. Identification of the methods to produce ethanal or ethanoic acid was done well by the strong candidates and others just guessed. Deduction of oxidation numbers and then writing of redox equations was not well answered. However (d) and (e) about equilibrium were answered well by many candidates, although there were again some very poor answers.
This was the least popular question however many who chose it were successful in parts. Part (a) that required a calculation of \({M_{\text{r}}}\) was quite well done. However (b) that asked for the isomer of \({{\text{C}}_{\text{5}}}{{\text{H}}_{{\text{12}}}}\) with the lowest boiling point was not well answered. Identification of the methods to produce ethanal or ethanoic acid was done well by the strong candidates and others just guessed. Deduction of oxidation numbers and then writing of redox equations was not well answered. However (d) and (e) about equilibrium were answered well by many candidates, although there were again some very poor answers.
Ethanedioic acid is a diprotic acid. A student determined the value of x in the formula of hydrated ethanedioic acid, \({\text{HOOC}}\)–\({\text{COOH}} \bullet {\text{x}}{{\text{H}}_{\text{2}}}{\text{O}}\), by titrating a known mass of the acid with a \({\text{0.100 mol}}\,{\text{d}}{{\text{m}}^{ - 3}}\) solution of \({\text{NaOH(aq)}}\).
0.795 g of ethanedioic acid was dissolved in distilled water and made up to a total volume of \({\text{250 c}}{{\text{m}}^{\text{3}}}\) in a volumetric flask.
\({\text{25 c}}{{\text{m}}^{\text{3}}}\) of this ethanedioic acid solution was pipetted into a flask and titrated against aqueous sodium hydroxide using phenolphthalein as an indicator.
The titration was then repeated twice to obtain the results below.

State the uncertainty of the volume of NaOH added in \({\text{c}}{{\text{m}}^{\text{3}}}\).
Calculate the average volume of NaOH added, in \({\text{c}}{{\text{m}}^{\text{3}}}\), in titrations 2 and 3, and then calculate the amount, in mol, of NaOH added.
(i) The equation for the reaction taking place in the titration is:
\({\text{HOOC}}\)−\({\text{COOH(aq)}} + {\text{2NaOH(aq)}} \to {\text{NaOOC}}\)−\({\text{COONa(aq)}} + {\text{2}}{{\text{H}}_{\text{2}}}{\text{O(l)}}\)
Determine the amount, in mol, of ethanedioic acid that reacts with the average volume of \({\text{NaOH(aq)}}\).
(ii) Determine the amount, in mol, of ethanedioic acid present in \({\text{250 c}}{{\text{m}}^{\text{3}}}\) of the original solution.
(ii) Determine the molar mass of hydrated ethanedioic acid.
(iv) Determine the value of x in the formula \({\text{HOOC}}\)−\({\text{COOH}} \bullet {\text{x}}{{\text{H}}_{\text{2}}}{\text{O}}\).
Identify the strongest intermolecular force in solid ethanedioic acid.
Deduce the Lewis (electron dot) structure of ethanedioic acid, HOOC−COOH.
Markscheme
\(( \pm )0.10{\text{ (c}}{{\text{m}}^{\text{3}}}{\text{)}}\);
Accept ±0.1 (cm3).
Accept (±)0.09 (cm3) (based on more accurate method of calculating propagation of uncertainties).
\(\left( {\frac{{12.70 + 12.50}}{2} = } \right)12.60{\text{ (c}}{{\text{m}}^{\text{3}}}{\text{)}}\);
\((0.01260 \times 0.100 = )1.26 \times {10^{ - 3}}{\text{ (mol)}}\);
Award [2] for correct final answer.
(i) \(\left( {\frac{{1.26 \times {{10}^{ - 3}}}}{2} = } \right)6.30 \times {10^{ - 4}}{\text{ (mol)}}\);
(ii) \((6.30 \times {10^{ - 4}} \times 10 = )6.30 \times {10^{ - 3}}{\text{ (mol)}}\);
(iii) \(\left( {\frac{{0.795}}{{6.30 \times {{10}^{ - 3}}}} = } \right)126{\text{ (gmo}}{{\text{l}}^{ - 1}})\);
(iv) \({M_{\text{r}}}{\text{(}}{{\text{C}}_2}{{\text{H}}_2}{{\text{O}}_4}{\text{)}} = 90.04\) and \({M_{\text{r}}}{\text{(}}{{\text{H}}_2}{\text{O)}} = 18.02\);
\({\text{x}} = 2\);
Accept integer values for Mr’s of 90 and 18 and any reasonable calculation.
Award [1 max] if no working shown.
hydrogen bonding;
;
Mark cannot be scored if lone pairs are missing on oxygens.
Accept any combination of lines, dots or crosses to represent electron pairs.
Examiners report
This beginning of this question to state the uncertainty and to calculate the average volume added were well done and most students could also calculate the number of moles added. However, many candidates began to lose marks from this point onwards. Some could identify the ratio and correctly state the moles of ethanedioic acid, but fewer realized they needed to multiply 10 to get back to the original solution. The next step to calculate the \({M_{\text{r}}}\) was only correctly completed by a handful of students. Those that were correct with the molar mass always could calculate the moles of water, many students just guessed an answer though.
The intermolecular force was correctly described as hydrogen bonding, however there were some instances when it seemed unclear whether students realized this was between molecules and instead they seemed to suggest it was a bond between hydrogen and oxygen in the molecule. Some candidates could correctly draw the Lewis structure but a number of those lost marks for omitting the lone pairs on oxygen.
This beginning of this question to state the uncertainty and to calculate the average volume added were well done and most students could also calculate the number of moles added. However, many candidates began to lose marks from this point onwards. Some could identify the ratio and correctly state the moles of ethanedioic acid, but fewer realized they needed to multiply 10 to get back to the original solution. The next step to calculate the \({M_{\text{r}}}\) was only correctly completed by a handful of students. Those that were correct with the molar mass always could calculate the moles of water, many students just guessed an answer though.
The intermolecular force was correctly described as hydrogen bonding, however there was some instances when it seemed unclear whether students realized this was between molecules and instead they seemed to suggest it was a bond between hydrogen and oxygen in the molecule. Some candidates could correctly draw the Lewis structure but a number of those lost marks for omitting the lone pairs on oxygen.
This beginning of this question to state the uncertainty and to calculate the average volume added were well done and most students could also calculate the number of moles added. However, many candidates began to lose marks from this point onwards. Some could identify the ratio and correctly state the moles of ethanedioic acid, but fewer realized they needed to multiply 10 to get back to the original solution. The next step to calculate the \({M_{\text{r}}}\) was only correctly completed by a handful of students. Those that were correct with the molar mass always could calculate the moles of water, many students just guessed an answer though.
The intermolecular force was correctly described as hydrogen bonding, however there was some instances when it seemed unclear whether students realized this was between molecules and instead they seemed to suggest it was a bond between hydrogen and oxygen in the molecule. Some candidates could correctly draw the Lewis structure but a number of those lost marks for omitting the lone pairs on oxygen.
This beginning of this question to state the uncertainty and to calculate the average volume added were well done and most students could also calculate the number of moles added. However, many candidates began to lose marks from this point onwards. Some could identify the ratio and correctly state the moles of ethanedioic acid, but fewer realized they needed to multiply 10 to get back to the original solution. The next step to calculate the \({M_{\text{r}}}\) was only correctly completed by a handful of students. Those that were correct with the molar mass always could calculate the moles of water, many students just guessed an answer though.
The intermolecular force was correctly described as hydrogen bonding, however there was some instances when it seemed unclear whether students realized this was between molecules and instead they seemed to suggest it was a bond between hydrogen and oxygen in the molecule. Some candidates could correctly draw the Lewis structure but a number of those lost marks for omitting the lone pairs on oxygen.
This beginning of this question to state the uncertainty and to calculate the average volume added were well done and most students could also calculate the number of moles added. However, many candidates began to lose marks from this point onwards. Some could identify the ratio and correctly state the moles of ethanedioic acid, but fewer realized they needed to multiply 10 to get back to the original solution. The next step to calculate the \({M_{\text{r}}}\) was only correctly completed by a handful of students. Those that were correct with the molar mass always could calculate the moles of water, many students just guessed an answer though.
The intermolecular force was correctly described as hydrogen bonding, however there was some instances when it seemed unclear whether students realized this was between molecules and instead they seemed to suggest it was a bond between hydrogen and oxygen in the molecule. Some candidates could correctly draw the Lewis structure but a number of those lost marks for omitting the lone pairs on oxygen.
In December 2010, researchers in Sweden announced the synthesis of N,N–dinitronitramide, \({\text{N(N}}{{\text{O}}_{\text{2}}}{{\text{)}}_{\text{3}}}\). They speculated that this compound, more commonly called trinitramide, may have significant potential as an environmentally friendly rocket fuel oxidant.
Methanol reacts with trinitramide to form nitrogen, carbon dioxide and water. Deduce the coefficients required to balance the equation for this reaction.
___ \({\text{N(N}}{{\text{O}}_2}{{\text{)}}_3}{\text{(g)}} + \) ___ \({\text{C}}{{\text{H}}_3}{\text{OH(l)}} \to \) ___ \({{\text{N}}_2}{\text{(g)}} + \) ___ \({\text{C}}{{\text{O}}_2}{\text{(g)}} + \) ___ \({{\text{H}}_2}{\text{O(l)}}\)
Calculate the enthalpy change, in \({\text{kJ}}\,{\text{mo}}{{\text{l}}^{ - 1}}\), when one mole of trinitramide decomposes to its elements, using bond enthalpy data from Table 10 of the Data Booklet. Assume that all the N–O bonds in this molecule have a bond enthalpy of \({\text{305 kJ}}\,{\text{mo}}{{\text{l}}^{ - 1}}\).
Outline how the length of the N–N bond in trinitramide compares with the N–N bond in nitrogen gas, \({{\text{N}}_{\text{2}}}\).
Deduce the N–N–N bond angle in trinitramide and explain your reasoning.
Predict, with an explanation, the polarity of the trinitramide molecule.
Methanol can also be burnt as a fuel. Describe an experiment that would allow the molar enthalpy change of combustion to be calculated from the results.
Explain how the results of this experiment could be used to calculate the molar enthalpy change of combustion of methanol.
Predict, with an explanation, how the result obtained would compare with the value in Table 12 of the Data Booklet.
Markscheme
\(\underline {{\text{ (1) }}} {\text{N(N}}{{\text{O}}_2}{{\text{)}}_3}{\text{(g)}} + \underline {{\text{ 2 }}} {\text{C}}{{\text{H}}_3}{\text{OH(l)}} \to \underline {{\text{ 2 }}} {{\text{N}}_2}{\text{(g)}} + \underline {{\text{ 2 }}} {\text{C}}{{\text{O}}_2}{\text{(g)}} + \underline {{\text{ 4 }}} {{\text{H}}_2}{\text{O(l)}}\);
bonds broken: \((6 \times 305) + (3 \times 158) = 1830 + 474 = 2304{\text{ }}({\text{kJ}}\,{\text{mo}}{{\text{l}}^{ - 1}})\);
bonds made: \((2 \times 945) + (3 \times 498) = 1890 + 1494 = 3384{\text{ }}({\text{kJ}}\,{\text{mo}}{{\text{l}}^{ - 1}})\);
enthalpy change: \(2304 - 3384 = - 1080{\text{ }}({\text{kJ}}\,{\text{mo}}{{\text{l}}^{ - 1}})\);
Award [3] for correct final answer.
Award [2 max] for +1080 (kJ mol–1) .
Accept –234 kJ mol–1 which arise from students assuming that 305 kJ mol–1 refers to the strength of a single N–O bond. Students may then take N=O from the data book value (587 kJ mol–1).
bonds broken: (3 \( \times \) 305) + (3 \( \times \) 587) + (3 \( \times \) 158) = 915 + 1761 + 474 = 3150 (kJ mol–1)
bonds made: (2 \( \times \) 945) + (3 \( \times \) 498) = 1890 + 1494 = 3384 (kJ mol–1)
enthalpy change: 3150 – 3384 = –234 (kJ mol–1) .
Award [2 max] for correct calculation of the enthalpy change of reaction for the equation in part (a), which gives –2160 (kJ mol–1).
Award [1] if the final answer is not –2160 but the candidate has correctly calculated the bonds broken in trinitramide as 2304 (kJ mol–1).
(N–N bond in) trinitramide is longer/nitrogen (gas) is shorter / 0.145 nm in trinitramide versus 0.110 nm in nitrogen;
trinitramide has single (N–N) bond and nitrogen (gas) has triple bond;
106°–108°;
Accept \( < \)109°.
Any two for [2 max].
4 (negative) charge centres/electron pairs/electron domains around central nitrogen;
central nitrogen has a lone/non-bonding pair;
lone/non-bonding pairs repel more than bonding pairs;
molecule will be (trigonal/triangular) pyramidal;
(negative) charge centres/electron pairs/electron domains will be tetrahedrally arranged/orientated/ have tetrahedral geometry;
Do not apply ECF.
polar;
net dipole moment present in molecule / unsymmetrical distribution of charge / polar bonds do not cancel out / centre of negatively charged oxygen atoms does not coincide with positively charged nitrogen atom;
Marks may also be awarded for a suitably presented diagram showing net dipole moment.
Do not accept “unsymmetrical molecule”.
For polarity, apply ECF from part (e).
burn/combust a (known) mass/volume/quantity/amount of methanol (in a spirit burner) / weigh methanol/spirit burner before and after combustion;
use flame to heat a (known) mass/volume/quantity/amount of water;
measure the increase/rise/change in temperature (of the water);
calculate the heat gained by the water / calculate the heat evolved by the burning methanol / substitute in \(q = mc\Delta T\);
calculate the amount/moles of methanol / divide the mass of methanol by its molar mass;
divide the heat gained by the water by the amount/moles of methanol;
result would be less exothermic/less negative;
Accept “less/smaller/lower”.
heat loss / incomplete combustion;
Accept methanol is volatile/evaporates / beaker/material of calorimeter absorbs heat.
Examiners report
Most candidates got the correct stoichiometric coefficients for the equation in part (a).
In Part (c), the typical errors were using the incorrect bond enthalpies from the Data Booklet and using the sum of the bond enthalpies of bond forming (products) minus bond breaking (reactants) instead of the reverse. Some candidates surprisingly used the combustion equation from part (a) for their extensive calculations which was partially given credit.
Part (d) was well answered although a number of candidates thought that nitrogen has a single or double bond instead of a triple bond which was worrying. VSEPR theory however was exceptionally poor and most candidates demonstrated little or no understanding. Many incorrect geometries were cited, especially trigonal planar and even linear and v-shaped! Very few candidates related the geometry to four negative charge centres or electron domains around the central nitrogen atom.
In part (f), polarity typically involved just guess work and only few candidates could explain the reason for the polarity or gave a diagram showing the net dipole moment which suggested poor understanding of the topic.
Part (g) was generally well answered and of those that attempted the question they often scored full marks demonstrating good understanding of calorimetry.
Part (g) was generally well answered and of those that attempted the question they often scored full marks demonstrating good understanding of calorimetry.
Part (g) was generally well answered and of those that attempted the question they often scored full marks demonstrating good understanding of calorimetry.
Chlorine occurs in Group 7, the halogens.
Two stable isotopes of chlorine are \(^{{\text{35}}}{\text{Cl}}\) and \(^{{\text{37}}}{\text{Cl}}\) with mass numbers 35 and 37 respectively.
Chlorine has an electronegativity value of 3.2 on the Pauling scale.
Chloroethene, H2C=CHCl, the monomer used in the polymerization reaction in the manufacture of the polymer poly(chloroethene), PVC, can be synthesized in the following two-stage reaction pathway.
\[\begin{array}{*{20}{l}} {{\text{Stage 1:}}}&{{{\text{C}}_2}{{\text{H}}_4}{\text{(g)}} + {\text{C}}{{\text{l}}_2}{\text{(g)}} \to {\text{ClC}}{{\text{H}}_2}{\text{C}}{{\text{H}}_2}{\text{Cl(g)}}} \\ {{\text{Stage 2:}}}&{{\text{ClC}}{{\text{H}}_2}{\text{C}}{{\text{H}}_2}{\text{Cl(g)}} + {\text{HC=CHCl(g)}} + {\text{HCl(g)}}} \end{array}\]
Define the term isotopes of an element.
Calculate the number of protons, neutrons and electrons in the isotopes 35Cl and 37Cl.

Using the mass numbers of the two isotopes and the relative atomic mass of chlorine from Table 5 of the Data Booklet, determine the percentage abundance of each isotope.
Percentage abundance 35Cl:
Percentage abundance 37Cl:
Define the term electronegativity.
Using Table 7 of the Data Booklet, explain the trends in electronegativity values of the Group 7 elements from F to I.
State the balanced chemical equation for the reaction of potassium bromide, KBr(aq), with chlorine, Cl2(aq).
Describe the colour change likely to be observed in this reaction.
Determine the enthalpy change, \(\Delta H\), in \({\text{kJ}}\,{\text{mo}}{{\text{l}}^{ - 1}}\), for stage 1 using average bond enthalpy data from Table 10 of the Data Booklet.
State whether the reaction given in stage 1 is exothermic or endothermic.
Draw the structure of poly(chloroethene) showing two repeating units.
Suggest why monomers are often gases or volatile liquids whereas polymers are solids.
Markscheme
atoms of same element / atoms with same number of protons/atomic number/Z;
Do not allow elements instead of atoms in second alternative.
(but) different numbers of neutrons/mass number/A;

Allow [1 max] for 17 p, 17 e for both if n’s are omitted or incorrect.
Allow [1 max] for 35Cl: 18 n and 37Cl: 20 n if p’s and e’s are omitted.
\(({\text{for}}{{\text{ }}^{{\text{35}}}}{\text{Cl}}:x\% ){\text{ }}35x + 3700 - 37x = 3545\);
Allow other alternative mathematical arrangements.
\(^{{\text{35}}}{\text{Cl}} = 77.5\% \) and \(^{{\text{37}}}{\text{Cl}} = 22.5\% \);
Award [1 max] for correct percentages if no correct working is shown.
ability of atom/nucleus to attract bonding/shared pair of electrons / attraction of nucleus for bonding/shared pair of electrons / OWTTE;
Do not allow element instead of atom/nucleus.
increasing atomic radii (down the group) / OWTTE;
so reduced attraction (for the bonding electrons) / OWTTE;
screening/shielding effect of inner electrons / OWTTE;
Allow more energy levels/electron shells for M1.
Do not accept decrease in nuclear charge.
\({\text{2KBr(aq)}} + {\text{C}}{{\text{l}}_2}{\text{(aq)}} \to {\text{2KCl(aq)}} + {\text{B}}{{\text{r}}_2}{\text{(aq)}}\);
Ignore state symbols.
Allow ionic equation.
colourless/pale yellow/green to yellow/orange/brown;
Start and end colours must both be mentioned.
Bonds breaking:
1 \( \times \) (C=C) \( + \) 4 \( \times \) (C–H) \( + \) 1 \( \times \) (Cl–Cl)
\( = (1)(612) + (4)(413) + (1)(243)/ = ( + )2507{\text{ (kJ}}\,{\text{mo}}{{\text{l}}^{ - 1}}{\text{)}}\);
Bonds forming:
1 \( \times \) (C–C) \( + \) 4 \( \times \) (C–H) \( + \) 2 \( \times \) (Cl–Cl)
\( = (1)(347) + (4)(413) + (2)(346)/ = - 2691{\text{ (kJ}}\,{\text{mo}}{{\text{l}}^{ - 1}}{\text{)}}\);
Enthalpy change:
\((2507 - 2691 = ){\text{ }} - 184{\text{ (kJ}}\,{\text{mo}}{{\text{l}}^{ - 1}}{\text{)}}\);
OR
Bonds breaking:
1 \( \times \) (C=C) \( + \) 1 \( \times \) (Cl–Cl)
\( = (1)(612) + (1)(243)/ = ( + )855{\text{ (kJ}}\,{\text{mo}}{{\text{l}}^{ - 1}}{\text{)}}\);
Bonds forming:
1 \( \times \) (C–C) \( + \) 2 \( \times \) (C–Cl)
\( = (1)(347) + (2)(346)/ = - 1039{\text{ (kJ}}\,{\text{mo}}{{\text{l}}^{ - 1}}{\text{)}}\);
Enthalpy change:
\((855 - 1039 = ){\text{ }} - 184{\text{ (kJ}}\,{\text{mo}}{{\text{l}}^{ - 1}}{\text{)}}\);
Award [3] for correct final answer.
exothermic;
Do not award mark unless based on some value for part (iii).
representation of PVC showing two repeating units;
For example,

Brackets not necessary but continuation bonds must be given.
No penalty if chlorines are not on same side.
No penalty if chlorines are on two middle C atoms or on two end C atoms.
monomers are smaller molecules / monomers have smaller mass / smaller surface area than polymers;
weaker/fewer intermolecular/London/dispersion/van der Waals’ forces (of attraction);
Allow reverse argument.
Allow abbreviation for London/dispersion as FDL or for van der Waals’ as vdW.
Award zero if reference is made to breaking of bonds.
Examiners report
This was by far the most popular choice of question in Section B. Again, part a) (i) proved challenging as many candidates failed to refer to atoms in their definition and scored only 1 mark out of 2.
In a) (ii) most candidates could state the numbers of protons, neutrons and electrons in the isotopes of chlorine. Those who got this wrong gave answers which indicated a complete lack of understanding of atomic structure.
In a) (iii) some candidates remembered the percentage abundance of chlorine isotopes but could not do the calculation.
Part b) (i) required another definition. Again, many candidates lost marks for inarticulate responses.
The explanation in b) (ii) of trends in electronegativity values was reasonably well done, with most candidates scoring at least one mark out of two.
However, writing a balanced equation in b) (iii) was poorly done with many candidates not knowing the formula of KCl, and not knowing what products would be formed. This is clearly on the syllabus in 3.3.1.
Almost no-one knew the colours of aqueous chlorine and aqueous bromine in b) (iv).
In part c) (ii) the calculation of \(\Delta H\) using bond enthalpies was done well. Some candidates failed to use the C=C bond enthalpy value and some did not recall that bond breaking is endothermic and bond formation exothermic.
Nearly everyone scored a mark in c) (iii) as follow-through marks were awarded.
Drawing two repeating units of poly(chloroethene) presented difficulties in c) (iv). Some candidates tried to draw the monomers joined through the chlorine atoms.
In c) (v) most candidates scored at least one out of two for explaining why monomers have a much lower melting point than polymers.
A class studied the equilibrium established when ethanoic acid and ethanol react together in the presence of a strong acid, using propanone as an inert solvent. The equation is given below.
\[{\text{C}}{{\text{H}}_{\text{3}}}{\text{COOH}} + {{\text{C}}_{\text{2}}}{{\text{H}}_{\text{5}}}{\text{OH}} \rightleftharpoons {\text{C}}{{\text{H}}_{\text{3}}}{\text{COO}}{{\text{C}}_{\text{2}}}{{\text{H}}_{\text{5}}} + {{\text{H}}_{\text{2}}}{\text{O}}\]
One group made the following initial mixture:

After one week, a \(5.00 \pm 0.05{\text{ c}}{{\text{m}}^{\text{3}}}\) sample of the final equilibrium mixture was pipetted out and titrated with \({\text{0.200 mol}}\,{\text{d}}{{\text{m}}^{ - 2}}\) aqueous sodium hydroxide to determine the amount of ethanoic acid remaining. The following titration results were obtained:

The density of ethanoic acid is \({\text{1.05 g}}\,{\text{c}}{{\text{m}}^{ - 3}}\). Determine the amount, in mol, of ethanoic acid present in the initial mixture.
The hydrochloric acid does not appear in the balanced equation for the reaction. State its function.
Identify the liquid whose volume has the greatest percentage uncertainty.
(i) Calculate the absolute uncertainty of the titre for Titration 1 (\({\text{27.60 c}}{{\text{m}}^{\text{3}}}\)).
(ii) Suggest the average volume of alkali, required to neutralize the \({\text{5.00 c}}{{\text{m}}^{\text{3}}}\) sample, that the student should use.
(iii) \({\text{23.00 c}}{{\text{m}}^{\text{3}}}\) of this \({\text{0.200 mol}}\,{\text{d}}{{\text{m}}^{ - 3}}\) aqueous sodium hydroxide reacted with the ethanoic acid in the \({\text{5.00 c}}{{\text{m}}^{\text{3}}}\) sample. Determine the amount, in mol, of ethanoic acid present in the \({\text{50.0 c}}{{\text{m}}^{\text{3}}}\) of final equilibrium mixture.
Referring back to your answer for part (a), calculate the percentage of ethanoic acid converted to ethyl ethanoate.
Deduce the equilibrium constant expression for the reaction.
Outline how you could establish that the system had reached equilibrium at the end of one week.
Outline why changing the temperature has only a very small effect on the value of the equilibrium constant for this equilibrium.
Outline how adding some ethyl ethanoate to the initial mixture would affect the amount of ethanoic acid converted to product.
Propanone is used as the solvent because one compound involved in the equilibrium is insoluble in water. Identify this compound and explain why it is insoluble in water.
Suggest one other reason why using water as a solvent would make the experiment less successful.
Markscheme
\({\text{M(C}}{{\text{H}}_3}{\text{COOH)}}\left( { = (4 \times 1.01) + (2 \times 12.01) + (2 \times 16.00)} \right) = 60.06{\text{ (g}}\,{\text{mo}}{{\text{l}}^{ - 1}}{\text{)}}\);
Accept 60 (g mol–1).
\({\text{mass (C}}{{\text{H}}_3}{\text{COOH)}}( = 5.00 \times 1.05) = 5.25{\text{ (g)}}\);
\(\frac{{5.25}}{{{\text{60.06}}}} = 0.0874{\text{ (mol)}}\);
Award [3] for correct final answer.
Accept 0.0875 (comes from using Mr = 60 g mol–1).
catalyst / OWTTE;
hydrochloric acid/HCl;
(i) \( \pm 0.1/0.10{\text{ (c}}{{\text{m}}^3}{\text{)}}\);
Do not accept without ±.
(ii) \({\text{26.00 (c}}{{\text{m}}^3}{\text{)}}\);
(iii) \(0.200 \times \frac{{23.00}}{{1000}} = 0.0046\);
\({\text{0.0046}} \times \frac{{{\text{50.0}}}}{{{\text{5.00}}}} = {\text{0.0460 (mol)}}\);
\(\frac{{0.0874 - 0.0460}}{{0.0874}} \times 100 = 47.4\% \);
\({\text{(}}{K_{\text{c}}} = {\text{)}}\frac{{{\text{[C}}{{\text{H}}_3}{\text{COO}}{{\text{C}}_2}{{\text{H}}_3}{\text{][}}{{\text{H}}_2}{\text{O]}}}}{{{\text{[}}{{\text{C}}_2}{{\text{H}}_5}{\text{OH][C}}{{\text{H}}_3}{\text{COOH]}}}}\);
Do not penalize minor errors in formulas.
Accept \({\text{(}}{K_{\text{c}}} = {\text{)}}\frac{{{\text{[}}ester{\text{][}}water{\text{]}}}}{{{\text{[}}ethanol / alcohol{\text{][(}}ethanoic{\text{)}} acid{\text{]}}}}\).
repeat the titration a day/week later (and result should be the same) / OWTTE;
Accept “concentrations/physical properties/macroscopic properties of the system do not change”.
enthalpy change/\(\Delta H\) for the reaction is (very) small / OWTTE;
decreases (the amount of ethanoic acid converted);
Accept “increases amount of ethanoic acid present at equilibrium” / OWTTE.
(adding product) shifts position of equilibrium towards reactants/LHS / increases the rate of the reverse reaction / OWTTE;
ethyl ethanoate/\({\text{C}}{{\text{H}}_{\text{3}}}{\text{COO}}{{\text{C}}_{\text{2}}}{{\text{H}}_{\text{5}}}\);
forms only weak hydrogen bonds (to water);
Allow “does not hydrogen bond to water” / “hydrocarbon sections too long” / OWTTE.
M2 can only be given only if M1 correct.
(large excess of) water will shift the position of equilibrium (far to the left) / OWTTE;
Accept any other chemically sound response, such as “dissociation of ethanoic acid would affect equilibrium”.
Examiners report
Generally candidates found some elements of this question quite challenging but there were accessible marks of even the weakest candidates. The majority of students were able to determine the molar mass of ethanoic acid but some struggled to calculate the mass from the volume. Most candidates were able to identify the role of hydrochloric acid as a catalyst but some struggled to identify the liquid whose volume had the greatest uncertainty. Most candidates were able to calculate the absolute uncertainty of the titre but some lost a mark by omitting the \( + \)/\( - \) sign. Candidates did not identify the first titre as incongruent and simply averaged the three values which perhaps suggests limited experimental experience. Most students could determine an equilibrium constant expression, but many did not answer the question in (g) and did not suggest how the equilibrium could be established experimentally with many referring to the equal rate of the forward and backward reaction. Many candidates were aware of Le Chatelier effects on the position of equilibrium, but a significant number failed to use this information to answer the question asked and could not explain the small effect of temperature changes. Whilst most students managed to identify the ester as the component of the mixture that was insoluble in water, many did not refer to its inability to form strong hydrogen bonds to water which was necessary for the mark. Quite a number of students came up with a valid reason why water would not be a suitable though some students appeared to have overlooked that the question asked for “one other reason” than that implied in (j).
Generally candidates found some elements of this question quite challenging but there were accessible marks of even the weakest candidates. The majority of students were able to determine the molar mass of ethanoic acid but some struggled to calculate the mass from the volume. Most candidates were able to identify the role of hydrochloric acid as a catalyst but some struggled to identify the liquid whose volume had the greatest uncertainty. Most candidates were able to calculate the absolute uncertainty of the titre but some lost a mark by omitting the \( + \)/\( - \) sign. Candidates did not identify the first titre as incongruent and simply averaged the three values which perhaps suggests limited experimental experience. Most students could determine an equilibrium constant expression, but many did not answer the question in (g) and did not suggest how the equilibrium could be established experimentally with many referring to the equal rate of the forward and backward reaction. Many candidates were aware of Le Chatelier effects on the position of equilibrium, but a significant number failed to use this information to answer the question asked and could not explain the small effect of temperature changes. Whilst most students managed to identify the ester as the component of the mixture that was insoluble in water, many did not refer to its inability to form strong hydrogen bonds to water which was necessary for the mark. Quite a number of students came up with a valid reason why water would not be a suitable though some students appeared to have overlooked that the question asked for “one other reason” than that implied in (j).
Generally candidates found some elements of this question quite challenging but there were accessible marks of even the weakest candidates. The majority of students were able to determine the molar mass of ethanoic acid but some struggled to calculate the mass from the volume. Most candidates were able to identify the role of hydrochloric acid as a catalyst but some struggled to identify the liquid whose volume had the greatest uncertainty. Most candidates were able to calculate the absolute uncertainty of the titre but some lost a mark by omitting the \( + \)/\( - \) sign. Candidates did not identify the first titre as incongruent and simply averaged the three values which perhaps suggests limited experimental experience. Most students could determine an equilibrium constant expression, but many did not answer the question in (g) and did not suggest how the equilibrium could be established experimentally with many referring to the equal rate of the forward and backward reaction. Many candidates were aware of Le Chatelier effects on the position of equilibrium, but a significant number failed to use this information to answer the question asked and could not explain the small effect of temperature changes. Whilst most students managed to identify the ester as the component of the mixture that was insoluble in water, many did not refer to its inability to form strong hydrogen bonds to water which was necessary for the mark. Quite a number of students came up with a valid reason why water would not be a suitable though some students appeared to have overlooked that the question asked for “one other reason” than that implied in (j).
Generally candidates found some elements of this question quite challenging but there were accessible marks of even the weakest candidates. The majority of students were able to determine the molar mass of ethanoic acid but some struggled to calculate the mass from the volume. Most candidates were able to identify the role of hydrochloric acid as a catalyst but some struggled to identify the liquid whose volume had the greatest uncertainty. Most candidates were able to calculate the absolute uncertainty of the titre but some lost a mark by omitting the \( + \)/\( - \) sign. Candidates did not identify the first titre as incongruent and simply averaged the three values which perhaps suggests limited experimental experience. Most students could determine an equilibrium constant expression, but many did not answer the question in (g) and did not suggest how the equilibrium could be established experimentally with many referring to the equal rate of the forward and backward reaction. Many candidates were aware of Le Chatelier effects on the position of equilibrium, but a significant number failed to use this information to answer the question asked and could not explain the small effect of temperature changes. Whilst most students managed to identify the ester as the component of the mixture that was insoluble in water, many did not refer to its inability to form strong hydrogen bonds to water which was necessary for the mark. Quite a number of students came up with a valid reason why water would not be a suitable though some students appeared to have overlooked that the question asked for “one other reason” than that implied in (j).
Generally candidates found some elements of this question quite challenging but there were accessible marks of even the weakest candidates. The majority of students were able to determine the molar mass of ethanoic acid but some struggled to calculate the mass from the volume. Most candidates were able to identify the role of hydrochloric acid as a catalyst but some struggled to identify the liquid whose volume had the greatest uncertainty. Most candidates were able to calculate the absolute uncertainty of the titre but some lost a mark by omitting the \( + \)/\( - \) sign. Candidates did not identify the first titre as incongruent and simply averaged the three values which perhaps suggests limited experimental experience. Most students could determine an equilibrium constant expression, but many did not answer the question in (g) and did not suggest how the equilibrium could be established experimentally with many referring to the equal rate of the forward and backward reaction. Many candidates were aware of Le Chatelier effects on the position of equilibrium, but a significant number failed to use this information to answer the question asked and could not explain the small effect of temperature changes. Whilst most students managed to identify the ester as the component of the mixture that was insoluble in water, many did not refer to its inability to form strong hydrogen bonds to water which was necessary for the mark. Quite a number of students came up with a valid reason why water would not be a suitable though some students appeared to have overlooked that the question asked for “one other reason” than that implied in (j).
Generally candidates found some elements of this question quite challenging but there were accessible marks of even the weakest candidates. The majority of students were able to determine the molar mass of ethanoic acid but some struggled to calculate the mass from the volume. Most candidates were able to identify the role of hydrochloric acid as a catalyst but some struggled to identify the liquid whose volume had the greatest uncertainty. Most candidates were able to calculate the absolute uncertainty of the titre but some lost a mark by omitting the \( + \)/\( - \) sign. Candidates did not identify the first titre as incongruent and simply averaged the three values which perhaps suggests limited experimental experience. Most students could determine an equilibrium constant expression, but many did not answer the question in (g) and did not suggest how the equilibrium could be established experimentally with many referring to the equal rate of the forward and backward reaction. Many candidates were aware of Le Chatelier effects on the position of equilibrium, but a significant number failed to use this information to answer the question asked and could not explain the small effect of temperature changes. Whilst most students managed to identify the ester as the component of the mixture that was insoluble in water, many did not refer to its inability to form strong hydrogen bonds to water which was necessary for the mark. Quite a number of students came up with a valid reason why water would not be a suitable though some students appeared to have overlooked that the question asked for “one other reason” than that implied in (j).
Generally candidates found some elements of this question quite challenging but there were accessible marks of even the weakest candidates. The majority of students were able to determine the molar mass of ethanoic acid but some struggled to calculate the mass from the volume. Most candidates were able to identify the role of hydrochloric acid as a catalyst but some struggled to identify the liquid whose volume had the greatest uncertainty. Most candidates were able to calculate the absolute uncertainty of the titre but some lost a mark by omitting the \( + \)/\( - \) sign. Candidates did not identify the first titre as incongruent and simply averaged the three values which perhaps suggests limited experimental experience. Most students could determine an equilibrium constant expression, but many did not answer the question in (g) and did not suggest how the equilibrium could be established experimentally with many referring to the equal rate of the forward and backward reaction. Many candidates were aware of Le Chatelier effects on the position of equilibrium, but a significant number failed to use this information to answer the question asked and could not explain the small effect of temperature changes. Whilst most students managed to identify the ester as the component of the mixture that was insoluble in water, many did not refer to its inability to form strong hydrogen bonds to water which was necessary for the mark. Quite a number of students came up with a valid reason why water would not be a suitable though some students appeared to have overlooked that the question asked for “one other reason” than that implied in (j).
Generally candidates found some elements of this question quite challenging but there were accessible marks of even the weakest candidates. The majority of students were able to determine the molar mass of ethanoic acid but some struggled to calculate the mass from the volume. Most candidates were able to identify the role of hydrochloric acid as a catalyst but some struggled to identify the liquid whose volume had the greatest uncertainty. Most candidates were able to calculate the absolute uncertainty of the titre but some lost a mark by omitting the \( + \)/\( - \) sign. Candidates did not identify the first titre as incongruent and simply averaged the three values which perhaps suggests limited experimental experience. Most students could determine an equilibrium constant expression, but many did not answer the question in (g) and did not suggest how the equilibrium could be established experimentally with many referring to the equal rate of the forward and backward reaction. Many candidates were aware of Le Chatelier effects on the position of equilibrium, but a significant number failed to use this information to answer the question asked and could not explain the small effect of temperature changes. Whilst most students managed to identify the ester as the component of the mixture that was insoluble in water, many did not refer to its inability to form strong hydrogen bonds to water which was necessary for the mark. Quite a number of students came up with a valid reason why water would not be a suitable though some students appeared to have overlooked that the question asked for “one other reason” than that implied in (j).
Generally candidates found some elements of this question quite challenging but there were accessible marks of even the weakest candidates. The majority of students were able to determine the molar mass of ethanoic acid but some struggled to calculate the mass from the volume. Most candidates were able to identify the role of hydrochloric acid as a catalyst but some struggled to identify the liquid whose volume had the greatest uncertainty. Most candidates were able to calculate the absolute uncertainty of the titre but some lost a mark by omitting the \( + \)/\( - \) sign. Candidates did not identify the first titre as incongruent and simply averaged the three values which perhaps suggests limited experimental experience. Most students could determine an equilibrium constant expression, but many did not answer the question in (g) and did not suggest how the equilibrium could be established experimentally with many referring to the equal rate of the forward and backward reaction. Many candidates were aware of Le Chatelier effects on the position of equilibrium, but a significant number failed to use this information to answer the question asked and could not explain the small effect of temperature changes. Whilst most students managed to identify the ester as the component of the mixture that was insoluble in water, many did not refer to its inability to form strong hydrogen bonds to water which was necessary for the mark. Quite a number of students came up with a valid reason why water would not be a suitable though some students appeared to have overlooked that the question asked for “one other reason” than that implied in (j).
Generally candidates found some elements of this question quite challenging but there were accessible marks of even the weakest candidates. The majority of students were able to determine the molar mass of ethanoic acid but some struggled to calculate the mass from the volume. Most candidates were able to identify the role of hydrochloric acid as a catalyst but some struggled to identify the liquid whose volume had the greatest uncertainty. Most candidates were able to calculate the absolute uncertainty of the titre but some lost a mark by omitting the \( + \)/\( - \) sign. Candidates did not identify the first titre as incongruent and simply averaged the three values which perhaps suggests limited experimental experience. Most students could determine an equilibrium constant expression, but many did not answer the question in (g) and did not suggest how the equilibrium could be established experimentally with many referring to the equal rate of the forward and backward reaction. Many candidates were aware of Le Chatelier effects on the position of equilibrium, but a significant number failed to use this information to answer the question asked and could not explain the small effect of temperature changes. Whilst most students managed to identify the ester as the component of the mixture that was insoluble in water, many did not refer to its inability to form strong hydrogen bonds to water which was necessary for the mark. Quite a number of students came up with a valid reason why water would not be a suitable though some students appeared to have overlooked that the question asked for “one other reason” than that implied in (j).
Generally candidates found some elements of this question quite challenging but there were accessible marks of even the weakest candidates. The majority of students were able to determine the molar mass of ethanoic acid but some struggled to calculate the mass from the volume. Most candidates were able to identify the role of hydrochloric acid as a catalyst but some struggled to identify the liquid whose volume had the greatest uncertainty. Most candidates were able to calculate the absolute uncertainty of the titre but some lost a mark by omitting the \( + \)/\( - \) sign. Candidates did not identify the first titre as incongruent and simply averaged the three values which perhaps suggests limited experimental experience. Most students could determine an equilibrium constant expression, but many did not answer the question in (g) and did not suggest how the equilibrium could be established experimentally with many referring to the equal rate of the forward and backward reaction. Many candidates were aware of Le Chatelier effects on the position of equilibrium, but a significant number failed to use this information to answer the question asked and could not explain the small effect of temperature changes. Whilst most students managed to identify the ester as the component of the mixture that was insoluble in water, many did not refer to its inability to form strong hydrogen bonds to water which was necessary for the mark. Quite a number of students came up with a valid reason why water would not be a suitable though some students appeared to have overlooked that the question asked for “one other reason” than that implied in (j).
A student carried out an experiment to determine the concentration of a hydrochloric acid solution and the enthalpy change of the reaction between aqueous sodium hydroxide and this acid by thermometric titration.
She added \({\text{5.0 c}}{{\text{m}}^{\text{3}}}\) portions of hydrochloric acid to \({\text{25.0 c}}{{\text{m}}^{\text{3}}}\) of \({\text{1.00 mol}}\,{\text{d}}{{\text{m}}^{ - 3}}\) sodium hydroxide solution in a glass beaker until the total volume of acid added was \({\text{50.0 c}}{{\text{m}}^{\text{3}}}\), measuring the temperature of the mixture each time. Her results are plotted in the graph below.

The initial temperature of both solutions was the same.
By drawing appropriate lines, determine the volume of hydrochloric acid required to completely neutralize the \({\text{25.0 c}}{{\text{m}}^{\text{3}}}\) of sodium hydroxide solution.
Determine the concentration of the hydrochloric acid, including units.
Determine the change in temperature, \(\Delta T\).
Calculate the enthalpy change, in \({\text{kJ}}\,{\text{mo}}{{\text{l}}^{ - 1}}\), for the reaction of hydrochloric acid and sodium hydroxide solution.
The accepted theoretical value from the literature of this enthalpy change is \( - 58{\text{ kJ}}\,{\text{mo}}{{\text{l}}^{ - 1}}\). Calculate the percentage error correct to two significant figures.
Suggest the major source of error in the experimental procedure and an improvement that could be made to reduce it.
Markscheme

drawing best-fit straight lines to show volume;
There should be approximately the same number of points above and below for both lines.
\({\text{27.0 (c}}{{\text{m}}^{\text{3}}}{\text{)}}\);
Accept any value in the range 26.0 to 28.0 (cm3) if consistent with student’s annotation on the graph.
Accept ECF for volumes in the range 27.0–30.0 cm3 if it corresponds to maximum temperature of line drawn.
Volumes should be given to one decimal place.
\({\text{[HCl]}} = \frac{{1.00 \times 0.0250}}{{0.0270}}\);
\( = 0.926{\text{ mol}}\,{\text{d}}{{\text{m}}^{ - 3}}\);
Volume of 26.0 gives [HCl] = 0.962 mol dm–3. Volume of 28.0 gives [HCl] = 0.893 mol dm–3
Award [2] for correct final answer with units.
Award [1 max] for correct concentration without units.
Accept M, mol L–1, mol/dm3 as units.
\((30.2 - 25.0 = )( + )5.2{\rm{ (^\circ C/K)}}\);
Any accepted value must be consistent with student’s annotation on the graph but do not accept \(\Delta T < 5.1\).
Accept \(( + )5.6{\rm{ (^\circ C/K) }}\) (ie, taking into account heat loss and using T when volume = 0.0 cm3).
\({\text{Q}} = (m \times c \times \Delta T = (25.0 + 27.0) \times 4.18 \times 5.2 = 1130.272{\text{ J}} = )1.13{\text{ (kJ)}}\);
\(n = (1.00 \times 0.0250 = )0.0250{\text{ (mol)}}\);
\(\Delta H = \left( { - \frac{Q}{n} = - 45210.88{\text{ J}}\,{\text{mo}}{{\text{l}}^{ - 1}} = } \right) - 45{\text{ (kJ}}\,{\text{mo}}{{\text{l}}^{ - 1}}{\text{)}}\);
Award [3] for correct final answer.
Award [2] for +45 (kJ mol –1).
Apply ECF for M3 even if both m and \(\Delta T\) are incorrect in M1.
Accept use of c = 4.2 Jg–1K–1.
\(\left( {\left| {\frac{{ - 45 - ( - 58)}}{{( - 58)}}} \right| \times 100 = } \right)22(\% )\);
Answer must be given to two significant figures.
Ignore sign.
heat losses;
better (thermal) insulation / using a polystyrene cup / putting a lid on the beaker;
Accept other suitable methods for better thermal insulation, but do not accept just "use a calorimeter" without reference to insulation.
Examiners report
Some teachers commented that thermometric titrations are not listed in the syllabus nor are they included as prescribed experiments for the new guide. A similar question was asked in a past examination and thermometric titrations are covered in Topic 5. The intention is that any data based questions should be accessible to all students, who have the appropriate practical experience. It is not intended that such questions will be constrained to experiments on this list. Most candidates were not able to access the first mark with by construction of lines of best fit. Some drew a 'dot to dot' curve, but with most just providing a construction line dropping down from the maximum point on the graph, which did allow them to access the second mark. There was some transferred error for 1aii), but many were not able to carry out the calculation. Scoring for the temperature difference was dependent upon on the candidate's annotations, with a few extending the line of best fit back to the y axis. In the calculation of enthalpy change, the total mass of the solutions was often incorrect, but some salvaged the subsequent marks. The calculation of percentage error was generally done well, but a good third of the candidates failed to read the question stem and did not give the answer to two significant figures. The concept of heat loss in the experiment was well understood, but the solution was very often too vague.
Some teachers commented that thermometric titrations are not listed in the syllabus nor are they included as prescribed experiments for the new guide. A similar question was asked in a past examination and thermometric titrations are covered in Topic 5. The intention is that any data based questions should be accessible to all students, who have the appropriate practical experience. It is not intended that such questions will be constrained to experiments on this list. Most candidates were not able to access the first mark with by construction of lines of best fit. Some drew a 'dot to dot' curve, but with most just providing a construction line dropping down from the maximum point on the graph, which did allow them to access the second mark. There was some transferred error for 1aii), but many were not able to carry out the calculation. Scoring for the temperature difference was dependent upon on the candidate's annotations, with a few extending the line of best fit back to the y axis. In the calculation of enthalpy change, the total mass of the solutions was often incorrect, but some salvaged the subsequent marks. The calculation of percentage error was generally done well, but a good third of the candidates failed to read the question stem and did not give the answer to two significant figures. The concept of heat loss in the experiment was well understood, but the solution was very often too vague.
Some teachers commented that thermometric titrations are not listed in the syllabus nor are they included as prescribed experiments for the new guide. A similar question was asked in a past examination and thermometric titrations are covered in Topic 5. The intention is that any data based questions should be accessible to all students, who have the appropriate practical experience. It is not intended that such questions will be constrained to experiments on this list. Most candidates were not able to access the first mark with by construction of lines of best fit. Some drew a 'dot to dot' curve, but with most just providing a construction line dropping down from the maximum point on the graph, which did allow them to access the second mark. There was some transferred error for 1aii), but many were not able to carry out the calculation. Scoring for the temperature difference was dependent upon on the candidate's annotations, with a few extending the line of best fit back to the y axis. In the calculation of enthalpy change, the total mass of the solutions was often incorrect, but some salvaged the subsequent marks. The calculation of percentage error was generally done well, but a good third of the candidates failed to read the question stem and did not give the answer to two significant figures. The concept of heat loss in the experiment was well understood, but the solution was very often too vague.
Some teachers commented that thermometric titrations are not listed in the syllabus nor are they included as prescribed experiments for the new guide. A similar question was asked in a past examination and thermometric titrations are covered in Topic 5. The intention is that any data based questions should be accessible to all students, who have the appropriate practical experience. It is not intended that such questions will be constrained to experiments on this list. Most candidates were not able to access the first mark with by construction of lines of best fit. Some drew a 'dot to dot' curve, but with most just providing a construction line dropping down from the maximum point on the graph, which did allow them to access the second mark. There was some transferred error for 1aii), but many were not able to carry out the calculation. Scoring for the temperature difference was dependent upon on the candidate's annotations, with a few extending the line of best fit back to the y axis. In the calculation of enthalpy change, the total mass of the solutions was often incorrect, but some salvaged the subsequent marks. The calculation of percentage error was generally done well, but a good third of the candidates failed to read the question stem and did not give the answer to two significant figures. The concept of heat loss in the experiment was well understood, but the solution was very often too vague.
Some teachers commented that thermometric titrations are not listed in the syllabus nor are they included as prescribed experiments for the new guide. A similar question was asked in a past examination and thermometric titrations are covered in Topic 5. The intention is that any data based questions should be accessible to all students, who have the appropriate practical experience. It is not intended that such questions will be constrained to experiments on this list. Most candidates were not able to access the first mark with by construction of lines of best fit. Some drew a 'dot to dot' curve, but with most just providing a construction line dropping down from the maximum point on the graph, which did allow them to access the second mark. There was some transferred error for 1aii), but many were not able to carry out the calculation. Scoring for the temperature difference was dependent upon on the candidate's annotations, with a few extending the line of best fit back to the y axis. In the calculation of enthalpy change, the total mass of the solutions was often incorrect, but some salvaged the subsequent marks. The calculation of percentage error was generally done well, but a good third of the candidates failed to read the question stem and did not give the answer to two significant figures. The concept of heat loss in the experiment was well understood, but the solution was very often too vague.
Some teachers commented that thermometric titrations are not listed in the syllabus nor are they included as prescribed experiments for the new guide. A similar question was asked in a past examination and thermometric titrations are covered in Topic 5. The intention is that any data based questions should be accessible to all students, who have the appropriate practical experience. It is not intended that such questions will be constrained to experiments on this list. Most candidates were not able to access the first mark with by construction of lines of best fit. Some drew a 'dot to dot' curve, but with most just providing a construction line dropping down from the maximum point on the graph, which did allow them to access the second mark. There was some transferred error for 1aii), but many were not able to carry out the calculation. Scoring for the temperature difference was dependent upon on the candidate's annotations, with a few extending the line of best fit back to the y axis. In the calculation of enthalpy change, the total mass of the solutions was often incorrect, but some salvaged the subsequent marks. The calculation of percentage error was generally done well, but a good third of the candidates failed to read the question stem and did not give the answer to two significant figures. The concept of heat loss in the experiment was well understood, but the solution was very often too vague.
Soluble acids and bases ionize in water.
Sodium hypochlorite ionizes in water.
OCl–(aq) + H2O(l) \( \rightleftharpoons \) OH–(aq) + HOCl(aq)
A solution containing 0.510 g of an unknown monoprotic acid, HA, was titrated with 0.100 mol dm–3 NaOH(aq). 25.0 cm3 was required to reach the equivalence point.
Identify the amphiprotic species.
Identify one conjugate acid-base pair in the reaction.
Calculate the amount, in mol, of NaOH(aq) used.
Calculate the molar mass of the acid.
Calculate [H+] in the NaOH solution.
Markscheme
water/H2O
Accept “hydroxide ion/OH–”.
[1 mark]
[1 mark]
«0.100 mol\(\,\)dm–3 x 0.0250 dm3» = 0.00250 «mol»
[1 mark]
«M = \(\frac{{0.510{\text{ g}}}}{{0.00250{\text{ mol}}}}\) =» 204 «g\(\,\)mol–1»
[1 mark]
«1.00 x 10–14 = [H+] x 0.100»
1.00 x 10–13 «mol\(\,\)dm–3»
[1 mark]
Examiners report
Titanium is a transition metal.
TiCl4 reacts with water and the resulting titanium(IV) oxide can be used as a smoke screen.
Describe the bonding in metals.
Titanium exists as several isotopes. The mass spectrum of a sample of titanium gave the following data:
Calculate the relative atomic mass of titanium to two decimal places.
State the number of protons, neutrons and electrons in the \({}_{22}^{48}{\text{Ti}}\) atom.
State the full electron configuration of the \({}_{22}^{48}{\text{Ti}}\)2+ ion.
Explain why an aluminium-titanium alloy is harder than pure aluminium.
State the type of bonding in potassium chloride which melts at 1043 K.
A chloride of titanium, TiCl4, melts at 248 K. Suggest why the melting point is so much lower than that of KCl.
Formulate an equation for this reaction.
Suggest one disadvantage of using this smoke in an enclosed space.
Markscheme
electrostatic attraction
between «a lattice of» metal/positive ions/cations AND «a sea of» delocalized electrons
Accept mobile electrons.
Do not accept “metal atoms/nuclei”.
[2 marks]
\(\frac{{(46 \times 7.98) + (47 \times 7.32) + (48 \times 73.99) + (49 \times 5.46) + (50 \times 5.25)}}{{100}}\)
= 47.93
Answer must have two decimal places with a value from 47.90 to 48.00.
Award [2] for correct final answer.
Award [0] for 47.87 (data booklet value).
[2 marks]
Protons: 22 AND Neutrons: 26 AND Electrons: 22
[1 mark]
1s22s22p63s23p63d2
[1 mark]
titanium atoms/ions distort the regular arrangement of atoms/ions
OR
titanium atoms/ions are a different size to aluminium «atoms/ions»
prevent layers sliding over each other
Accept diagram showing different sizes of atoms/ions.
[2 marks]
ionic
OR
«electrostatic» attraction between oppositely charged ions
[1 mark]
«simple» molecular structure
OR
weak«er» intermolecular bonds
OR
weak«er» bonds between molecules
Accept specific examples of weak bonds such as London/dispersion and van der Waals.
Do not accept “covalent”.
[1 mark]
TiCl4(l) + 2H2O(l) → TiO2(s) + 4HCl(aq)
correct products
correct balancing
Accept ionic equation.
Award M2 if products are HCl and a compound of Ti and O.
[2 marks]
HCl causes breathing/respiratory problems
OR
HCl is an irritant
OR
HCl is toxic
OR
HCl has acidic vapour
OR
HCl is corrosive
Accept “TiO2 causes breathing problems/is an irritant”.
Accept “harmful” for both HCl and TiO2.
Accept “smoke is asphyxiant”.
[1 mark]
Examiners report
Two hydrides of nitrogen are ammonia and hydrazine, N2H4. One derivative of ammonia is methanamine whose molecular structure is shown below.

Hydrazine is used to remove oxygen from water used to generate steam or hot water.
N2H4(aq) + O2(aq) → N2(g) + 2H2O(l)
The concentration of dissolved oxygen in a sample of water is 8.0 × 10−3 g\(\,\)dm−3.
Estimate the H−N−H bond angle in methanamine using VSEPR theory.
Ammonia reacts reversibly with water.
NH3(g) + H2O(l) \( \rightleftharpoons \) NH4+(aq) + OH−(aq)
Explain the effect of adding H+(aq) ions on the position of the equilibrium.
Hydrazine reacts with water in a similar way to ammonia. Deduce an equation for the reaction of hydrazine with water.
Outline, using an ionic equation, what is observed when magnesium powder is added to a solution of ammonium chloride.
Hydrazine has been used as a rocket fuel. The propulsion reaction occurs in several stages but the overall reaction is:
N2H4(l) → N2(g) + 2H2(g)
Suggest why this fuel is suitable for use at high altitudes.
Determine the enthalpy change of reaction, ΔH, in kJ, when 1.00 mol of gaseous hydrazine decomposes to its elements. Use bond enthalpy values in section 11 of the data booklet.
N2H4(g) → N2(g) + 2H2(g)
The standard enthalpy of formation of N2H4(l) is +50.6 kJ\(\,\)mol−1. Calculate the enthalpy of vaporization, ΔHvap, of hydrazine in kJ\(\,\)mol−1.
N2H4(l) → N2H4(g)
(If you did not get an answer to (f), use −85 kJ but this is not the correct answer.)
Calculate, showing your working, the mass of hydrazine needed to remove all the dissolved oxygen from 1000 dm3 of the sample.
Calculate the volume, in dm3, of nitrogen formed under SATP conditions. (The volume of 1 mol of gas = 24.8 dm3 at SATP.)
Markscheme
107°
Accept 100° to < 109.5°.
Literature value = 105.8°
[1 mark]
removes/reacts with OH−
moves to the right/products «to replace OH− ions»
Accept ionic equation for M1.
[2 marks]
N2H4(aq) + H2O(l) \( \rightleftharpoons \) N2H5+(aq) + OH–(aq)
Accept N2H4(aq) + 2H2O(l) \( \rightleftharpoons \) N2H62+(aq) + 2OH–(aq).
Equilibrium sign must be present.
[1 mark]
bubbles
OR
gas
OR
magnesium disappears
2NH4+(aq) + Mg(s) → Mg2+(aq) + 2NH3(aq) + H2(g)
Do not accept “hydrogen” without reference to observed changes.
Accept "smell of ammonia".
Accept 2H+(aq) + Mg(s) → Mg2+(aq) + H2(g)
Equation must be ionic.
[2 mark]
no oxygen required
[1 mark]
bonds broken:
E(N–N) + 4E(N–H)
OR
158 «kJ\(\,\)mol–1» + 4 x 391 «kJ\(\,\)mol–1» / 1722 «kJ»
bonds formed:
E(N≡N) + 2E(H–H)
OR
945 «kJ\(\,\)mol–1» + 2 x 436 «kJ\(\,\)mol–1» / 1817 «kJ»
«ΔH = bonds broken – bonds formed = 1722 – 1817 =» –95 «kJ»
Award [3] for correct final answer.
Award [2 max] for +95 «kJ».
[3 marks]
OR
ΔHvap= −50.6 kJ\(\,\)mol−1 − (−95 kJ\(\,\)mol−1)
«ΔHvap =» +44 «kJ\(\,\)mol−1»
Award [2] for correct final answer.
Award [1 max] for −44 «kJ\(\,\)mol−1».
Award [2] for:
ΔHvap − = 50.6 kJ\(\,\)mol−1 − (−85 kJ\(\,\)mol−1) + = 34 «kJ\(\,\)mol−1».
Award [1 max] for −34 «kJ\(\,\)mol−1».
[2 marks]
total mass of oxygen «= 8.0 x 10–3 g\(\,\)dm–3 x 1000 dm3» = 8.0 «g»
n(O2) «\( = \frac{{8.0{\text{ g}}}}{{32.00{\text{ g}}\,{\text{mo}}{{\text{l}}^{ - 1}}}} = \)» 0.25 «mol»
OR
n(N2H4) = n(O2)
«mass of hydrazine = 0.25 mol x 32.06 g\(\,\)mol–1 =» 8.0 «g»
Award [3] for correct final answer.
[3 marks]
«n(N2H4) = n(O2) \( = \frac{{8.0{\text{ g}}}}{{32.00{\text{ g}}\,{\text{mo}}{{\text{l}}^{ - 1}}}} = \)» 0.25 «mol»
«volume of nitrogen = 0.25 mol x 24.8 dm3\(\,\)mol–1» = 6.2 «dm3»
Award [1] for correct final answer.
[1 mark]
Examiners report
This question is about carbon and chlorine compounds.
Ethane, C2H6, reacts with chlorine in sunlight. State the type of this reaction and the name of the mechanism by which it occurs.
Formulate equations for the two propagation steps and one termination step in the formation of chloroethane from ethane.
One possible product, X, of the reaction of ethane with chlorine has the following composition by mass:
carbon: 24.27%, hydrogen: 4.08%, chlorine: 71.65%
Determine the empirical formula of the product.
The mass and 1H\(\,\)NMR spectra of product X are shown below. Deduce, giving your reasons, its structural formula and hence the name of the compound.
Chloroethene, C2H3Cl, can undergo polymerization. Draw a section of the polymer with three repeating units.
Markscheme
substitution AND «free-»radical
OR
substitution AND chain
Award [1] for “«free-»radical substitution” or “SR” written anywhere in the answer.
[1 mark]
Two propagation steps:
C2H6 + •Cl → C2H5• + HCl
C2H5• + Cl2 → C2H5Cl + •Cl
One termination step:
C2H5• + C2H5• → C4H10
OR
C2H5• + •Cl → C2H5Cl
OR
•Cl + •Cl → Cl2
Accept radical without • if consistent throughout.
Allow ECF from incorrect radicals produced in propagation step for M3.
[3 marks]
\({\text{C}} = \frac{{24.27}}{{12.01}}\) = 2.021 AND \({\text{H}} = \frac{{4.08}}{{1.01}}\) = 4.04 AND \({\text{Cl}} = \frac{{71.65}}{{35.45}} = 2.021\)
«hence» CH2Cl
Accept \(\frac{{24.27}}{{12.01}}\) : \(\frac{{4.08}}{{1.01}}\) : \(\frac{{71.65}}{{35.45}}.\)
Do not accept C2H4Cl2.
Award [2] for correct final answer.
[2 marks]
molecular ion peak(s) «about» m/z 100 AND «so» C2H4Cl2 «isotopes of Cl»
two signals «in 1H\(\,\)NMR spectrum» AND «so» CH3CHCl2
OR
«signals in» 3:1 ratio «in 1H\(\,\)NMR spectrum» AND «so» CH3CHCl2
OR
one doublet and one quartet «in 1H\(\,\)NMR spectrum» AND «so» CH3CHCl2
1,1-dichloroethane
Accept “peaks” for “signals”.
Allow ECF for a correct name for M3 if an incorrect chlorohydrocarbon is identified
[3 marks]
Continuation bonds must be shown.
Ignore square brackets and “n”.
Accept
.
Accept other versions of the polymer, such as head to head and head to tail.
Accept condensed structure provided all C to C bonds are shown (as single).
[1 mark]
Examiners report
Sodium thiosulfate solution reacts with dilute hydrochloric acid to form a precipitate of sulfur at room temperature.
Na2S2O3 (aq) + 2HCl (aq) → S (s) + SO2 (g) + 2NaCl (aq) + X
Identify the formula and state symbol of X.
Suggest why the experiment should be carried out in a fume hood or in a well-ventilated laboratory.
The precipitate of sulfur makes the mixture cloudy, so a mark underneath the reaction mixture becomes invisible with time.
10.0 cm3 of 2.00 mol dm-3 hydrochloric acid was added to a 50.0 cm3 solution of sodium thiosulfate at temperature, T1. Students measured the time taken for the mark to be no longer visible to the naked eye. The experiment was repeated at different concentrations of sodium thiosulfate.
Show that the hydrochloric acid added to the flask in experiment 1 is in excess.
Draw the best fit line of \(\frac{1}{{\rm{t}}}\) against concentration of sodium thiosulfate on the axes provided.
A student decided to carry out another experiment using 0.075 mol dm-3 solution of sodium thiosulfate under the same conditions. Determine the time taken for the mark to be no longer visible.
An additional experiment was carried out at a higher temperature, T2.
(i) On the same axes, sketch Maxwell–Boltzmann energy distribution curves at the two temperatures T1 and T2, where T2 > T1.
(ii) Explain why a higher temperature causes the rate of reaction to increase.
Suggest one reason why the values of rates of reactions obtained at higher temperatures may be less accurate.
Markscheme
H2O AND (l)
Do not accept H2O (aq).
SO2 (g) is an irritant/causes breathing problems
OR
SO2 (g) is poisonous/toxic
Accept SO2 (g) is acidic, but do not accept “causes acid rain”.
Accept SO2 (g) is harmful.
Accept SO2 (g) has a foul/pungent smell.
n(HCl) = «\(\frac{{10.0}}{{1000}}\)dm3 × 2.00 mol dm-3 =» 0.0200 / 2.00 × 10-2«mol»
AND
n(Na2S2O3) = «\(\frac{{50}}{{1000}}\)dm3 × 0.150 mol × dm-3 =» 0.00750 / 7.50 × 10-3 «mol»
0.0200 «mol» > 0.0150 «mol»
OR
2.00 × 10-2«mol» > 2 × 7.50 × 10-3 «mol»
OR
\(\frac{1}{2}\) × 2.00 × 10-2 «mol» > 7.50 × 10-3 «mol»
Accept answers based on volume of solutions required for complete reaction.
Award [2] for second marking point.
Do not award M2 unless factor of 2 (or half) is used.
five points plotted correctly
best fit line drawn with ruler, going through the origin
22.5 × 10-3 «s-1»
«Time = \(\frac{1}{{22.5 \times {{10}^{ - 3}}}}\) =» 44.4 «s»
Award [2] for correct final answer.
Accept value based on candidate’s graph.
Award M2 as ECF from M1.
Award [1 max] for methods involving taking mean of appropriate pairs of \(\frac{1}{{\rm{t}}}\) values.
Award [0] for taking mean of pairs of time values.
Award [2] for answers between 42.4 and 46.4 «s».
(i)
correctly labelled axes
peak of T2 curve lower AND to the right of T1 curve
Accept “probability «density» / number of particles / N / fraction” on y-axis.
Accept “kinetic E/KE/EK” but not just “Energy/E” on x-axis.
(ii)
greater proportion of molecules have E ≥ Ea or E > Ea
OR
greater area under curve to the right of the Ea
greater frequency of collisions «between molecules»
OR
more collisions per unit time/second
Accept more molecules have energy greater than Ea.
Do not accept just “particles have greater kinetic energy”.
Accept “rate/chance/probability/likelihood/” instead of “frequency”.
Accept suitably shaded/annotated diagram.
Do not accept just “more collisions”.
shorter reaction time so larger «%» error in timing/seeing when mark disappears
Accept cooling of reaction mixture during course of reaction.
Examiners report
A student titrated an ethanoic acid solution, CH3COOH (aq), against 50.0 cm3 of 0.995 mol dm–3 sodium hydroxide, NaOH (aq), to determine its concentration.
The temperature of the reaction mixture was measured after each acid addition and plotted against the volume of acid.
Curves X and Y were obtained when a metal carbonate reacted with the same volume of ethanoic acid under two different conditions.
Using the graph, estimate the initial temperature of the solution.
Determine the maximum temperature reached in the experiment by analysing the graph.
Calculate the concentration of ethanoic acid, CH3COOH, in mol dm–3.
Determine the heat change, q, in kJ, for the neutralization reaction between ethanoic acid and sodium hydroxide.
Assume the specific heat capacities of the solutions and their densities are those of water.
Calculate the enthalpy change, ΔH, in kJ mol–1, for the reaction between ethanoic acid and sodium hydroxide.
Explain the shape of curve X in terms of the collision theory.
Suggest one possible reason for the differences between curves X and Y.
Markscheme
21.4 °C
Accept values in the range of 21.2 to 21.6 °C.
29.0 «°C»
Accept range 28.8 to 29.2 °C.
ALTERNATIVE 1
«volume CH3COOH =» 26.0 «cm3»
«[CH3COOH] = 0.995 mol dm–3 \( \times \frac{{50.0\,{\text{cm3}}}}{{26.0\,{\text{cm3}}}} = \)» 1.91 «mol dm−3»
ALTERNATIVE 2
«n(NaOH) =0.995 mol dm–3 x 0.0500 dm3 =» 0.04975 «mol»
«[CH3COOH] = \(\frac{{0.04975}}{{0.0260}}\) dm3 =» 1.91 «mol dm–3»
Accept values of volume in range 25.5 to 26.5 cm3.
Award [2] for correct final answer.
«total volume = 50.0 + 26.0 =» 76.0 cm3 AND «temperature change 29.0 – 21.4 =» 7.6 «°C»
«q = 0.0760 kg x 4.18 kJ kg–1 K–1 x 7.6 K =» 2.4 «kJ»
Award [2] for correct final answer.
«n(NaOH) = 0.995 mol dm–3 x 0.0500 dm3 =» 0.04975 «mol»
OR
«n(CH3COOH) = 1.91 mol dm–3 x 0.0260 dm3 =» 0.04966 «mol»
«ΔH = \( - \frac{{2.4\,{\text{kJ}}}}{{0.04975\,{\text{mol}}}} = \)» –48 / –49 «kJ mol–1»
Award [2] for correct final answer.
Negative sign is required for M2.
«initially steep because» greatest concentration/number of particles at start
OR
«slope decreases because» concentration/number of particles decreases
volume produced per unit of time depends on frequency of collisions
OR
rate depends on frequency of collisions
mass/amount/concentration of metal carbonate more in X
OR
concentration/amount of CH3COOH more in X